TOP
|
特許
|
意匠
|
商標
特許ウォッチ
Twitter
他の特許を見る
10個以上の画像は省略されています。
公開番号
2025177372
公報種別
公開特許公報(A)
公開日
2025-12-05
出願番号
2024084143
出願日
2024-05-23
発明の名称
モノマー、ポリマー、化学増幅レジスト組成物及びパターン形成方法
出願人
信越化学工業株式会社
代理人
弁理士法人英明国際特許事務所
主分類
C08F
12/30 20060101AFI20251128BHJP(有機高分子化合物;その製造または化学的加工;それに基づく組成物)
要約
【課題】高エネルギー線を用いるフォトリソグラフィーにおいて、溶剤溶解性に優れ、高感度であり、高コントラストで、EL、LWR、CDU、DOF等のリソグラフィー性能、及びパターン形状に優れる化学増幅レジスト組成物に使用されるポリマーの原料となるモノマー、これを用いて得られるポリマー、化学増幅レジスト組成物、及び該化学増幅レジスト組成物を用いるパターン形成方法を提供する。
【解決手段】下記式(A)で表されるモノマー。
<com:Image com:imageContentCategory="Drawing"> <com:ImageFormatCategory>TIFF</com:ImageFormatCategory> <com:FileName>2025177372000317.tif</com:FileName> <com:HeightMeasure com:measureUnitCode="Mm">30</com:HeightMeasure> <com:WidthMeasure com:measureUnitCode="Mm">60</com:WidthMeasure> </com:Image>
【選択図】なし
特許請求の範囲
【請求項1】
下記式(A)で表されるモノマー。
TIFF
2025177372000310.tif
36
71
(式中、n1は、0又は1である。n2は、1又は2である。n3は、1又は2である。n4は、0、1、2、3又は4である。ただし、n1が0のときは、2≦n2+n3+n4≦5であり、n1が1のときは、2≦n2+n3+n4≦7である。
R
A
は、水素原子、フッ素原子、メチル基又はトリフルオロメチル基である。
X
L
は、単結合又は-C(=O)-O-*である。*は、芳香環上の炭素原子との結合手を表す。
R
1
は、ハロゲン原子、ニトロ基、シアノ基、ヒドロキシ基、カルボキシ基、又はヘテロ原子を含んでいてもよい炭素数1~20のヒドロカルビル基である。
R
AL
は、酸不安定基である。
ただし、n2が1のとき、-O-R
AL
及び-SF
5
は、それぞれ芳香環上の隣接する炭素原子上に結合している。n2が2のとき、2つの-O-R
AL
のうち1つは-SF
5
が結合する芳香環上の炭素原子に隣接する炭素原子上に結合している。)
続きを表示(約 5,700 文字)
【請求項2】
下記式(A1)で表されるものである請求項1記載のモノマー。
TIFF
2025177372000311.tif
38
79
(式中、n1、n4、R
A
、X
L
、R
1
及びR
AL
は、前記と同じ)
【請求項3】
R
AL
が、下記式(AL-1)又は(AL-2)で表される基である請求項1記載のモノマー。
TIFF
2025177372000312.tif
28
115
(式中、n5は、0又は1である。n6は、0又は1である。
R
L1
、R
L2
及びR
L3
は、それぞれ独立に、炭素数1~12のヒドロカルビル基であり、該ヒドロカルビル基の-CH
2
-の一部が、-O-又は-S-で置換されていてもよく、該ヒドロカルビル基が芳香環を含む場合は、該芳香環の水素原子の一部又は全部が、ハロゲン原子、シアノ基、ニトロ基、ハロゲン原子を含んでいてもよい炭素数1~4のアルキル基又はハロゲン原子を含んでいてもよい炭素数1~4のアルコキシ基で置換されていてもよい。また、R
L1
、R
L2
及びR
L3
のいずれか2つが、互いに結合してこれらが結合する炭素原子と共に環を形成してもよく、該環の-CH
2
-の一部が、-O-又は-S-で置換されていてもよい。
R
L4
及びR
L5
はそれぞれ独立に、水素原子又は炭素数1~10のヒドロカルビル基である。R
L6
は、炭素数1~20のヒドロカルビル基であり、該ヒドロカルビル基の-CH
2
-の一部が、-O-又は-S-で置換されていてもよい。また、R
L5
及びR
L6
が、互いに結合してこれらが結合する炭素原子及びL
A
と共に炭素数3~20の複素環基を形成してもよく、該複素環基の-CH
2
-の一部が、-O-又は-S-で置換されていてもよい。
L
A
は、-O-又は-S-である。
*は、隣接する-O-との結合手を表す。)
【請求項4】
請求項1記載のモノマーに由来する繰り返し単位を含むポリマー。
【請求項5】
更に、下記式(a1)又は(a2)で表される繰り返し単位を含む請求項4記載のポリマー。
TIFF
2025177372000313.tif
41
65
(式中、R
A
は、それぞれ独立に、水素原子、フッ素原子、メチル基又はトリフルオロメチル基である。
X
1
は、単結合、フェニレン基、ナフチレン基、*-C(=O)-O-X
11
-又は*-C(=O)-NH-X
11
-であり、該フェニレン基又はナフチレン基は、ヒドロキシ基、ニトロ基、シアノ基、フッ素原子を含んでもよい炭素数1~10の飽和ヒドロカルビル基、フッ素原子を含んでもよい炭素数1~10の飽和ヒドロカルビルオキシ基又はハロゲン原子で置換されていてもよい。X
11
は、炭素数1~10の飽和ヒドロカルビレン基、フェニレン基又はナフチレン基であり、該飽和ヒドロカルビレン基は、ヒドロキシ基、エーテル結合、エステル結合又はラクトン環を含んでいてもよい。
X
2
は、単結合、*-C(=O)-O-又は*-C(=O)-NH-である。
*は、主鎖の炭素原子との結合手を表す。
R
11
は、ハロゲン原子、シアノ基、ヒドロキシ基、ニトロ基、ヘテロ原子を含んでいてもよい炭素数1~20のヒドロカルビル基、ヘテロ原子を含んでいてもよい炭素数1~20のヒドロカルビルオキシ基、ヘテロ原子を含んでいてもよい炭素数2~20のヒドロカルビルカルボニル基、ヘテロ原子を含んでいてもよい炭素数2~20のヒドロカルビルカルボニルオキシ基又はヘテロ原子を含んでいてもよい炭素数2~20のヒドロカルビルオキシカルボニル基である。
AL
1
及びAL
2
は、それぞれ独立に、酸不安定基である。
a1は、0、1、2、3又は4である。)
【請求項6】
更に、下記式(a3)で表される繰り返し単位を含む請求項4記載のポリマー。
TIFF
2025177372000314.tif
53
76
(式中、b1は、0又は1である。b2は、b1が0のときは0、1、2又は3であり、b1が1のときは0、1、2、3、4又は5である。
R
A
は、水素原子、フッ素原子、メチル基又はトリフルオロメチル基である。
X
3
は、単結合、*-C(=O)-O-又は*-C(=O)-NH-である。*は、主鎖の炭素原子との結合手を表す。
X
4
は、単結合、炭素数1~4の脂肪族ヒドロカルビレン基、カルボニル基、スルホニル基、又はこれらを組み合わせて得られる基である。
X
5
及びX
6
は、それぞれ独立に、酸素原子又は硫黄原子である。ただし、X
4
及びX
6
は、芳香環の隣接した炭素原子に結合している。
R
12
及びR
13
は、それぞれ独立に、水素原子、又はヘテロ原子を含んでいてもよい炭素数1~20のヒドロカルビル基である。また、R
12
及びR
13
が、互いに結合してこれらが結合する炭素原子と共に環を形成してもよい。
R
14
は、ハロゲン原子、ヒドロキシ基、シアノ基、ニトロ基、ヘテロ原子を含んでいてもよい炭素数1~20のヒドロカルビル基、ヘテロ原子を含んでいてもよい炭素数1~20のヒドロカルビルオキシ基、ヘテロ原子を含んでいてもよい炭素数2~20のヒドロカルビルオキシカルボニル基、ヘテロ原子を含んでいてもよい炭素数1~20のヒドロカルビルチオ基又は-N(R
14A
)(R
14B
)である。R
14A
及びR
14B
は、それぞれ独立に、水素原子又は炭素数1~6のヒドロカルビル基である。b2が2以上のとき、複数のR
14
が、互いに結合してこれらが結合する芳香環の炭素原子と共に環を形成してもよい。)
【請求項7】
更に、下記式(b1)又は(b2)で表される繰り返し単位を含む請求項4記載のポリマー。
TIFF
2025177372000315.tif
42
74
(式中、R
A
は、それぞれ独立に、水素原子、フッ素原子、メチル基又はトリフルオロメチル基である。
Y
1
は、単結合又は*-C(=O)-O-である。*は、主鎖の炭素原子との結合手を表す。
R
21
は、水素原子、又はフェノール性ヒドロキシ基以外のヒドロキシ基、シアノ基、カルボニル基、カルボキシ基、エーテル結合、エステル結合、スルホン酸エステル結合、カーボネート結合、ラクトン環、スルトン環及びカルボン酸無水物(-C(=O)-O-C(=O)-)から選ばれる少なくとも1つ以上の構造を含む炭素数1~20の基である。
R
22
は、ハロゲン原子、ヒドロキシ基、カルボキシ基、ニトロ基、シアノ基、ヘテロ原子を含んでいてもよい炭素数1~20のヒドロカルビル基、ヘテロ原子を含んでいてもよい炭素数1~20のヒドロカルビルオキシ基、ヘテロ原子を含んでいてもよい炭素数2~20のヒドロカルビルカルボニル基、ヘテロ原子を含んでいてもよい炭素数2~20のヒドロカルビルカルボニルオキシ基又はヘテロ原子を含んでいてもよい炭素数2~20のヒドロカルビルオキシカルボニル基である。
c1は、1、2、3又は4である。c2は、0、1、2、3又は4である。ただし、1≦c1+c2≦5である。)
【請求項8】
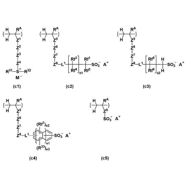
更に、下記式(c1)で表される繰り返し単位、下記式(c2)で表される繰り返し単位、下記式(c3)で表される繰り返し単位、下記式(c4)で表される繰り返し単位及び下記式(c5)で表される繰り返し単位から選ばれる少なくとも1種を含む請求項4記載のポリマー。
TIFF
2025177372000316.tif
119
160
(式中、d1及びd2は、それぞれ独立に、0、1、2又は3である。
e1は、0又は1である。e2は、0、1、2、3又は4である。e3は、0、1、2、3又は4である。ただし、e1が0のときは0≦e2+e3≦4であり、e1が1のときは0≦e2+e3≦6である。
R
A
は、それぞれ独立に、水素原子、フッ素原子、メチル基又はトリフルオロメチル基である。
Z
1
は、単結合又は置換基を有していてもよいフェニレン基である。
Z
2
は、単結合、**-C(=O)-O-Z
21
-、**-C(=O)-NH-Z
21
-又は**-O-Z
21
-である。Z
21
は、炭素数1~6の脂肪族ヒドロカルビレン基、フェニレン基又はこれらを組み合わせて得られる2価の基であり、ハロゲン原子、カルボニル基、エステル結合、エーテル結合又はヒドロキシ基を含んでいてもよい。
Z
3
は、単結合、エーテル結合、エステル結合、スルホン酸エステル結合、アミド結合、スルホンアミド結合、カーボネート結合又はカーバメート結合である。
Z
4
は、単結合、又は炭素数1~6の脂肪族ヒドロカルビレン基、フェニレン基又はこれらを組み合わせて得られる2価の基であり、ハロゲン原子、カルボニル基、エステル結合、エーテル結合又はヒドロキシ基を含んでいてもよい。
Z
5
は、それぞれ独立に、単結合、置換基を有していてもよいフェニレン基、ナフチレン基又は*-C(=O)-O-Z
51
-である。Z
51
は、炭素数1~10の脂肪族ヒドロカルビレン基、フェニレン基又はナフチレン基であり、該脂肪族ヒドロカルビレン基は、ハロゲン原子、ヒドロキシ基、エーテル結合、エステル結合又はラクトン環を含んでいてもよい。
Z
6
は、単結合、エーテル結合、エステル結合、スルホン酸エステル結合、アミド結合、スルホンアミド結合、カーボネート結合又はカーバメート結合である。
Z
7
は、それぞれ独立に、単結合、***-Z
71
-C(=O)-O-、***-C(=O)-NH-Z
71
-又は***-O-Z
71
-である。である。Z
71
は、ヘテロ原子を含んでいてもよい炭素数1~20のヒドロカルビレン基である。
Z
8
は、それぞれ独立に、単結合、****-Z
81
-C(=O)-O-、****-C(=O)-NH-Z
81
-又は****-O-Z
81
-である。Z
81
は、ヘテロ原子を含んでいてもよい炭素数1~20のヒドロカルビレン基である。
Z
9
は、単結合、メチレン基、エチレン基、フェニレン基、フッ素化フェニレン基、トリフルオロメチル基で置換されたフェニレン基、*-C(=O)-O-Z
61
-、*-C(=O)-N(H)-Z
91
-又は*-O-Z
91
-である。Z
91
は、炭素数1~6の脂肪族ヒドロカルビレン基、フェニレン基、フッ素化フェニレン基又はトリフルオロメチル基で置換されたフェニレン基であり、カルボニル基、エステル結合、エーテル結合又はヒドロキシ基を含んでいてもよい。
*は、主鎖の炭素原子との結合手を表す。**は、Z
1
との結合手を表す。***は、Z
6
との結合手を表す。****は、Z
7
との結合手を表す。
L
1
は、単結合、エーテル結合、エステル結合、カルボニル基、スルホン酸エステル結合、スルホン酸アミド結合、カーボネート結合又はカーバメート結合である。
Rf
1
及びRf
2
は、それぞれ独立に、フッ素原子又は炭素数1~6のフッ素化飽和ヒドロカルビル基である。
【請求項9】
請求項4~8のいずれか1項記載のポリマーを含むベースポリマー、酸発生剤及び有機溶剤を含む化学増幅レジスト組成物。
【請求項10】
更に、クエンチャーを含む請求項9記載の化学増幅レジスト組成物。
(【請求項11】以降は省略されています)
発明の詳細な説明
【技術分野】
【0001】
本発明は、モノマー、ポリマー、化学増幅レジスト組成物及びパターン形成方法に関する。
続きを表示(約 1,800 文字)
【背景技術】
【0002】
LSIの高集積化と高速度化に伴い、パターンルールの微細化が急速に進んでいる。5Gの高速通信と人工知能(artificial intelligence、AI)の普及が進み、これを処理するための高性能デバイスが必要とされているためである。最先端の微細化技術としては、波長13.5nmの極端紫外線(EUV)リソグラフィーによる5nmノードのデバイスの量産が行われている。さらに、次世代の3nmノード、次次世代の2nmノードデバイスにおいてもEUVリソグラフィーを用いた検討が進められている。
【0003】
微細化の進行とともに酸の拡散による像のぼけが問題になっている。加工寸法45nm以降の微細パターンでの解像性を確保するためには、従来提案されている溶解コントラストの向上だけでなく、酸拡散の制御が重要であることが提案されている(非特許文献1)。しかしながら、化学増幅レジスト組成物は、酸の拡散によって感度とコントラストを上げているため、ポストエクスポージャーベーク(PEB)温度を下げたり、時間を短くしたりして酸拡散を極限まで抑えようとすると、感度とコントラストが著しく低下する。
【0004】
感度、解像度及びエッジラフネス(LER、LWR)のトライアングルトレードオフの関係が示されている。解像度を向上させるためには酸拡散を抑えることが必要であるが、酸拡散距離が短くなると感度が低下する。
【0005】
バルキーな酸が発生する酸発生剤を添加して酸拡散を抑えることは有効である。そこで、重合性不飽和結合を有するオニウム塩に由来する繰り返し単位をポリマーに含ませることが提案されている。このとき、ポリマーは、酸発生剤としても機能する(ポリマーバウンド型酸発生剤)。特許文献1には、特定のスルホン酸を発生する重合性不飽和結合を有するスルホニウム塩やヨードニウム塩が提案されている。特許文献2には、スルホン酸が主鎖に直結したスルホニウム塩が提案されている。
【0006】
ポジ型レジスト組成物の性能に寄与する成分として、ベースポリマーの酸不安定基の構造は重要である。ここで、フッ素原子で置換された芳香族基に結合する3級エステル型の酸不安定基が提案されている(特許文献3、4)。芳香族基に結合する3級エステル型の酸不安定基は、酸による脱離反応性が非常に高いために、酸拡散の制御が困難であったが、芳香族基にフッ素原子を導入することによって脱離反応性を適度に抑えたものである。
【0007】
フッ素原子は、立体的に水素原子に次いで小さく、かつ疎水性及び親油性に優れる元素である。中でも、トリフルオロメトキシ基は、対応するメトキシ基と比較して著しく疎水性に優れる置換基として知られている(非特許文献2)。トリフルオロメトキシ基で置換された芳香族基を有する3級エステル型の酸不安定基(特許文献5)や3級エーテル型の酸不安定基が提案されている(特許文献6)。
【0008】
一方、特許文献7の段落[0036]に例示されているオレフィンを有する3級エステル型酸不安定基は、酸による脱離反応性が非常に高いため、酸拡散の制御が困難であった。また、特許文献7の段落[0188]に例示されているオレフィンを有する2級エステル型酸不安定基は、酸による脱離反応性が低いため、高い溶解コントラストを得ることができないという問題があった。
【0009】
これらの3級エステル型酸不安定基は、酸による脱保護反応後にカルボン酸が生成する。カルボン酸はアルカリ現像液に対して膨潤挙動を示し、微細パターン形成において膨潤によるパターン倒れが生じる。更なる微細化の要求に応えるため、酸に対して良好な酸脱離反応性を有し、かつ脱離反応後においてもアルカリ現像液に対する膨潤を抑制するような酸不安定モノマーの開発が求められている。
【先行技術文献】
【特許文献】
【0010】
特開2006-045311号公報
特開2006-178317号公報
特許第3832564号公報
特許第5655754号公報
特開2019-214554号公報
特開2024-000259号公報
特開2001-302728号公報
特開2022-025610号公報
【非特許文献】
(【0011】以降は省略されています)
この特許をJ-PlatPat(特許庁公式サイト)で参照する
関連特許
株式会社カネカ
断熱材
1か月前
東ソー株式会社
ペレット
1か月前
ユニチカ株式会社
透明シート
2か月前
ユニチカ株式会社
透明シート
3か月前
株式会社コバヤシ
成形体
2か月前
東レ株式会社
熱硬化性樹脂組成物
3か月前
東ソー株式会社
エチレン系重合体
2日前
東レ株式会社
ポリエステルフィルム
1か月前
東レ株式会社
ポリエステルフィルム
2か月前
丸住製紙株式会社
変性パルプ
2か月前
東ソー株式会社
プラスチゾル組成物
1か月前
東レ株式会社
引抜成形品の製造方法
3か月前
東ソー株式会社
ゴム用接着性改質剤
1か月前
住友精化株式会社
吸水剤の製造方法
2か月前
東ソー株式会社
樹脂組成物および蓋材
2か月前
東ソー株式会社
エチレン系重合用触媒
1か月前
東レ株式会社
ポリプロピレンフィルム
2か月前
東ソー株式会社
樹脂組成物および蓋材
2か月前
横浜ゴム株式会社
重荷重タイヤ
2か月前
UBE株式会社
衝撃吸収材
2か月前
株式会社信日康
香料を含有するポリマー
2日前
アイカ工業株式会社
光硬化性樹脂組成物
2か月前
株式会社信日康
香料を含有するポリマー
2日前
株式会社スリーボンド
硬化性樹脂組成物
2か月前
日本特殊陶業株式会社
樹脂成形体
2か月前
株式会社カネカ
硬化性組成物
3か月前
ノリタケ株式会社
担体構造体
1か月前
住友化学株式会社
樹脂組成物
2か月前
東レ株式会社
シート、硬化物、硬化接着物
2日前
三洋化成工業株式会社
熱成形用樹脂組成物
2か月前
株式会社カネカ
シーリング材
1か月前
日本特殊陶業株式会社
賦形体
18日前
株式会社カネカ
硬化性組成物
2か月前
住友ベークライト株式会社
ポリマー
1か月前
住友ベークライト株式会社
ポリマー
1か月前
ハイモ株式会社
油中水型エマルジョン重合体
2か月前
続きを見る
他の特許を見る