TOP
|
特許
|
意匠
|
商標
特許ウォッチ
Twitter
他の特許を見る
10個以上の画像は省略されています。
公開番号
2025156104
公報種別
公開特許公報(A)
公開日
2025-10-14
出願番号
2025049783
出願日
2025-03-25
発明の名称
ポリマー
出願人
住友ベークライト株式会社
代理人
個人
主分類
C08F
232/04 20060101AFI20251002BHJP(有機高分子化合物;その製造または化学的加工;それに基づく組成物)
要約
【課題】成形性および柔軟性の性能バランスを向上させることが可能な新規なポリマーを提供する。
【解決手段】ポリマー(A1)およびポリマー(A2)からなる群から選択されるいずれかのポリマーであり、前記ポリマー(A1)は、式(1a)で示される構造単位および式(1b)で示される構造単位からなる群から選択される少なくとも一種を含む構造単位と、式(2)で示される構造単位と、式(3)で示される構造単位と、を含み、前記ポリマー(A2)は、式(1a)で示される構造単位および式(1b)で示される構造単位からなる群から選択される少なくとも一種を含む構造単位と、式(2)で示される構造単位と、式(4)で示される構造単位と、を含む、ポリマー。
【選択図】なし
特許請求の範囲
【請求項1】
ポリマー(A1)およびポリマー(A2)からなる群から選択されるいずれかのポリマーであり、
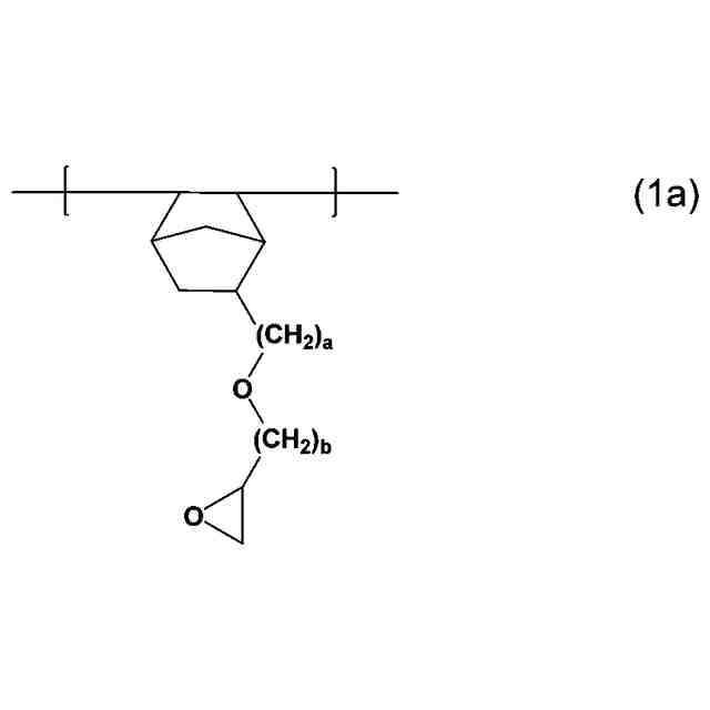
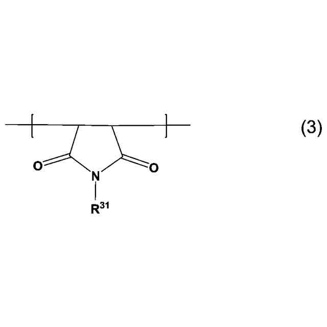
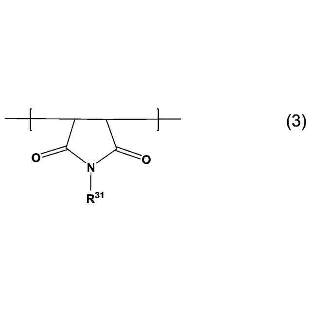
前記ポリマー(A1)は、下記式(1a)で示される構造単位および下記式(1b)で示される構造単位からなる群から選択される少なくとも一種を含む構造単位と、下記式(2)で示される構造単位と、下記式(3)で示される構造単位と、を含み、
前記ポリマー(A2)は、下記式(1a)で示される構造単位および下記式(1b)で示される構造単位からなる群から選択される少なくとも一種を含む構造単位と、下記式(2)で示される構造単位と、下記式(4)で示される構造単位と、を含む、ポリマー。
TIFF
2025156104000015.tif
62
153
(前記式(1a)中、aは0以上3以下の整数を示し、bは1以上3以下の整数を示す)
TIFF
2025156104000016.tif
69
153
(前記式(1b)中、R
12
は、水素原子および炭素原子数1以上4以下のアルキル基からなる群から選択されるいずれかであり、cは1以上3以下の整数を示す)
TIFF
2025156104000017.tif
38
153
(前記式(2)中、R
21
は、水素原子、水酸基、および、炭素原子数4以上20以下の環状アルキル基からなる群から選択されるいずれかを示す)
TIFF
2025156104000018.tif
36
153
(前記式(3)中、R
31
は炭素原子数4以上20以下の直鎖アルキル基を示す)
TIFF
2025156104000019.tif
26
153
(前記式(4)中、R
41
は炭素原子数4以上20以下の直鎖アルキル基を示し、R
42
はそれぞれ独立して、水素原子、メチル基、および、エチル基からなる群から選択されるいずれかを示す)
続きを表示(約 800 文字)
【請求項2】
重量平均分子量(Mw)が5,000以上50,000以下である、請求項1に記載のポリマー。
【請求項3】
多分散度(Mw/Mn)が1.1以上3.5以下である、請求項1または2に記載のポリマー。
【請求項4】
5%質量減少温度が300℃以上である、請求項1または2に記載のポリマー。
【請求項5】
軟化点が100℃以上300℃以下である、請求項1または2に記載のポリマー。
【請求項6】
屈折率が1.45以上1.55以下である、請求項1または2に記載のポリマー。
【請求項7】
前記ポリマー(A1)中の前記式(1a)で示される構造単位および前記式(1b)で示される構造単位の合計含有量は、前記ポリマー(A1)中の構造単位の合計を100モル%としたとき、10モル%以上40モル%以下である、請求項1または2に記載のポリマー。
【請求項8】
前記ポリマー(A1)中の前記式(2)で示される構造単位の含有量は、前記ポリマー(A1)中の構造単位の合計を100モル%としたとき、30モル%以上80モル%以下である、請求項1または2に記載のポリマー。
【請求項9】
前記ポリマー(A1)中の前記式(3)で示される構造単位の含有量は、前記ポリマー(A1)中の構造単位の合計を100モル%としたとき、10モル%以上40モル%以下である、請求項1または2に記載のポリマー。
【請求項10】
前記ポリマー(A2)中の前記式(1a)で示される構造単位および前記式(1b)で示される構造単位の合計含有量は、前記ポリマー(A2)中の構造単位の合計を100モル%としたとき、5モル%以上40モル%以下である、請求項1または2に記載のポリマー。
(【請求項11】以降は省略されています)
発明の詳細な説明
【技術分野】
【0001】
本発明はポリマーに関する。
続きを表示(約 2,700 文字)
【背景技術】
【0002】
ポリマーの中には、光学部材、電子部材等に用いられているものが知られている。ポリマーに関する技術としては、例えば、特許文献1に記載の技術が挙げられる。
【0003】
特許文献1には、芳香族ビニルモノマー単位と、架橋基含有モノマー単位と、ガラス転移温度が150℃以上のホモポリマーを与えるモノマー単位とを含む共重合体が記載されている。
特許文献1に記載の技術によれば、溶剤溶解性、低誘電正接に優れる共重合体を提供できると記載されている。
【先行技術文献】
【特許文献】
【0004】
特開2023-27753号公報
【発明の概要】
【発明が解決しようとする課題】
【0005】
本発明は、成形性および柔軟性の性能バランスを向上させることが可能な新規なポリマーを提供するものである。
【課題を解決するための手段】
【0006】
本発明によれば、以下に示すポリマーが提供される。
【0007】
[1]
ポリマー(A1)およびポリマー(A2)からなる群から選択されるいずれかのポリマーであり、
前記ポリマー(A1)は、下記式(1a)で示される構造単位および下記式(1b)で示される構造単位からなる群から選択される少なくとも一種を含む構造単位と、下記式(2)で示される構造単位と、下記式(3)で示される構造単位と、を含み、
前記ポリマー(A2)は、下記式(1a)で示される構造単位および下記式(1b)で示される構造単位からなる群から選択される少なくとも一種を含む構造単位と、下記式(2)で示される構造単位と、下記式(4)で示される構造単位と、を含む、ポリマー。
TIFF
2025156104000001.tif
62
153
(前記式(1a)中、aは0以上3以下の整数を示し、bは1以上3以下の整数を示す)
TIFF
2025156104000002.tif
69
153
(前記式(1b)中、R
12
は、水素原子および炭素原子数1以上4以下のアルキル基からなる群から選択されるいずれかであり、cは1以上3以下の整数を示す)
TIFF
2025156104000003.tif
38
153
(前記式(2)中、R
21
は、水素原子、水酸基、および、炭素原子数4以上20以下の環状アルキル基からなる群から選択されるいずれかを示す)
TIFF
2025156104000004.tif
36
153
(前記式(3)中、R
31
は炭素原子数4以上20以下の直鎖アルキル基を示す)
TIFF
2025156104000005.tif
26
153
(前記式(4)中、R
41
は炭素原子数4以上20以下の直鎖アルキル基を示し、R
42
はそれぞれ独立して、水素原子、メチル基、および、エチル基からなる群から選択されるいずれかを示す)
[2]
重量平均分子量(Mw)が5,000以上50,000以下である、前記[1]に記載のポリマー。
[3]
多分散度(Mw/Mn)が1.1以上3.5以下である、前記[1]または[2]に記載のポリマー。
[4]
5%質量減少温度が300℃以上である、前記[1]~[3]のいずれかに記載のポリマー。
[5]
軟化点が100℃以上300℃以下である、前記[1]~[4]のいずれかに記載のポリマー。
[6]
屈折率が1.45以上1.55以下である、前記[1]~[5]のいずれかに記載のポリマー。
[7]
前記ポリマー(A1)中の前記式(1a)で示される構造単位および前記式(1b)で示される構造単位の合計含有量は、前記ポリマー(A1)中の構造単位の合計を100モル%としたとき、10モル%以上40モル%以下である、前記[1]~[6]のいずれかに記載のポリマー。
[8]
前記ポリマー(A1)中の前記式(2)で示される構造単位の含有量は、前記ポリマー(A1)中の構造単位の合計を100モル%としたとき、30モル%以上80モル%以下である、前記[1]~[7]のいずれかに記載のポリマー。
[9]
前記ポリマー(A1)中の前記式(3)で示される構造単位の含有量は、前記ポリマー(A1)中の構造単位の合計を100モル%としたとき、10モル%以上40モル%以下である、前記[1]~[8]のいずれかに記載のポリマー。
[10]
前記ポリマー(A2)中の前記式(1a)で示される構造単位および前記式(1b)で示される構造単位の合計含有量は、前記ポリマー(A2)中の構造単位の合計を100モル%としたとき、5モル%以上40モル%以下である、前記[1]~[6]のいずれかに記載のポリマー。
[11]
前記ポリマー(A2)中の前記式(2)で示される構造単位の含有量は、前記ポリマー(A2)中の構造単位の合計を100モル%としたとき、40モル%以上85モル%以下である、前記[1]~[6]および[10]のいずれかに記載のポリマー。
[12]
前記ポリマー(A2)中の前記式(4)で示される構造単位の含有量は、前記ポリマー(A2)中の構造単位の合計を100モル%としたとき、5モル%以上40モル%以下である、前記[1]~[6]および[10]~[11]のいずれかに記載のポリマー。
【発明の効果】
【0008】
本発明によれば、成形性および柔軟性の性能バランスを向上させることが可能な新規なポリマーを提供できる。
【発明を実施するための形態】
【0009】
以下、本発明の実施形態について説明する。数値範囲の「A~B」は特に断りがなければ、A以上B以下を表す。
【0010】
電気、電子、光、情報、通信などの様々な分野において、樹脂部材が用いられている。また、このような樹脂部材には、例えば、成形性、柔軟性等の性能が求められている。
本発明は、成形性および柔軟性の性能バランスを向上させることが可能な新規なポリマーを提供するものである。
(【0011】以降は省略されています)
この特許をJ-PlatPat(特許庁公式サイト)で参照する
関連特許
株式会社カネカ
断熱材
23日前
東ソー株式会社
ペレット
1か月前
ユニチカ株式会社
透明シート
2か月前
ユニチカ株式会社
透明シート
3か月前
株式会社コバヤシ
成形体
1か月前
東レ株式会社
熱硬化性樹脂組成物
3か月前
東レ株式会社
引抜成形品の製造方法
3か月前
丸住製紙株式会社
変性パルプ
2か月前
東ソー株式会社
プラスチゾル組成物
23日前
東レ株式会社
ポリエステルフィルム
2か月前
東ソー株式会社
ゴム用接着性改質剤
1か月前
住友精化株式会社
吸水剤の製造方法
2か月前
東レ株式会社
ポリエステルフィルム
1か月前
東ソー株式会社
樹脂組成物および蓋材
2か月前
東ソー株式会社
エチレン系重合用触媒
26日前
東ソー株式会社
樹脂組成物および蓋材
2か月前
東レ株式会社
ポリプロピレンフィルム
1か月前
横浜ゴム株式会社
重荷重タイヤ
1か月前
日本特殊陶業株式会社
樹脂成形体
2か月前
アイカ工業株式会社
光硬化性樹脂組成物
1か月前
株式会社スリーボンド
硬化性樹脂組成物
1か月前
UBE株式会社
衝撃吸収材
2か月前
株式会社カネカ
硬化性組成物
2か月前
株式会社カネカ
シーリング材
1か月前
住友化学株式会社
樹脂組成物
1か月前
株式会社カネカ
硬化性組成物
3か月前
三洋化成工業株式会社
熱成形用樹脂組成物
1か月前
日本特殊陶業株式会社
賦形体
11日前
ノリタケ株式会社
担体構造体
1か月前
住友ベークライト株式会社
ポリマー
1か月前
住友ベークライト株式会社
ポリマー
1か月前
株式会社スリーボンド
湿気硬化型樹脂組成物
1か月前
デンカ株式会社
磁性ビーズの製造方法
1か月前
株式会社サンエー化研
フィルム
1か月前
伯東株式会社
ビニル化合物中の重合防止方法
3か月前
ハイモ株式会社
油中水型エマルジョン重合体
1か月前
続きを見る
他の特許を見る