TOP
|
特許
|
意匠
|
商標
特許ウォッチ
Twitter
他の特許を見る
10個以上の画像は省略されています。
公開番号
2025179421
公報種別
公開特許公報(A)
公開日
2025-12-10
出願番号
2024086155
出願日
2024-05-28
発明の名称
シリコーンエマルション組成物、及び剥離フィルム
出願人
信越化学工業株式会社
代理人
個人
,
個人
主分類
C08L
83/07 20060101AFI20251203BHJP(有機高分子化合物;その製造または化学的加工;それに基づく組成物)
要約
【課題】プラスチックフィルム基材に対して比較的低温かつ短時間で硬化し、安定的に密着性が高いシリコーンエマルション組成物、及び該シリコーンエマルション組成物の硬化皮膜が形成されてなる剥離フィルムを提供することを目的とする。
【解決手段】
1分子中にアルケニル基を少なくとも2個有するオルガノポリシロキサン(I)、Si原子に直接結合した水素原子を1分子中に少なくとも2個有するオルガノハイドロジェンポリシロキサン(II)、及びポリビニルアルコール(IV)を含む付加反応硬化型シリコーンエマルション組成物であって、該組成物中に含有される酢酸ナトリウム量が、前記オルガノポリシロキサン(I)及び前記オルガノハイドロジェンポリシロキサン(II)の合計質量に対し450ppm以下であることを特徴とする、前記付加反応硬化型シリコーンエマルション組成物。
【選択図】なし
特許請求の範囲
【請求項1】
1分子中にアルケニル基を少なくとも2個有するオルガノポリシロキサン(I)、Si原子に直接結合した水素原子を1分子中に少なくとも2個有するオルガノハイドロジェンポリシロキサン(II)、及びポリビニルアルコール(IV)を含む付加反応硬化型シリコーンエマルション組成物であって、該組成物中に含有される酢酸ナトリウム量が、前記オルガノポリシロキサン(I)及び前記オルガノハイドロジェンポリシロキサン(II)の合計質量に対し450ppm以下であることを特徴とする、前記付加反応硬化型シリコーンエマルション組成物。
続きを表示(約 2,300 文字)
【請求項2】
前記オルガノポリシロキサン(I)が下記一般式(I-1)で示されるオルガノポリシロキサンである、請求項1記載の付加反応硬化型シリコーンエマルション組成物
JPEG
2025179421000024.jpg
13
170
(式(I-1)中、R
1
は、互いに独立に、非置換若しくは置換の、脂肪族不飽和結合を有さない、炭素数1~20の1価炭化水素基、及び、酸素原子が介在してもよい炭素数2~12のアルケニル基から選択される基であり、該オルガノポリシロキサンが有するR
1
のうち少なくとも2個はアルケニル基であり、R
2
は、互いに独立に、非置換若しくは置換の、脂肪族不飽和結合を有さない炭素数1~20の1価炭化水素基、酸素原子が介在してもよい炭素数2~12のアルケニル基、水酸基、及びアルコキシ基から選択される基であり、p、q、r、及びsは、2≦p≦100であり、0≦q≦30,000であり、0≦rであり、0≦sであり、かつ、0≦r+s≦200を満たす数である)。
【請求項3】
前記ポリビニルアルコールの量が、前記オルガノポリシロキサン(I)及び前記オルガノハイドロジェンポリシロキサン(II)の合計100質量部に対し1~30質量部である、請求項1記載の付加反応硬化型シリコーンエマルション組成物。
【請求項4】
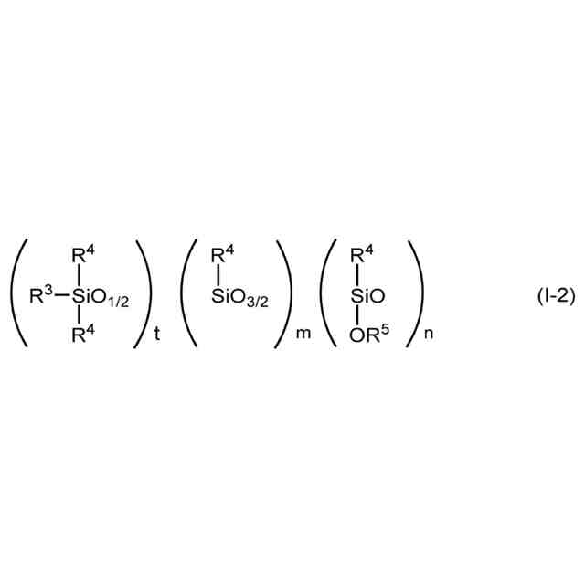
前記オルガノポリシロキサン(I)100質量部のうち15質量部以上が下記平均組成式(I-2):
JPEG
2025179421000025.jpg
29
170
(式(I-2)中、R
3
は、互いに独立に、酸素原子が介在してもよい炭素数2~12のアルケニル基であり、R
4
は、互いに独立に、非置換若しくは置換の、脂肪族不飽和結合を有さない炭素数1~20の1価炭化水素基であり、R
5
は、互いに独立に、水素原子又はアルキル基であり、tは2以上の正数であり、mは正数であり、nは0又は正数であり、(m+n)/t=0.6~1.5、及び0≦n/(m+n)≦0.05を満たし、かつ、t、m、及びnは該オルガノポリシロキサンの25℃における粘度が5~200mPa・sとなる数である)
で示されるオルガノポリシロキサンである、請求項2記載の付加反応硬化型シリコーンエマルション組成物。
【請求項5】
下記(I)~(VI)で示される成分を含有する、請求項1記載の付加反応硬化型シリコーンエマルション組成物
(I)下記一般式(I-1)で示されるオルガノポリシロキサン:100質量部
JPEG
2025179421000026.jpg
13
170
(式(I-1)中、R
1
は、互いに独立に、非置換若しくは置換の、脂肪族不飽和結合を有さない、炭素数1~20の1価炭化水素基、及び、酸素原子が介在してもよい炭素数2~12のアルケニル基から選択される基であり、該オルガノポリシロキサンが有するR
1
のうち少なくとも2個はアルケニル基であり、R
2
は、互いに独立に、非置換若しくは置換の、脂肪族不飽和結合を有さない炭素数1~20の1価炭化水素基、酸素原子が介在してもよい炭素数2~12のアルケニル基、水酸基、及びアルコキシ基から選択される基であり、p、q、r、及びsは、2≦p≦100であり、0≦q≦30,000であり、0≦rであり、0≦sであり、かつ、0≦r+s≦200を満たす数である)、
(II)Si原子に直接結合した水素原子を1分子中に少なくとも2個有するオルガノハイドロジェンポリシロキサン:1~60質量部、
(III)界面活性剤:前記オルガノポリシロキサン(I)及び前記オルガノハイドロジェンポリシロキサン(II)の合計100質量部に対し0.1~20質量部、
(IV)ポリビニルアルコール:前記オルガノポリシロキサン(I)及び前記オルガノハイドロジェンポリシロキサン(II)の合計100質量部に対し1~30質量部、
(V)触媒量の白金族金属系触媒、及び
(VI)水:100~10000質量部。
【請求項6】
前記オルガノポリシロキサン(I)100質量部のうち15質量部以上が下記平均組成式(I-2):
JPEG
2025179421000027.jpg
29
170
(式(I-2)中、R
3
は、互いに独立に、酸素原子が介在してもよい炭素数2~12のアルケニル基であり、R
4
は、互いに独立に、非置換若しくは置換の、脂肪族不飽和結合を有さない炭素数1~20の1価炭化水素基であり、R
5
は、互いに独立に、水素原子又はアルキル基であり、tは2以上の正数であり、mは正数であり、nは0又は正数であり、(m+n)/t=0.6~1.5、及び0≦n/(m+n)≦0.05を満たし、かつ、t、m、及びnは該オルガノポリシロキサンの25℃における粘度が5~200mPa・sとなる数である)
で示されるオルガノポリシロキサンである、請求項5記載の付加反応硬化型シリコーンエマルション組成物。
【請求項7】
プラスチックフィルムと、請求項1~6のいずれか1項記載の付加反応硬化型シリコーンエマルション組成物の硬化皮膜とを有する、剥離フィルム。
発明の詳細な説明
【技術分野】
【0001】
本発明は、プラスチックフィルム基材に密着良好な付加反応硬化型シリコーンエマルション組成物及びこれを用いた剥離フィルムに関する。
続きを表示(約 2,200 文字)
【背景技術】
【0002】
従来、紙、プラスチックなどの基材に使用される剥離紙用シリコーン組成物としてはいろいろなものが知られており、そのうち溶剤型シリコーンは剥離特性の面や比較的多くの基材に使用可能であることから広く使用されてきた。
【0003】
しかし、近年、環境汚染、安全、衛生等の面から溶剤の使用量を削減したり、使用した溶剤を回収したりして外部に排出しない等の対策が必要となっている。このうち溶剤使用量の削減方法としては、無溶剤型シリコーンの使用が有効であるが、これらを紙、ラミネート紙、プラスチックフィルム基材上に0.1~1.0g/m
2
の膜厚で均一に塗工するには、高価な塗工装置と技術が必要であり、溶剤型から無溶剤型シリコーンへの変更は、一般的には容易に採用できる方法ではない。
【0004】
溶剤使用量を削減する他の有効な方法としてエマルション型シリコーンの使用が挙げられる。この種のシリコーンは従来から利用されており、オルガノビニルポリシロキサン、白金化合物、乳化剤及び水からなるエマルションとオルガノハイドロジェンポリシロキサン、乳化剤及び水からなるエマルションを混合したもの、乳化重合により製造されるもの、特定の乳化剤を用いてオルガノビニルシロキサン、オルガノハイドロジェンを乳化したものに白金化合物のエマルションを混合するものなどが知られている。これらは水で任意に希釈可能であることから、無溶剤型のように薄膜塗工のための高価な塗工装置や技術は必要なく、使い勝手も溶剤型に近いという長所がある。
【0005】
しかし、エマルション型シリコーンは分散媒が水であることによる欠点から、現状ではあまり普及が進んでいない。欠点の一つには、水の蒸発潜熱が大きいため高温キュアーが必要で、溶剤型や無溶剤型に比べるとキュアー性が悪いことが挙げられる。もう一つには、水の表面張力が大きいため、基材に対する濡れ性に劣り密着性が悪いことが挙げられる。これらの欠点は、とりわけプラスチックフィルム基材に対しては重大な問題となり、殆ど利用されていない原因と言える。
【0006】
これらの問題を解決するために多くの改良が提案されており、例えば、分子末端にアルケニル基をもつオルガノポリシロキサンを用いるもの、非シリコーン系ポリマーからなるエマルションを配合するものなどが挙げられる。しかし、これらは紙基材を対象とした改良が多く、プラスチックフィルム基材に塗工した場合に十分な密着性は得られない。また、シランカップリング剤を用いて、密着性を改善させる方法も報告されている。グリシドキシシランを用いることによって、7日後の移行が少なく再接着率が高いフィルムを与えるが、主にインライン塗工を対象としている。
【0007】
特開2014-233913号公報(特許文献1)には、シランカップリング剤を含有する塗液を用いて形成された下塗り層によって密着性を向上させる方法が記載されているが、下塗り層を形成後に延伸を行うため工程数が増える。特開2006-348260号公報(特許文献2)には、エポキシシクロヘキシル基を含むシランを用いる方法が記載されているが、これも主にインライン塗工を対象としている。特表2017-504674号公報(特許文献3)には、少なくとも1つのアルケニル基と少なくとも1つのシラノール基を含む液体ポリオルガノシロキサンと少なくとも1つのエポキシド基を含む加水分解性シランとの反応生成物をアンカー添加剤として用い、耐擦性を向上させる方法が記載されているが、具体的な剥離力は示されていない。
【0008】
特開2020-070311号公報(特許文献4)には、無水コハク酸基、4級アンモニウム基及びウレイド基のうち少なくとも1つを有する水溶性シランカップリング剤を含む付加反応硬化型シリコーンエマルジョン組成物が記載されている。特開2003-192896号公報(特許文献5)には、密着性を改善させるために、ベースポリマーにRSiO
3/2
単位を含有した分岐構造を持たせたシリコーンエマルジョン組成物が記載されている。
【先行技術文献】
【特許文献】
【0009】
特開2014-233913号公報
特開2006-348260号公報
特表2017-504674号公報
特開2020-070311号公報
特開2003-192896号公報
【発明の概要】
【発明が解決しようとする課題】
【0010】
しかし、特許文献4記載のシリコーンエマルジョン組成物では、短時間で硬化させる際に実質150℃程度の硬化温度が必要である。また、特許文献5記載のシリコーンエマルジョン組成物は、各種プラスチック基材に密着するものの、実質120℃以上の硬化温度が必要である。従って、より低温かつ短時間で硬化可能であるシリコーンエマルション剥離剤が求められている。さらに、特許文献5記載の方法で得られたシリコーン硬化物は、密着の程度にばらつきがあり、安定して良好に密着するシリコーンエマルション剥離剤が必要であった。
(【0011】以降は省略されています)
この特許をJ-PlatPat(特許庁公式サイト)で参照する
関連特許
信越化学工業株式会社
硬化性組成物
1日前
信越化学工業株式会社
パターン形成方法
今日
信越化学工業株式会社
フォトマスクブランク
今日
信越化学工業株式会社
コーティング剤組成物
13日前
信越化学工業株式会社
金属含有膜パターンの形成方法
今日
信越化学工業株式会社
セルロースエーテルの製造方法
6日前
信越化学工業株式会社
希土類焼結磁石及びその製造方法
1日前
信越化学工業株式会社
縮合硬化型熱伝導性シリコーン組成物
13日前
信越化学工業株式会社
磁気冷凍材料の製造方法及び磁気冷凍材料
7日前
信越化学工業株式会社
第四級アンモニウム修飾シリカ分散液の製造方法
6日前
信越化学工業株式会社
低置換度ヒドロキシプロピルセルロースの製造方法
6日前
信越化学工業株式会社
シリコーンエマルション組成物、及び剥離フィルム
1日前
信越化学工業株式会社
生体電極組成物、生体電極、及び生体電極の製造方法
13日前
信越化学工業株式会社
フォトマスクブランク、及びフォトマスクの製造方法
13日前
信越化学工業株式会社
低置換度ヒドロキシプロピルセルロース及びその製造方法
6日前
信越化学工業株式会社
オニウム塩、化学増幅レジスト組成物及びパターン形成方法
今日
信越化学工業株式会社
付加硬化型シリコーン組成物、その硬化物、及び光半導体装置
13日前
信越化学工業株式会社
付加硬化型シリコーン組成物、その硬化物、及び光半導体装置
6日前
信越化学工業株式会社
化学増幅ポジ型レジスト組成物及びレジストパターン形成方法
13日前
信越化学工業株式会社
エポキシ樹脂組成物、エポキシ樹脂硬化物、及びエポキシ接着剤
1日前
信越化学工業株式会社
深共晶液体、生体電極組成物、生体電極、及び生体電極の製造方法
8日前
信越化学工業株式会社
モノマー、ポリマー、化学増幅レジスト組成物及びパターン形成方法
6日前
信越化学工業株式会社
ヒドロキシプロピルメチルセルロースアセテートサクシネートの製造方法
13日前
信越化学工業株式会社
金属含有膜形成用化合物、金属含有膜形成用組成物、及びパターン形成方法
7日前
信越化学工業株式会社
ヒドロキシプロピルメチルセルロースアセテートサクシネート及びその製造方法
13日前
信越化学工業株式会社
オニウム塩型モノマー、ポリマー、化学増幅レジスト組成物及びパターン形成方法
7日前
信越化学工業株式会社
スルホニウム塩型モノマー、ポリマー、化学増幅レジスト組成物及びパターン形成方法
今日
信越化学工業株式会社
第四級アンモニウム修飾シリカ分散液及び第四級アンモニウム修飾シリカ分散液の製造方法
6日前
信越化学工業株式会社
常磁性ガーネット型透明セラミックス、その製造方法、磁気光学材料、及び磁気光学デバイス
6日前
信越化学工業株式会社
ネガ型感光性樹脂組成物、パターン形成方法、硬化被膜形成方法、層間絶縁膜、表面保護膜、及び電子部品
13日前
信越化学工業株式会社
下地基板及び単結晶ダイヤモンド積層基板並びにそれらの製造方法
10日前
信越化学工業株式会社
ヒドロキシプロピルメチルセルロース酢酸エステルコハク酸エステル及びヒドロキシプロピルメチルセルロース酢酸エステルコハク酸エステルの製造方法
6日前
株式会社カネカ
断熱材
1か月前
ユニチカ株式会社
シート
今日
東ソー株式会社
ペレット
1か月前
ユニチカ株式会社
透明シート
3か月前
続きを見る
他の特許を見る