TOP
|
特許
|
意匠
|
商標
特許ウォッチ
Twitter
他の特許を見る
10個以上の画像は省略されています。
公開番号
2025158084
公報種別
公開特許公報(A)
公開日
2025-10-16
出願番号
2025042353
出願日
2025-03-17
発明の名称
レジスト組成物及びパターン形成方法
出願人
信越化学工業株式会社
代理人
弁理士法人英明国際特許事務所
主分類
G03F
7/004 20060101AFI20251008BHJP(写真;映画;光波以外の波を使用する類似技術;電子写真;ホログラフイ)
要約
【課題】高エネルギー線を用いるフォトリソグラフィーにおいて、感度及び解像性に優れる非化学増幅レジスト組成物、並びに該レジスト組成物を用いるパターン形成方法を提供する。
【解決手段】下記式(1)で表される超原子価ヨウ素化合物、カルボキシ基含有ポリマー及び溶剤を含むレジスト組成物。
<com:Image com:imageContentCategory="Drawing"> <com:ImageFormatCategory>TIFF</com:ImageFormatCategory> <com:FileName>2025158084000097.tif</com:FileName> <com:HeightMeasure com:measureUnitCode="Mm">30</com:HeightMeasure> <com:WidthMeasure com:measureUnitCode="Mm">65</com:WidthMeasure> </com:Image> 【選択図】なし
特許請求の範囲
【請求項1】
下記式(1)で表される超原子価ヨウ素化合物、カルボキシ基含有ポリマー及び溶剤を含むレジスト組成物。
TIFF
2025158084000093.tif
34
72
(式中、mは、0又は1である。nは、mが0のときは0~4の整数であり、mが1のときは0~6の整数である。
R
1
は、ハロゲン原子、又はヘテロ原子を含んでいてもよい炭素数1~10のヒドロカルビル基である。
R
2
は、ハロゲン原子、又はヘテロ原子を含んでいてもよい炭素数1~40のヒドロカルビル基である。nが2以上のとき、各R
2
は、互いに同一であってもよく、異なっていてもよい。また、複数のR
2
が、互いに結合してこれらが結合する芳香環の炭素原子と共に環を形成してもよい。
R
3
は、カルボニル基、又はヘテロ原子を含んでいてもよい炭素数1~10のヒドロカルビレン基である。
*1及び*2は、式中の芳香環の炭素原子との結合手を表す。ただし、*1と*2は芳香環の隣接した炭素原子に結合している。)
続きを表示(約 2,000 文字)
【請求項2】
前記カルボキシ基含有ポリマーが、下記式(2)で表される繰り返し単位を含むものである請求項1記載のレジスト組成物。
TIFF
2025158084000094.tif
20
41
(式中、R
A
は、水素原子、ハロゲン原子、メチル基又はトリフルオロメチル基である。
X
A
は、単結合、フェニレン基、ナフチレン基又は*-C(=O)-O-X
A1
-である。X
A1
は、炭素数1~10の飽和ヒドロカルビレン基、フェニレン基又はナフチレン基であり、該飽和ヒドロカルビレン基は、ヒドロキシ基、エーテル結合、エステル結合及びラクトン環から選ばれる少なくとも1つを含んでいてもよい。*は、主鎖の炭素原子との結合手を表す。)
【請求項3】
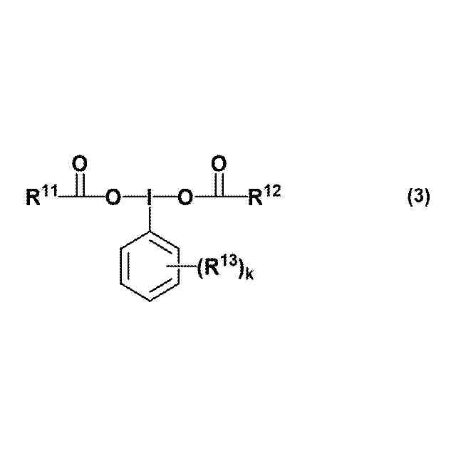
更に、下記式(3)で表される超原子価ヨウ素化合物を含む請求項1記載のレジスト組成物。
TIFF
2025158084000095.tif
25
65
(式中、kは、0~5の整数である。
R
11
及びR
12
は、それぞれ独立に、ハロゲン原子、又はヘテロ原子を含んでいてもよい炭素数1~10のヒドロカルビル基である。また、R
11
及びR
12
が、互いに結合してこれらが結合する炭素原子及び該炭素原子間の原子と共に環を形成してもよい。
R
13
は、ハロゲン原子、又はヘテロ原子を含んでいてもよい炭素数1~40のヒドロカルビル基である。kが2、3、4又は5のとき、各R
13
は、互いに同一であってもよく、異なっていてもよい。また、複数のR
13
が、互いに結合してこれらが結合する芳香環の炭素原子と共に環を形成してもよい。)
【請求項4】
基板と、該基板上に請求項1~3のいずれか1項記載のレジスト組成物から得られるレジスト膜とを備える積層体。
【請求項5】
前記基板と前記レジスト膜との間にレジスト下層膜を備える請求項4記載の積層体。
【請求項6】
請求項1~3のいずれか1項記載のレジスト組成物を用いて、基板上に、又は下層膜を積層した基板の該下層膜上にレジスト膜を形成する工程と、前記レジスト膜を高エネルギー線で露光する工程と、前記露光したレジスト膜を、現像液を用いて現像する工程とを含むパターン形成方法。
【請求項7】
前記高エネルギー線が、電子線又は極端紫外線である請求項6記載のパターン形成方法。
【請求項8】
前記現像液が、露光部を溶解し、未露光部を溶解しないものである請求項6記載のパターン形成方法。
【請求項9】
前記現像液が、未露光部を溶解し、露光部を溶解しないものである請求項6記載のパターン形成方法。
【請求項10】
基板と、該基板上にレジスト膜とを備える積層体であって、前記レジスト膜が下記式(4)で表される繰り返し単位を含むポリマーを含むものである積層体。
TIFF
2025158084000096.tif
44
56
(式中、mは、0又は1である。nは、mが0のときは0~4の整数であり、mが1のときは0~6の整数である。
R
2
は、ハロゲン原子、又はヘテロ原子を含んでいてもよい炭素数1~40のヒドロカルビル基である。nが2以上のとき、各R
2
は、互いに同一であってもよく、異なっていてもよい。また、複数のR
2
が、互いに結合してこれらが結合する芳香環の炭素原子と共に環を形成してもよい。
R
3
は、カルボニル基、又はヘテロ原子を含んでいてもよい炭素数1~10のヒドロカルビレン基である。
*1及び*2は、式中の芳香環の炭素原子との結合手を表す。ただし、*1と*2は芳香環の隣接した炭素原子に結合している。
R
A
は、水素原子、ハロゲン原子、メチル基又はトリフルオロメチル基である。
X
A
は、単結合、フェニレン基、ナフチレン基又は*-C(=O)-O-X
A1
-である。X
A1
は、炭素数1~10の飽和ヒドロカルビレン基、フェニレン基又はナフチレン基であり、該飽和ヒドロカルビレン基は、ヒドロキシ基、エーテル結合、エステル結合及びラクトン環から選ばれる少なくとも1つを含んでいてもよい。*は、主鎖の炭素原子との結合手を表す。)
(【請求項11】以降は省略されています)
発明の詳細な説明
【技術分野】
【0001】
本発明は、レジスト組成物及びパターン形成方法に関する。
続きを表示(約 2,300 文字)
【背景技術】
【0002】
IoT市場の拡大とともにLSIの高集積化、高速度化及び低消費電力化が更に要求され、パターンルールの微細化が急速に進んでいる。特に、ロジックデバイスが微細化を牽引している。最先端の微細化技術として、ArF液浸リソグラフィーのダブルパターニング、トリプルパターニング及びクアドロパターニングによる10nmノードのデバイスの量産が行われており、さらに次世代の波長13.5nmの極端紫外線(EUV)リソグラフィーによる7nmノードデバイスの検討が進められている。
【0003】
微細化の進行とともに、酸の拡散による像のボケが問題になっている(非特許文献1)。加工寸法45nm以降の微細パターンでの解像性を確保するためには、従来提案されている溶解コントラストの向上だけでなく、酸拡散の制御が重要であることが提案されている(非特許文献2)。しかしながら、化学増幅レジスト組成物は、酸の拡散によって感度とコントラストを上げているため、ポストエクスポージャベーク(PEB)温度を低くしたり、PEB時間を短くしたりして酸拡散を極限まで抑えようとすると、感度やコントラストが著しく低下する。
【0004】
バルキーな酸が発生する酸発生剤を添加して酸拡散を抑えることは有効である。そこで、ポリマーに重合性オレフィンを有するオニウム塩の酸発生剤を共重合することが提案されている。しかし、加工寸法16nm以降のレジスト膜のパターン形成においては、酸拡散の観点から化学増幅レジスト組成物ではパターン形成ができないと考えられており、非化学増幅レジスト組成物の開発が望まれている。
【0005】
非化学増幅レジスト組成物用の材料として、ポリメチルメタクリレート(PMMA)が挙げられる。PMMAは、EUV照射によって主鎖が切断し、分子量が低下することによって有機溶剤の現像液への溶解性が向上するポジ型レジスト材料である。
【0006】
ハイドロゲンシルセスキオキサン(HSQ)は、EUV照射によって生じたシラノールの縮合反応による架橋によってアルカリ現像液に不溶となるネガ型レジスト材料である。また、塩素置換したカリックスアレーンもネガ型レジスト材料として機能する。これらのネガ型レジスト材料は、架橋前の分子サイズが小さく酸拡散によるボケが無いため、エッジラフネスが小さく解像性が非常に高く、露光装置の解像限界を示すためのパターン転写材料として用いられている。しかしながら、これらの材料は感度が不十分であり、更なる改善が必要である。
【0007】
EUVリソグラフィー向け材料開発を困難にさせる要因として、EUV露光におけるフォトン数の少なさが挙げられる。EUVのエネルギーはArFエキシマレーザー光に比べて遙かに高く、EUV露光のフォトン数は、ArF露光のそれの14分の1である。さらに、EUV露光で形成するパターンの寸法は、ArF露光の半分以下である。このため、EUV露光はフォトン数のバラツキの影響を受けやすい。極短波長の放射光領域におけるフォトン数のバラツキは物理現象のショットノイズであり、この影響を無くすることはできない。そのため、いわゆる確率論(Stochastics)が注目されている。ショットノイズの影響を無くすることはできないが、いかにこの影響を低減するかが議論されている。ショットノイズの影響で寸法均一性(CDU)やラインウィズスラフネス(LWR)が大きくなるだけでなく、数百万分の一の確率でホールが閉塞する現象が観察されている。ホールが閉塞すると電通不良となってトランジスタが動作しないので、デバイス全体のパフォーマンスに悪影響を及ぼす。実用的な感度を考慮した場合、PMMAやHSQを主成分としたレジスト組成物では、Stochasticsの影響を大きく受け、所望の解像性能を得ることはできていない。
【0008】
ショットノイズの影響をレジスト側で低減する方法として、EUV光の吸収が大きい元素の導入が注目されている。特許文献1には、EUV光の吸収が大きいヨウ素原子を含む化学増幅レジスト組成物が提案されている。しかし、前述したとおり、化学増幅レジスト組成物では、今後ますます加工寸法が微細化されるEUVリソグラフィーにおいて優れた解像性能を実現できない。
【0009】
特許文献2には、スズ化合物を用いたネガ型レジスト組成物が提案されている。これは、EUV光の吸収が大きいスズ元素を主成分としているため、Stochasticsが改善され、高感度・高解像性を実現できる。しかし、いわゆるこのようなメタルレジストは、レジスト用溶剤に対する溶解性不足、保存安定性、エッチング後残渣による欠陥等多くの課題を抱えている。
【0010】
これに対し、特許文献3には、超原子価ヨウ素化合物を用いたポジ型レジスト組成物が提案されている。これは、EUV光の吸収が大きいヨウ素元素を含有するため、メタルレジストと同様にStochasticsが改善され、高感度・高解像性が実現できる。さらに、有機分子のみから構成されているため、メタルレジストの課題である現像液溶解性や残渣による欠陥を改善することができる。しかしながら、レジスト材料としての性能は未だ満足のいくものではなく、更なる微細パターン形成に有用なレジスト材料の開発が求められている。
【先行技術文献】
【特許文献】
(【0011】以降は省略されています)
特許ウォッチbot のツイートを見る
この特許をJ-PlatPat(特許庁公式サイト)で参照する
関連特許
信越化学工業株式会社
炭化金属被覆材料
1日前
信越化学工業株式会社
光ファイバ母材の製造方法
21日前
信越化学工業株式会社
非晶質固体分散体を含む複合物
24日前
信越化学工業株式会社
光ファイバ用多孔質母材の製造装置
21日前
信越化学工業株式会社
オルガノポリシロキサンを含む冷媒
6日前
信越化学工業株式会社
オルガノポリシロキサンを含む冷媒
6日前
信越化学工業株式会社
オルガノポリシロキサンを含む冷媒
6日前
信越化学工業株式会社
熱伝導性シリコーン組成物及びその硬化物
21日前
信越化学工業株式会社
室温硬化性オルガノポリシロキサン組成物
23日前
信越化学工業株式会社
熱伝導性シリコーン組成物及びその硬化物
8日前
信越化学工業株式会社
超音波カップリング材複合膜及び超音波検査方法
今日
信越化学工業株式会社
含窒素多官能オルガノキシシラン化合物の製造方法
8日前
信越化学工業株式会社
オルガノポリシロキサン及びこれを含有する化粧料
13日前
信越化学工業株式会社
キーパッド作製用シリコーンゴム組成物及びキーパッド
22日前
信越化学工業株式会社
オニウム塩、化学増幅レジスト組成物及びパターン形成方法
15日前
信越化学工業株式会社
密着膜形成用組成物、パターン形成方法、及び密着膜の形成方法
6日前
信越化学工業株式会社
反射型フォトマスクブランク、及び反射型フォトマスクの製造方法
22日前
信越化学工業株式会社
徐放性フェロモン製剤
6日前
信越化学工業株式会社
金属含有膜形成用化合物、金属含有膜形成用組成物、パターン形成方法
今日
信越化学工業株式会社
有機膜形成用組成物、有機膜形成方法、パターン形成方法、及び重合体
15日前
信越化学工業株式会社
ミラブル型フロロシリコーンゴム組成物及び輸送機のエンジン周辺用ゴム部品
13日前
信越化学工業株式会社
合成石英ガラス基板及びその製造方法、並びに光学素子パッケージ封止用窓材の製造方法
6日前
信越化学工業株式会社
ラジカル重合性基含有環状オルガノシロキサン、その製造方法およびそれを含む硬化性組成物
14日前
信越化学工業株式会社
ラジカル重合性基含有環状オルガノシロキサン誘導体、その製造方法およびそれを含む硬化性組成物
14日前
信越化学工業株式会社
多層構造型の感光性ドライフィルム、パターン形成方法、表示装置、及びマイクロLEDディスプレイ
21日前
信越化学工業株式会社
ネガ型感光性樹脂組成物、パターン形成方法、硬化被膜形成方法、層間絶縁膜、表面保護膜、及び電子部品
21日前
信越化学工業株式会社
ミラブル型シリコーンゴム原料混合物及びコンパウンド並びに、コンパウンドの製造方法及び組成物の製造方法
13日前
信越化学工業株式会社
重合体、ネガ型感光性樹脂組成物、パターン形成方法、硬化被膜形成方法、層間絶縁膜、表面保護膜、及び電子部品
21日前
信越化学工業株式会社
感光性樹脂組成物、感光性樹脂皮膜、感光性ドライフィルム、パターン形成方法、表示装置、及びマイクロLEDディスプレイ
21日前
信越化学工業株式会社
感光性樹脂組成物、感光性樹脂皮膜、感光性ドライフィルム、パターン形成方法、表示装置、及びマイクロLEDディスプレイ
21日前
個人
表示装置
1か月前
個人
雨用レンズカバー
1か月前
株式会社シグマ
絞りユニット
2か月前
キヤノン株式会社
撮像装置
1か月前
平和精機工業株式会社
雲台
2か月前
キヤノン株式会社
撮像装置
2か月前
続きを見る
他の特許を見る