TOP
|
特許
|
意匠
|
商標
特許ウォッチ
Twitter
他の特許を見る
10個以上の画像は省略されています。
公開番号
2025173430
公報種別
公開特許公報(A)
公開日
2025-11-27
出願番号
2024079018
出願日
2024-05-14
発明の名称
オルガノポリシロキサン及び光硬化性コーティング組成物
出願人
信越化学工業株式会社
代理人
個人
,
個人
,
個人
主分類
C08G
77/388 20060101AFI20251119BHJP(有機高分子化合物;その製造または化学的加工;それに基づく組成物)
要約
【課題】光硬化性(メタ)アクリル基を有するオルガノポリシロキサン、及び前記オルガノポリシロキサンを含有し、優れた外観、透明性、耐擦傷性、密着性、撥水性、防汚性、及び耐候性を有する硬化膜を与える光硬化性コーティング組成物を提供する。
【解決手段】光硬化性(メタ)アクリル基含有オルガノポリシロキサンであって、下記一般式(1)で表されるものであることを特徴とするオルガノポリシロキサン。
<com:Image com:imageContentCategory="Drawing"> <com:ImageFormatCategory>TIFF</com:ImageFormatCategory> <com:FileName>2025173430000039.tif</com:FileName> <com:HeightMeasure com:measureUnitCode="Mm">29</com:HeightMeasure> <com:WidthMeasure com:measureUnitCode="Mm">158</com:WidthMeasure> </com:Image>
【選択図】図1
特許請求の範囲
【請求項1】
光硬化性(メタ)アクリル基含有オルガノポリシロキサンであって、下記一般式(1)で表されるものであることを特徴とするオルガノポリシロキサン。
TIFF
2025173430000033.tif
29
158
(式中、R
1
は互いに独立して炭素数1~4のアルキル基、及び炭素数6~10のアリール基から選ばれる基であり、R
2
は炭素数1~8のアルキル基であり、Xは分子鎖の途中に酸素原子及び窒素原子から選ばれる1種以上が介在していてもよい2~3価の飽和炭化水素基であり、Qは互いに独立して分子鎖の途中に酸素原子又は窒素原子が介在していてもよい(a+1)価の飽和炭化水素基であり、Zは互いに独立してアクリロイルオキシ基又はメタクリロイルオキシ基であり、a及びbは互いに独立して1又は2であるが、aとbとが同時に1であることはなく、bが1の時、aは2であり、bが2の時、aは1又は2であり、nは0~200の整数である。)
続きを表示(約 1,900 文字)
【請求項2】
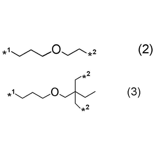
前記一般式(1)において、前記Xが下記式(2)又は下記式(3)で示される基であり、前記Qが下記式(4)、下記式(5)、及び下記式(6)のいずれかで示される基であることを特徴とする請求項1に記載のオルガノポリシロキサン。
TIFF
2025173430000034.tif
48
158
(式中、*
1
は前記一般式(1)のケイ素原子との結合手を表し、*
2
は前記一般式(1)のウレタン基中の酸素原子との結合手を表す。)
TIFF
2025173430000035.tif
58
158
(式中、*
5
は前記一般式(1)のZとの結合手を表し、*
6
は前記一般式(1)のウレタン基中の窒素原子との結合手を表す。)
【請求項3】
前記一般式(1)において、前記Xが前記式(2)で示される基であり、前記Qが前記式(6)で示される基であり、前記aが2であり、前記bが1であることを特徴とする請求項2に記載のオルガノポリシロキサン。
【請求項4】
前記一般式(1)において、前記Xが前記式(3)で示される基であり、前記Qが前記式(4)で示される基であり、前記aが1であり、前記bが2であることを特徴とする請求項2に記載のオルガノポリシロキサン。
【請求項5】
前記一般式(1)において、前記Xが前記式(3)で示される基であり、前記Qが前記式(6)で示される基であり、前記aが2であり、前記bが2であることを特徴とする請求項2に記載のオルガノポリシロキサン。
【請求項6】
光硬化性コーティング組成物であって、
(A)下記一般式(1)で表されるオルガノポリシロキサン、
(B)前記(A)成分以外の多官能(メタ)アクリレート化合物、及び
(C)光重合開始剤、
を含有し、前記組成物中の光硬化性反応基を有する化合物の総量に対する前記(A)成分の含有量が0.01~20質量%であることを特徴とする光硬化性コーティング組成物。
TIFF
2025173430000036.tif
29
158
(式中、R
1
は互いに独立して炭素数1~4のアルキル基、及び炭素数6~10のアリール基から選ばれる基であり、R
2
は炭素数1~8のアルキル基であり、Xは分子鎖の途中に酸素原子及び窒素原子から選ばれる1種以上が介在していてもよい2~3価の飽和炭化水素基であり、Qは互いに独立して分子鎖の途中に酸素原子又は窒素原子が介在していてもよい(a+1)価の飽和炭化水素基であり、Zは互いに独立してアクリロイルオキシ基又はメタクリロイルオキシ基であり、a及びbは互いに独立して1又は2であるが、aとbとが同時に1であることはなく、bが1の時、aは2であり、bが2の時、aは1又は2であり、nは0~200の整数である。)
【請求項7】
前記一般式(1)において、前記Xが下記式(2)又は下記式(3)で示される基であり、前記Qが下記式(4)、下記式(5)、及び下記式(6)のいずれかで示される基であることを特徴とする請求項6に記載の光硬化性コーティング組成物。
TIFF
2025173430000037.tif
48
158
(式中、*
1
は前記一般式(1)のケイ素原子との結合手を表し、*
2
は前記一般式(1)のウレタン基中の酸素原子との結合手を表す。)
TIFF
2025173430000038.tif
58
158
(式中、*
5
は前記一般式(1)のZとの結合手を表し、*
6
は前記一般式(1)のウレタン基中の窒素原子との結合手を表す。)
【請求項8】
さらに、(D)紫外線吸収剤を含有するものであることを特徴とする請求項6に記載の光硬化性コーティング組成物。
【請求項9】
前記(D)成分がヒドロキシフェニルトリアジン構造を有するものであることを特徴とする請求項8に記載の光硬化性コーティング組成物。
【請求項10】
前記(D)成分がヒドロキシフェニルトリアジン構造及び(メタ)アクリロイルオキシ基を有するものであることを特徴とする請求項9に記載の光硬化性コーティング組成物。
(【請求項11】以降は省略されています)
発明の詳細な説明
【技術分野】
【0001】
本発明は、オルガノポリシロキサン及び光硬化性コーティング組成物に関する。
続きを表示(約 2,100 文字)
【背景技術】
【0002】
近年、各種プラスチック(ポリカーボネート、ポリメチルメタクリレート、ポリスチレン、ポリエステル、ポリオレフィン、エポキシ樹脂、メラミン樹脂、トリアセチルセルロース樹脂、ABS樹脂、AS樹脂、ノルボルネン系樹脂等)、金属、木材等の各種基材表面の保護コ-ティング剤として、優れた塗工性、外観、透明性、耐擦傷性、表面滑り性、低カール性、密着性、および耐薬品性等を有し、かつ、耐候性に優れた硬化膜を形成し得る硬化性組成物が求められている。
また、比較的硬化時間が長く、多くのエネルギーを必要とする熱硬化型よりも、より低エネルギーで短時間硬化が可能な光硬化型の組成物で上記特性を満たすことが望まれている。
【0003】
一般的な光硬化性コーティング組成物としては、多官能(メタ)アクリレートを使用した光硬化性(メタ)アクリル組成物がよく知られている。光硬化性(メタ)アクリル組成物は、1種以上の多官能(メタ)アクリレートと光重合開始剤とを含み、多官能(メタ)アクリレート中の(メタ)アクリル基の光重合によって架橋して被膜を形成することで、優れた硬化性、耐擦傷性、硬度、および薬品耐性を発現する。
【0004】
これらの光硬化性(メタ)アクリルコーティング組成物に、撥水防汚性基としてのパーフルオロポリエーテル基と(メタ)アクリル基を有するフッ素系添加剤を配合することで、上記特性に加え、撥水防汚性を併せ持つコーティング(特許文献1、2)を得ることが可能である。また、フッ素系添加剤として、環状ポリシロキサンが2価のパーフルオロポリエーテル鎖により連結されている化合物(特許文献3)も知られている。
【0005】
近年、フッ素系添加剤を構成するパーフルオロアルキル化合物およびポリフルオロアルキル化合物(PFAS)は、難分解性かつ生物蓄積性が高いため、世界的にその一部の使用が規制されている。フッ素系添加剤の代替えとしてポリシロキサン系添加剤が提案されており、(メタ)アクリルコーティング組成物にポリシロキサン系添加剤を配合することで、平滑性、滑り性、撥水性、滑水性、および指紋や油性染料拭取り性を付与できることが知られている(特許文献4~9)。
【0006】
しかしながら、これらの例ではポリシロキサンの片末端、両末端、あるいは側鎖に(メタ)アクリロイル基を有する各種オルガノポリシロキサンが開示されているが、光硬化性(メタ)アクリルコーティング組成物中に配合しても、外観、透明性、耐擦傷性、密着性、撥水性、防汚性、および耐候性のすべてを満足するものはほとんど知られていない。
【先行技術文献】
【特許文献】
【0007】
特開2010-053114号公報
特開2010-138112号公報
特開2010-285501号公報
特開2010-121013号公報
特開2013-023547号公報
特開2015-196748号公報
国際公開第2015/152288号
国際公開第2018/181645号
国際公開第2018/181650号
【発明の概要】
【発明が解決しようとする課題】
【0008】
本発明は、上記事情に鑑みなされたもので、光硬化性(メタ)アクリル基を有するオルガノポリシロキサン、及び前記オルガノポリシロキサンを含有し、優れた外観、透明性、耐擦傷性、密着性、撥水性、防汚性、及び耐候性を有する硬化膜を与える光硬化性コーティング組成物を提供することを目的とする。
【課題を解決するための手段】
【0009】
上記課題を解決するために、本発明では、光硬化性(メタ)アクリル基含有オルガノポリシロキサンであって、下記一般式(1)で表されるものであるオルガノポリシロキサンを提供する。
TIFF
2025173430000002.tif
29
158
(式中、R
1
は互いに独立して炭素数1~4のアルキル基、及び炭素数6~10のアリール基から選ばれる基であり、R
2
は炭素数1~8のアルキル基であり、Xは分子鎖の途中に酸素原子及び窒素原子から選ばれる1種以上が介在していてもよい2~3価の飽和炭化水素基であり、Qは互いに独立して分子鎖の途中に酸素原子又は窒素原子が介在していてもよい(a+1)価の飽和炭化水素基であり、Zは互いに独立してアクリロイルオキシ基又はメタクリロイルオキシ基であり、a及びbは互いに独立して1又は2であるが、aとbとが同時に1であることはなく、bが1の時、aは2であり、bが2の時、aは1又は2であり、nは0~200の整数である。)
【0010】
このようなオルガノポリシロキサンであれば、片末端に複数の光硬化性(メタ)アクリル基を有するため、これを含む組成物から得られる硬化膜が、優れた外観、透明性、耐擦傷性、密着性、撥水性、防汚性、及び耐候性を有するものとなる。
(【0011】以降は省略されています)
この特許をJ-PlatPat(特許庁公式サイト)で参照する
関連特許
株式会社カネカ
断熱材
21日前
東ソー株式会社
ペレット
1か月前
ユニチカ株式会社
透明シート
3か月前
ユニチカ株式会社
透明シート
2か月前
株式会社コバヤシ
成形体
1か月前
東レ株式会社
熱硬化性樹脂組成物
3か月前
東ソー株式会社
ゴム用接着性改質剤
1か月前
東レ株式会社
ポリエステルフィルム
1か月前
丸住製紙株式会社
変性パルプ
2か月前
住友精化株式会社
吸水剤の製造方法
2か月前
東レ株式会社
ポリエステルフィルム
2か月前
東レ株式会社
引抜成形品の製造方法
3か月前
東ソー株式会社
プラスチゾル組成物
21日前
東ソー株式会社
樹脂組成物および蓋材
2か月前
東ソー株式会社
樹脂組成物および蓋材
2か月前
横浜ゴム株式会社
重荷重タイヤ
1か月前
東ソー株式会社
エチレン系重合用触媒
24日前
東レ株式会社
ポリプロピレンフィルム
1か月前
株式会社スリーボンド
硬化性樹脂組成物
1か月前
アイカ工業株式会社
光硬化性樹脂組成物
1か月前
UBE株式会社
衝撃吸収材
2か月前
日本特殊陶業株式会社
樹脂成形体
2か月前
三洋化成工業株式会社
熱成形用樹脂組成物
1か月前
株式会社カネカ
硬化性組成物
2か月前
住友ベークライト株式会社
ポリマー
1か月前
住友化学株式会社
樹脂組成物
1か月前
株式会社カネカ
シーリング材
1か月前
住友ベークライト株式会社
ポリマー
1か月前
株式会社カネカ
硬化性組成物
3か月前
ノリタケ株式会社
担体構造体
1か月前
日本特殊陶業株式会社
賦形体
9日前
東ソー株式会社
温度応答性ビーズの製造方法
2か月前
東レ株式会社
ポリエステル組成物の製造方法
2か月前
アキレス株式会社
燻蒸用生分解性樹脂シート
3か月前
伯東株式会社
ビニル化合物中の重合防止方法
3か月前
株式会社スリーボンド
湿気硬化型樹脂組成物
1か月前
続きを見る
他の特許を見る