TOP
|
特許
|
意匠
|
商標
特許ウォッチ
Twitter
他の特許を見る
10個以上の画像は省略されています。
公開番号
2025159883
公報種別
公開特許公報(A)
公開日
2025-10-22
出願番号
2024062720
出願日
2024-04-09
発明の名称
熱伝導性シリコーン接着剤組成物及び熱伝導性複合体
出願人
信越化学工業株式会社
代理人
弁理士法人牛木国際特許事務所
主分類
C09J
183/07 20060101AFI20251015BHJP(染料;ペイント;つや出し剤;天然樹脂;接着剤;他に分類されない組成物;他に分類されない材料の応用)
要約
【課題】取り扱い性が良好で十分な接着強度が得られ、接着強度の保存安定性にも優れる熱伝導性シリコーン接着剤組成物の提供。
【解決手段】
(a)平均重合度100~20,000の直鎖又は分岐状オルガノポリシロキサン、(b)熱伝導性充填材、(c)1分子中のアルケニル基が0.05~0.15mol/100gである成分を含むオルガノポリシロキサン、(d)接着成分及び(e)有機過酸化物を含有する熱伝導性シリコーン接着剤組成物。
該熱伝導性シリコーン接着剤組成物から形成される熱伝導性接着部材を、補強材の両面に有する熱伝導性複合体。
【選択図】なし
特許請求の範囲
【請求項1】
下記(a)~(e)成分を含有する熱伝導性シリコーン接着剤組成物。
(a)平均重合度100~20,000の直鎖又は分岐状オルガノポリシロキサン:100質量部
(b)熱伝導性充填材:1,300~7,500質量部
(c)下記一般式(1)で表され、1分子中のアルケニル基が0.05~0.15mol/100gである(c-1)成分及び下記一般式(2)で表される(c-2)成分をからなるオルガノポリシロキサン:150~600質量部
TIFF
2025159883000023.tif
16
142
(式(1)中、R
1
は独立して炭素原子数1~10のアルキル基、炭素原子数6~10のアリール基、及び炭素原子数7~10のアラルキル基から選ばれる基であり、R
2
は独立して炭素原子数2~8のアルケニル基である。0<a1≦10であり、0<b1≦10であり、0≦c1≦10であり、0≦d1≦10であり、0≦e1≦10である。ただし、0.5≦a1/(d1+e1)≦2.0の範囲を満たすものとする。)
TIFF
2025159883000024.tif
16
142
(式(2)中、R
1
は独立して炭素原子数1~10のアルキル基、炭素原子数6~10のアリール基、及び炭素原子数7~10のアラルキル基から選ばれる基であり、0<a2≦10であり、0≦c2≦10であり、0≦d2≦10であり、0<e2≦10である。ただし、0.7≦a2/e2≦2.5の範囲を満たすものとする。)
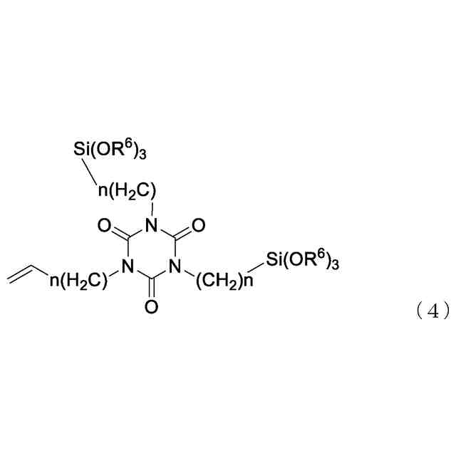
(d)下記構造式(3)で表される接着成分及び/又は下記構造式(4)で表される接着成分:0.5~20質量部
TIFF
2025159883000025.tif
33
142
(式(3)中、R
6
は、炭素原子数1~5のアルキル基であり、nは独立して1~12の数である)
TIFF
2025159883000026.tif
35
132
(式(4)中、R
6
は、炭素原子数1~5のアルキル基であり、nは独立して1~12の数である)
(e)有機過酸化物:1~40質量部
続きを表示(約 1,000 文字)
【請求項2】
(b)成分が、金属、金属酸化物及び金属窒化物からなる群から選ばれる1種以上である請求項1に記載の熱伝導性シリコーン接着剤組成物。
【請求項3】
(c)成分の総量に対する(c-1)成分の割合が10~60質量%である請求項1又は2に記載の熱伝導性シリコーン接着剤組成物。
【請求項4】
(a)成分が1分子中に2個以上のアルケニル基を有する直鎖又は分岐状オルガノポリシロキサンである請求項1に記載の熱伝導性シリコーン接着剤組成物。
【請求項5】
更に、下記一般式(5)で表される(f-1)成分及び/又は下記一般式(6)で表される(f-2)成分を、(a)成分100質量部に対して1~40質量部含有する、請求項1に記載の熱伝導性シリコーン接着剤組成物。
TIFF
2025159883000027.tif
14
142
(式(5)中、R
3
は、独立して炭素原子数6~15のアルキル基であり、R
4
は、独立して炭素原子数1~5のアルキル基であり、R
5
は、独立して炭素原子数1~6のアルキル基であり、mは1~3の数であり、nは0~2の数であり、但しm+nは1~3の数である)
TIFF
2025159883000028.tif
21
142
(式(6)中、R
5
は、独立して炭素原子数1~6のアルキル基であり、pは5~100の数である)
【請求項6】
補強材の両面に、請求項1に記載の熱伝導性シリコーン接着剤組成物から形成される熱伝導性接着部材を有する熱伝導性複合体。
【請求項7】
熱伝導性接着部材の熱伝導率が2.0W/m・K以上である請求項6に記載の熱伝導性複合体。
【請求項8】
熱伝導性接着部材が積層されているものである請求項6に記載の熱伝導性複合体。
【請求項9】
補強材が、合成樹脂又はガラスクロスである請求項6に記載の熱伝導性複合体。
【請求項10】
合成樹脂が、芳香族ポリイミド樹脂、ポリアミド樹脂、ポリアミドイミド樹脂、ポリエステル樹脂及びフッ素樹脂から選ばれる1種以上である、請求項9に記載の熱伝導性複合体。
(【請求項11】以降は省略されています)
発明の詳細な説明
【技術分野】
【0001】
本発明は、熱伝導性シリコーン接着剤組成物及び熱伝導性複合体に関する。
続きを表示(約 3,900 文字)
【背景技術】
【0002】
電子機器に使用されるトランジスタや、照明等の光源となるLED素子などの半導体は、高性能化・高速化・小型化・高集積化に伴い、それ自身が大量の熱を発生するようになっている。その熱による機器の温度上昇は、動作不良や機器の破壊を引き起こす。そのため、動作中の半導体の温度上昇を抑制するため、多くの熱放散方法及びそれに使用する熱放散部材が提案されている。
【0003】
従来、電子機器等においては、熱伝導率の高い金属板でできたヒートシンクや筐体などの冷却部材に、熱伝導性材料を介して半導体から発生する熱を外部に放熱させていた。熱伝導性材料としては、絶縁性を有する熱伝導性シートが多く用いられている。そして、冷却部材と半導体を固定する場合、ビスやクリップなどが用いられている。また、その間に介在する熱伝導性シートもビスやクリップによる押圧で固定されている。しかし、ビスやクリップを用いる固定方法は、多くの部品や工程を必要とするため、製造効率が非常に悪くなる。また、ビスやクリップといった部品のせいで電子機器自体の小型化や薄型化が阻まれてしまい、製品設計上でも非常に不利である。
【0004】
そこで、冷却部材と半導体との間に介在させる熱伝導性シートに粘着性を付与し、筐体と半導体素子を固定する方法が考えられている。具体的には熱伝導性シートの両面に粘着剤を塗布して粘着剤付き熱伝導性シートにする方法がある。しかし、粘着剤自体には熱伝導性がないため、粘着剤付き熱伝導性シートは熱伝導性が著しく悪くなる。例えば、特許文献1、2及び3には、粘着剤に熱伝導性充填材を用いた熱伝導性粘着テープが開示されている。また、特許文献4には、その耐熱性、耐寒性及び耐久性から、シリコーンを用いた熱伝導性シリコーン粘着テープが開示されている。
【0005】
しかし、従来の粘着テープは一般的な接着材料と比較して接着強度に乏しく、ネジレス化の面で課題があった。また単層の粘着テープである場合、作業性、絶縁性、強度の面でも改良の余地があった。
一方、接着テープは、加熱圧着させることで、粘着テープよりも良好な接着力が得られる点が特徴である。しかし、一般的に十分な接着強度を得るためには、高圧力をかけた状態で加熱する工程が必要となるため、圧力に対して繊細な放熱部材に対して使用できなかった。
【0006】
一方、シートやテープ状ではない加熱硬化型接着剤も種類によっては、放熱部材に対しての密着性が高く、高い接着強度や放熱性能が得られるものがある。しかし、塗布時の作業工程が頻雑になること、粘着(接着)シートやテープよりも作業性やリワーク性に劣ること、及びボイドの混入するリスクもあることなどの課題があった。さらに付加硬化型接着剤においては、経時の接着力低下を抑えるため、冷蔵保管が奨励されることが多く、品質管理が煩雑となり、改善の余地があった。さらに粘着(接着)シートやテープにおいても、船便での製品輸送や屋外倉庫での貯蔵を考慮し、約40℃の温度環境下でも性能が顕著に低下しない製品がユーザーから強く求められている。
【先行技術文献】
【特許文献】
【0007】
特開2014-034652号公報
特開2014-062220号公報
特開2002-121529号公報
特開2008-260798号公報
【発明の概要】
【発明が解決しようとする課題】
【0008】
従って、本発明は、取り扱い性が良好で十分な接着強度が得られ、接着強度の保存安定性にも優れる熱伝導性シリコーン接着剤組成物を提供することを目的とする。また、強度や絶縁性に優れた熱伝導性複合体を提供することも目的とする。
【課題を解決するための手段】
【0009】
本発明者らは、上記目的を達成するため鋭意研究を行った結果、下記熱伝導性シリコーン接着剤組成物が上記目的を達成できることを見出し、本発明を成すに至った。
すなわち、本発明は、下記の熱伝導性シリコーン接着剤組成物及び該組成物を用いた熱伝導性複合体を提供するものである。
【0010】
[1]
下記(a)~(e)成分を含有する熱伝導性シリコーン接着剤組成物。
(a)平均重合度100~20,000の直鎖又は分岐状オルガノポリシロキサン:100質量部
(b)熱伝導性充填材:1,300~7,500質量部
(c)下記一般式(1)で表され、1分子中のアルケニル基が0.05~0.15mol/100gである(c-1)成分及び下記一般式(2)で表される(c-2)成分をからなるオルガノポリシロキサン:150~600質量部
TIFF
2025159883000001.tif
16
142
(式(1)中、R
1
は独立して炭素原子数1~10のアルキル基、炭素原子数6~10のアリール基、及び炭素原子数7~10のアラルキル基から選ばれる基であり、R
2
は独立して炭素原子数2~8のアルケニル基である。0<a1≦10であり、0<b1≦10であり、0≦c1≦10であり、0≦d1≦10であり、0≦e1≦10である。ただし、0.5≦a1/(d1+e1)≦2.0の範囲を満たすものとする。)
TIFF
2025159883000002.tif
16
142
(式(2)中、R
1
は独立して炭素原子数1~10のアルキル基、炭素原子数6~10のアリール基、及び炭素原子数7~10のアラルキル基から選ばれる基であり、0<a2≦10であり、0≦c2≦10であり、0≦d2≦1であり、0<e2≦10である。ただし、0.7≦a2/e2≦2.5の範囲を満たすものとする。)
(d)下記構造式(3)で表される接着成分及び/又は下記構造式(4)で表される接着成分:0.5~20質量部
TIFF
2025159883000003.tif
33
142
(式(3)中、R
6
は、炭素原子数1~5のアルキル基であり、nは独立して1~12の数である)
TIFF
2025159883000004.tif
35
132
(式(4)中、R
6
は、炭素原子数1~5のアルキル基であり、nは独立して1~12の数である)
(e)有機過酸化物:1~40質量部
[2]
(b)成分が、金属、金属酸化物及び金属窒化物からなる群から選ばれる1種以上である[1]に記載の熱伝導性シリコーン接着剤組成物。
[3]
(c)成分の総量に対する(c-1)成分の割合が10~60質量%である[1]又は[2]に記載の熱伝導性シリコーン接着剤組成物。
[4]
(a)成分が1分子中に2個以上のアルケニル基を有する直鎖又は分岐状オルガノポリシロキサンである[1]~[3]のいずれかに記載の熱伝導性シリコーン接着剤組成物。
[5]
更に、下記一般式(5)で表される(f-1)成分及び/又は下記一般式(6)で表される(f-2)成分を、(a)成分100質量部に対して1~40質量部含有する、[1]~[4]のいずれかに記載の熱伝導性シリコーン接着剤組成物。
TIFF
2025159883000005.tif
14
142
(式(5)中、R
3
は、独立して炭素原子数6~15のアルキル基であり、R
4
は、独立して炭素原子数1~5のアルキル基であり、R
5
は、独立して炭素原子数1~6のアルキル基であり、mは1~3の数であり、nは0~2の数であり、但しm+nは1~3の数である)
TIFF
2025159883000006.tif
21
142
(式(6)中、R
5
は、独立して炭素原子数1~6のアルキル基であり、pは5~100の数である)
[6]
補強材の両面に、[1]に記載の熱伝導性シリコーン接着剤組成物から形成される熱伝導性接着部材を有する熱伝導性複合体。
[7]
熱伝導性接着部材の熱伝導率が2.0W/m・K以上である[6]に記載の熱伝導性複合体。
[8]
熱伝導性接着部材が積層されているものである[6]又は[7]に記載の熱伝導性複合体。
[9]
補強材が、合成樹脂又はガラスクロスである[6]~[8]のいずれかに記載の熱伝導性複合体。
[10]
合成樹脂が、芳香族ポリイミド樹脂、ポリアミド樹脂、ポリアミドイミド樹脂、ポリエステル樹脂及びフッ素樹脂から選ばれる1種以上である、[9]に記載の熱伝導性複合体。
[11]
熱伝導性接着部材の最外層に、離型剤で表面処理された基材が更に積層されているものである[6]~[10]のいずれかに記載の熱伝導性複合体。
【発明の効果】
(【0011】以降は省略されています)
この特許をJ-PlatPat(特許庁公式サイト)で参照する
関連特許
信越化学工業株式会社
化粧料
26日前
信越化学工業株式会社
電磁波遮蔽部材
29日前
信越化学工業株式会社
炭化金属被覆材料
3日前
信越化学工業株式会社
レジストパターン形成方法
1か月前
信越化学工業株式会社
レジストパターン形成方法
1か月前
信越化学工業株式会社
光ファイバ母材の製造方法
23日前
信越化学工業株式会社
複合基板およびその製造方法
29日前
信越化学工業株式会社
非晶質固体分散体を含む複合物
26日前
信越化学工業株式会社
光ファイバ用多孔質母材の製造装置
23日前
信越化学工業株式会社
オルガノポリシロキサンを含む冷媒
8日前
信越化学工業株式会社
オルガノポリシロキサンを含む冷媒
8日前
信越化学工業株式会社
オルガノポリシロキサンを含む冷媒
8日前
信越化学工業株式会社
レジスト組成物及びパターン形成方法
1か月前
信越化学工業株式会社
レジスト組成物及びパターン形成方法
1か月前
信越化学工業株式会社
レジスト組成物及びパターン形成方法
1か月前
信越化学工業株式会社
レジスト組成物及びパターン形成方法
1か月前
信越化学工業株式会社
パターン形成方法およびレジスト材料
1か月前
信越化学工業株式会社
熱伝導性シリコーン組成物及びその硬化物
10日前
信越化学工業株式会社
熱伝導性シリコーン組成物及びその硬化物
23日前
信越化学工業株式会社
酸化物単結晶複合基板およびその製造方法
29日前
信越化学工業株式会社
室温硬化性オルガノポリシロキサン組成物
25日前
信越化学工業株式会社
シロキサン変性ポリエステル樹脂及びその硬化物
1か月前
信越化学工業株式会社
熱伝導性シリコーン組成物、硬化物及び製造方法
1か月前
信越化学工業株式会社
ファラデー回転子及び光アイソレータの製造方法
1か月前
信越化学工業株式会社
超音波カップリング材複合膜及び超音波検査方法
2日前
信越化学工業株式会社
含窒素多官能オルガノキシシラン化合物の製造方法
10日前
信越化学工業株式会社
オルガノポリシロキサン及びこれを含有する化粧料
15日前
信越化学工業株式会社
熱伝導性シリコーン接着剤組成物及び熱伝導性複合体
1か月前
信越化学工業株式会社
型取り用シリコーンゴム組成物およびシリコーンゴム型
1か月前
信越化学工業株式会社
キーパッド作製用シリコーンゴム組成物及びキーパッド
24日前
信越化学工業株式会社
環状アミノオルガノキシシラン化合物およびその製造方法
26日前
信越化学工業株式会社
積層構造
1か月前
信越化学工業株式会社
スタンパ
1か月前
信越化学工業株式会社
オニウム塩、化学増幅レジスト組成物及びパターン形成方法
17日前
信越化学工業株式会社
ゴム皮膜形成性シリコーンエマルション組成物及びその製造方法
1か月前
信越化学工業株式会社
密着膜形成用組成物、パターン形成方法、及び密着膜の形成方法
8日前
続きを見る
他の特許を見る