TOP
|
特許
|
意匠
|
商標
特許ウォッチ
Twitter
他の特許を見る
10個以上の画像は省略されています。
公開番号
2025157764
公報種別
公開特許公報(A)
公開日
2025-10-16
出願番号
2024059985
出願日
2024-04-03
発明の名称
レジスト組成物及びパターン形成方法
出願人
信越化学工業株式会社
代理人
弁理士法人英明国際特許事務所
主分類
G03F
7/004 20060101AFI20251008BHJP(写真;映画;光波以外の波を使用する類似技術;電子写真;ホログラフイ)
要約
【課題】高エネルギー線を用いるフォトリソグラフィーにおいて、感度及び解像性に優れる非化学増幅レジスト組成物、並びに該レジスト組成物を用いるパターン形成方法を提供する。
【解決手段】下記式(1)で表される超原子価ヨウ素化合物、カルボン酸化合物及び溶剤を含むレジスト組成物。
<com:Image com:imageContentCategory="Drawing"> <com:ImageFormatCategory>TIFF</com:ImageFormatCategory> <com:FileName>2025157764000071.tif</com:FileName> <com:HeightMeasure com:measureUnitCode="Mm">30</com:HeightMeasure> <com:WidthMeasure com:measureUnitCode="Mm">63</com:WidthMeasure> </com:Image> 【選択図】なし
特許請求の範囲
【請求項1】
下記式(1)で表される超原子価ヨウ素化合物、カルボン酸化合物、及び溶剤を含むレジスト組成物。
TIFF
2025157764000068.tif
30
63
(式中、mは、0又は1である。nは、mが0のときは0~4の整数であり、mが1のときは0~6の整数である。
R
1
は、ハロゲン原子、又はヘテロ原子を含んでいてもよい炭素数1~10のヒドロカルビル基である。
R
2
は、ハロゲン原子、又はヘテロ原子を含んでいてもよい炭素数1~40のヒドロカルビル基である。nが2以上のとき、各R
2
は、互いに同一であってもよく、異なっていてもよい。また、複数のR
2
が、互いに結合してこれらが結合する芳香環の炭素原子と共に環を形成してもよい。
R
3
は、カルボニル基、又はヘテロ原子を含んでいてもよい炭素数1~10のヒドロカルビレン基である。
*1及び*2は、式中の芳香環の炭素原子との結合手を表す。ただし、*1と*2は芳香環の隣接した炭素原子に結合している。)
続きを表示(約 1,400 文字)
【請求項2】
前記カルボン酸化合物が、下記式(2)で表されるものである請求項1記載のレジスト組成物。
TIFF
2025157764000069.tif
15
64
(式中、pは、1~4の整数である。
R
11
は、炭素数1~40のp価炭化水素基又は炭素数2~40のp価複素環式基であり、pが2のとき、R
11
は、エーテル結合、カルボニル基、アゾ基、チオエーテル結合、カーボネート結合、カーバメート結合、スルフィニル基又はスルホニル基であってもよい。また、前記p価炭化水素基又はp価複素環式基の水素原子の一部又は全部が、ヘテロ原子を含む基で置換されていてもよく、前記p価炭化水素基の-CH
2
-の一部が、ヘテロ原子を含む基で置換されていてもよい。
R
12
は、単結合又は炭素数1~10のヒドロカルビレン基であり、該ヒドロカルビレン基の水素原子の一部又は全部が、ヘテロ原子を含む基で置換されていてもよく、該ヒドロカルビレン基の-CH
2
-の一部が、ヘテロ原子を含む基で置換されていてもよい。pが2、3又は4のとき、各R
12
は、互いに同一であってもよく、異なっていてもよい。)
【請求項3】
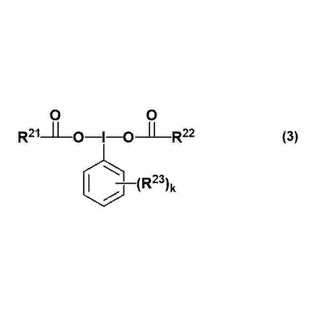
更に、下記式(3)で表される超原子価ヨウ素化合物を含む請求項1記載のレジスト組成物。
TIFF
2025157764000070.tif
25
68
(式中、kは、0~5の整数である。
R
21
及びR
22
は、それぞれ独立に、ハロゲン原子、又はヘテロ原子を含んでいてもよい炭素数1~10のヒドロカルビル基である。また、R
21
及びR
22
が、互いに結合してこれらが結合する炭素原子及び該炭素原子間の原子と共に環を形成してもよい。
R
23
は、ハロゲン原子、又はヘテロ原子を含んでいてもよい炭素数1~40のヒドロカルビル基である。kが2、3、4又は5のとき、各R
23
は、互いに同一であってもよく、異なっていてもよい。また、複数のR
23
が、互いに結合してこれらが結合する芳香環の炭素原子と共に環を形成してもよい。)
【請求項4】
基板と、該基板上に請求項1~3のいずれか1項記載のレジスト組成物から得られるレジスト膜とを備える積層体。
【請求項5】
前記基板と前記レジスト膜との間にレジスト下層膜を備える請求項4記載の積層体。
【請求項6】
請求項1~3のいずれか1項記載のレジスト組成物を用いて、基板上に、又は下層膜を積層した基板の該下層膜上にレジスト膜を形成する工程と、前記レジスト膜を高エネルギー線で露光する工程と、前記露光したレジスト膜を、現像液を用いて現像する工程とを含むパターン形成方法。
【請求項7】
前記高エネルギー線が、電子線又は極端紫外線である請求項6記載のパターン形成方法。
【請求項8】
前記現像液が、露光部を溶解し、未露光部を溶解しないものである請求項6記載のパターン形成方法。
【請求項9】
前記現像液が、未露光部を溶解し、露光部を溶解しないものである請求項6記載のパターン形成方法。
発明の詳細な説明
【技術分野】
【0001】
本発明は、レジスト組成物及びパターン形成方法に関する。
続きを表示(約 2,400 文字)
【背景技術】
【0002】
IoT市場の拡大とともにLSIの高集積化、高速度化及び低消費電力化が更に要求され、パターンルールの微細化が急速に進んでいる。特に、ロジックデバイスが微細化を牽引している。最先端の微細化技術として、ArF液浸リソグラフィーのダブルパターニング、トリプルパターニング及びクアドロパターニングによる10nmノードのデバイスの量産が行われており、さらに次世代の波長13.5nmの極端紫外線(EUV)リソグラフィーによる7nmノードデバイスの検討が進められている。
【0003】
微細化の進行とともに、酸の拡散による像のボケが問題になっている(非特許文献1)。加工寸法45nm以降の微細パターンでの解像性を確保するためには、従来提案されている溶解コントラストの向上だけでなく、酸拡散の制御が重要であることが提案されている(非特許文献2)。しかしながら、化学増幅レジスト組成物は、酸の拡散によって感度とコントラストを上げているため、ポストエクスポージャベーク(PEB)温度を低くしたり、PEB時間を短くしたりして酸拡散を極限まで抑えようとすると、感度やコントラストが著しく低下する。
【0004】
バルキーな酸が発生する酸発生剤を添加して酸拡散を抑えることは有効である。そこで、ポリマーに重合性オレフィンを有するオニウム塩の酸発生剤を共重合することが提案されている。しかし、加工寸法16nm以降のレジスト膜のパターン形成においては、酸拡散の観点から化学増幅レジスト組成物ではパターン形成ができないと考えられており、非化学増幅レジスト組成物の開発が望まれている。
【0005】
非化学増幅レジスト組成物用の材料として、ポリメチルメタクリレート(PMMA)が挙げられる。PMMAは、EUV照射によって主鎖が切断し、分子量が低下することによって有機溶剤の現像液への溶解性が向上するポジ型レジスト材料である。
【0006】
ハイドロゲンシルセスキオキサン(HSQ)は、EUV照射によって生じたシラノールの縮合反応による架橋によってアルカリ現像液に不溶となるネガ型レジスト材料である。また、塩素置換したカリックスアレーンもネガ型レジスト材料として機能する。これらのネガ型レジスト材料は、架橋前の分子サイズが小さく酸拡散によるボケが無いため、エッジラフネスが小さく解像性が非常に高く、露光装置の解像限界を示すためのパターン転写材料として用いられている。しかしながら、これらの材料は感度が不十分であり、更なる改善が必要である。
【0007】
EUVリソグラフィー向け材料開発を困難にさせる要因として、EUV露光におけるフォトン数の少なさが挙げられる。EUVのエネルギーはArFエキシマレーザー光に比べて遙かに高く、EUV露光のフォトン数は、ArF露光のそれの14分の1である。さらに、EUV露光で形成するパターンの寸法は、ArF露光の半分以下である。このため、EUV露光はフォトン数のバラツキの影響を受けやすい。極短波長の放射光領域におけるフォトン数のバラツキは物理現象のショットノイズであり、この影響を無くすることはできない。そのため、いわゆる確率論(Stochastics)が注目されている。ショットノイズの影響を無くすることはできないが、いかにこの影響を低減するかが議論されている。ショットノイズの影響で寸法均一性(CDU)やラインウィズスラフネス(LWR)が大きくなるだけでなく、数百万分の一の確率でホールが閉塞する現象が観察されている。ホールが閉塞すると電通不良となってトランジスタが動作しないので、デバイス全体のパフォーマンスに悪影響を及ぼす。実用的な感度を考慮した場合、PMMAやHSQを主成分としたレジスト組成物では、Stochasticsの影響を大きく受け、所望の解像性能を得ることはできていない。
【0008】
ショットノイズの影響をレジスト側で低減する方法として、EUV光の吸収が大きい元素の導入が注目されている。特許文献1には、EUV光の吸収が大きいヨウ素原子を含む化学増幅レジスト組成物が提案されている。しかし、前述したとおり、化学増幅レジスト組成物では、今後ますます加工寸法が微細化されるEUVリソグラフィーにおいて優れた解像性能を実現できない。
【0009】
特許文献2には、スズ化合物を用いたネガ型レジスト組成物が提案されている。これは、EUV光の吸収が大きいスズ元素を主成分としているため、Stochasticsが改善され、高感度・高解像性を実現できる。しかし、いわゆるこのようなメタルレジストは、レジスト用溶剤に対する溶解性不足、保存安定性、エッチング後残渣による欠陥等多くの課題を抱えている。さらに、メタルレジストは、主に露光部が金属酸化物となることで現像液に不溶となるネガ型であるため、コンタクトホールのパターニングに適用する場合においては、反転プロセス工程が追加で必要となり、コスト面でも懸念がある。
【0010】
これに対し、特許文献3には、超原子価ヨウ素化合物を用いたポジ型レジスト組成物が提案されている。これは、EUV光の吸収が大きいヨウ素元素を含有するため、メタルレジストと同様にStochasticsが改善され、高感度・高解像性が実現できる。さらに、有機分子のみから構成されているため、メタルレジストの課題である現像液溶解性や残渣による欠陥を改善することができる。しかしながら、レジスト材料としての性能は未だ満足のいくものではなく、更なる微細パターン形成に有用なレジスト材料の開発が求められている。
【先行技術文献】
【特許文献】
(【0011】以降は省略されています)
この特許をJ-PlatPat(特許庁公式サイト)で参照する
関連特許
個人
表示装置
1か月前
個人
雨用レンズカバー
1か月前
日本精機株式会社
プロジェクタ
6日前
キヤノン株式会社
撮像装置
13日前
キヤノン株式会社
撮像装置
2か月前
日本精機株式会社
車両用投射装置
2か月前
キヤノン株式会社
撮像装置
1か月前
キヤノン株式会社
撮像装置
1か月前
キヤノン株式会社
撮像装置
1か月前
株式会社リコー
画像形成装置
1か月前
株式会社リコー
画像形成装置
1か月前
株式会社リコー
画像形成装置
27日前
株式会社リコー
画像形成装置
1か月前
株式会社リコー
画像形成装置
1か月前
株式会社リコー
画像形成装置
2か月前
キヤノン株式会社
トナー
2か月前
キヤノン株式会社
トナー
2か月前
キヤノン株式会社
トナー
1か月前
株式会社オプトル
プロジェクタ
2か月前
キヤノン株式会社
画像形成装置
1か月前
キヤノン株式会社
画像形成装置
21日前
キヤノン株式会社
画像形成装置
1か月前
沖電気工業株式会社
画像形成装置
8日前
スタンレー電気株式会社
照明装置
2か月前
レーザーテック株式会社
光源装置
8日前
キヤノン株式会社
現像装置
2か月前
沖電気工業株式会社
画像形成装置
1か月前
沖電気工業株式会社
画像形成装置
1か月前
アイホン株式会社
カメラシステム
2か月前
レーザーテック株式会社
光源装置
29日前
キヤノン株式会社
レンズキャップ
1か月前
ブラザー工業株式会社
画像形成装置
2か月前
古野電気株式会社
装置
1か月前
株式会社リコー
画像形成装置
2か月前
シャープ株式会社
捺染トナー
6日前
株式会社電気印刷研究所
静電印刷用積層体
2か月前
続きを見る
他の特許を見る