TOP
|
特許
|
意匠
|
商標
特許ウォッチ
Twitter
他の特許を見る
公開番号
2025171306
公報種別
公開特許公報(A)
公開日
2025-11-20
出願番号
2024076507
出願日
2024-05-09
発明の名称
信号処理装置、信号処理システムおよび信号処理方法
出願人
株式会社島津製作所
代理人
弁理士法人深見特許事務所
主分類
G01N
27/62 20210101AFI20251113BHJP(測定;試験)
要約
【課題】サンプル毎のフィルタ設計を行なわずに、S/N比を向上する信号処理装置を提供する。
【解決手段】信号処理装置は、分析装置を用いて取得された1つ以上の分析データを信号処理してスペクトルを生成する。信号処理装置は、1つ以上の分析データを格納するメモリと、1つ以上の分析データを信号処理するプロセッサとを備える。1つ以上の分析データの各々は、複数のデータ点を含む。信号処理装置は、複数のデータ点の各々に対し、第1個数のデータ点の移動平均である、第1移動平均を取り、第1個数より大きい第2個数のデータ点の移動平均である、第2移動平均を取り、第2移動平均と第1移動平均との差分を算出し、差分が所定の閾値より高い場合、シグナルと判定する。信号処理装置は、1つ以上の分析データの各々に対し、シグナルと判定されたデータ点を含む第1スペクトルを生成する。
【選択図】図2
特許請求の範囲
【請求項1】
分析装置を用いて取得された1つ以上の分析データを信号処理してスペクトルを生成する信号処理装置であって、
前記信号処理装置は、前記1つ以上の分析データを格納するメモリと、前記1つ以上の分析データを信号処理するプロセッサとを備え、
前記1つ以上の分析データの各々は、複数のデータ点を含み、
前記信号処理装置は、前記複数のデータ点の各々に対し、
第1個数のデータ点の移動平均である、第1移動平均を取り、
前記第1個数より大きい第2個数のデータ点の移動平均である、第2移動平均を取り、
前記第2移動平均と前記第1移動平均との差分を算出し、
前記差分が所定の閾値より高い場合、シグナルと判定し、
前記信号処理装置は、前記1つ以上の分析データの各々に対し、前記シグナルと判定されたデータ点を含む第1スペクトルを生成する、信号処理装置。
続きを表示(約 970 文字)
【請求項2】
前記1つ以上の分析データは、複数の分析データを含み、
前記複数の分析データは、同一サンプルに対して複数回の分析を行なうことにより取得された複数の分析データであって、
前記信号処理装置は、
前記複数の分析データのうち前記シグナルと判定されたデータ点を積算することにより、第2スペクトルを生成する、請求項1に記載の信号処理装置。
【請求項3】
前記所定の閾値は、前記複数のデータ点のうち、分析開始後の所定個数のデータ点の平均値と、前記所定個数のデータ点の標準偏差とに基づいて、算出される、請求項1または2に記載の信号処理装置。
【請求項4】
前記第2個数は、前記第1個数の2倍以上、20倍以下の個数である、請求項1または2に記載の信号処理装置。
【請求項5】
前記分析装置は、TOF-MS(Time-of-Flight Mass Spectrometer)を含む、請求項1または2に記載の信号処理装置。
【請求項6】
前記分析装置は、TOF-MS以外の質量分析装置、クロマトグラフ、および/または、分光器を含む、請求項1または2に記載の信号処理装置。
【請求項7】
前記分析装置と、請求項1または2に記載の信号処理装置とを備える、信号処理システム。
【請求項8】
分析装置を用いて取得された1つ以上の分析データを信号処理してスペクトルを生成する信号処理方法であって、
前記1つ以上の分析データの各々は、複数のデータ点を含み、
前記信号処理方法は、前記複数のデータ点の各々に対し、
第1個数のデータ点の移動平均である、第1移動平均を取るステップと、
前記第1個数より大きい第2個数のデータ点の移動平均である、第2移動平均を取るステップと、
前記第2移動平均と前記第1移動平均との差分を算出するステップと、
前記差分が所定の閾値より高い場合、シグナルと判定するステップとを備え、
前記信号処理方法は、前記1つ以上の分析データの各々に対し、前記シグナルと判定されたデータ点を含むスペクトルを生成するステップとをさらに備える、信号処理方法。
発明の詳細な説明
【技術分野】
【0001】
本開示は、信号処理装置、信号処理システムおよび信号処理方法に関し、より特定的には、分析データを信号処理してスペクトルを生成する技術に関する。
続きを表示(約 1,800 文字)
【背景技術】
【0002】
分析装置を用いて取得された分析データからスペクトルを生成する信号処理装置においては、S/N比の向上が望まれている。非特許文献1には、TOF-MS(Time-of-Flight Mass Spectrometer)から得られた信号に対し、様々なフィルタを適用した結果が開示されている。
【先行技術文献】
【非特許文献】
【0003】
"Resampling and deconvolution of linear time-of-flight records for enhanced protein profiling", Malyarenko, Rapid Commun Mass Spectrom, 20(11), 1670-1678, 2006, doi: 10.1002/rcm.2496
【発明の概要】
【発明が解決しようとする課題】
【0004】
しかしながら、分析データから適切にノイズを除去するためには、適切なフィルタ設計を行なう必要がある。たとえば、TOF-MSにおいては、ノイズ特性が検出対象イオンの価数および/または質量により異なる可能性がある。したがって、フィルタ設計のためには、本分析と同じ条件下でプレ分析を行ない、当該プレ分析の結果を基にフィルタ係数を算出する必要があり、ユーザにとって手間であった。
【0005】
本開示は、このような課題を解決するためになされたものであり、サンプル毎のフィルタ設計を行なわずに、S/N比を向上する信号処理装置を提供することを目的とする。
【課題を解決するための手段】
【0006】
本開示の一態様に係る信号処理装置は、分析装置を用いて取得された1つ以上の分析データを信号処理してスペクトルを生成する。信号処理装置は、1つ以上の分析データを格納するメモリと、1つ以上の分析データを信号処理するプロセッサとを備える。1つ以上の分析データの各々は、複数のデータ点を含む。信号処理装置は、複数のデータ点の各々に対し、第1個数のデータ点の移動平均である、第1移動平均を取り、第1個数より大きい第2個数のデータ点の移動平均である、第2移動平均を取り、第2移動平均と第1移動平均との差分を算出し、差分が所定の閾値より高い場合、シグナルと判定する。信号処理装置は、1つ以上の分析データの各々に対し、シグナルと判定されたデータ点を含む第1スペクトルを生成する。
【0007】
本開示の他の態様に係る信号処理方法は、分析装置を用いて取得された1つ以上の分析データを信号処理してスペクトルを生成する。1つ以上の分析データの各々は、複数のデータ点を含む。信号処理方法は、複数のデータ点の各々に対し、第1個数のデータ点の移動平均である、第1移動平均を取るステップと、第1個数より大きい第2個数のデータ点の移動平均である、第2移動平均を取るステップと、第2移動平均と第1移動平均との差分を算出するステップと、差分が所定の閾値より高い場合、シグナルと判定するステップとを備える。信号処理方法は、1つ以上の分析データの各々に対し、シグナルと判定されたデータ点を含むスペクトルを生成するステップとをさらに備える。
【発明の効果】
【0008】
本開示によれば、サンプル毎のフィルタ設計を行なわずに、S/N比を向上する信号処理装置を提供することができる。
【図面の簡単な説明】
【0009】
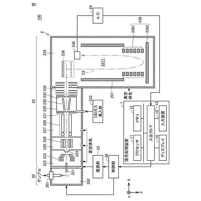
実施形態に係る信号処理システムの概略構成図である。
実施形態1に係る信号処理を示すフローチャートである。
実施形態2に係る信号処理を示すフローチャートである。
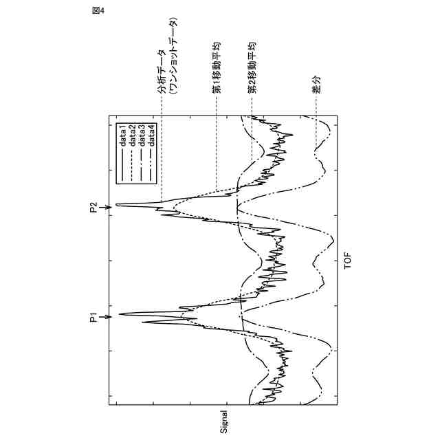
実施例における移動平均の差分を示す図である。
実施例における第1スペクトルを示す図である。
実施例における第2スペクトルを示す図である。
【発明を実施するための形態】
【0010】
以下、本開示の実施の形態について、図面を参照しながら詳細に説明する。なお、図中同一または相当部分には同一符号を付してその説明は繰り返さない。
(【0011】以降は省略されています)
この特許をJ-PlatPat(特許庁公式サイト)で参照する
関連特許
株式会社島津製作所
脱脂装置
1か月前
株式会社島津製作所
X線撮影装置
14日前
株式会社島津製作所
配管接続構造
24日前
株式会社島津製作所
データ処理装置
22日前
株式会社島津製作所
分析システムおよび分析装置
16日前
株式会社島津製作所
分析環境の提供を仲介する方法
1か月前
株式会社島津製作所
波形解析方法及び波形解析装置
13日前
株式会社島津製作所
波形解析方法及び波形解析装置
13日前
株式会社島津製作所
データ管理装置およびデータ管理方法
今日
株式会社島津製作所
データ管理装置およびデータ管理方法
今日
株式会社島津製作所
質量分析データ処理方法及び質量分析装置
今日
株式会社島津製作所
化合物の化学構造を推定するための解析方法
1か月前
株式会社島津製作所
定量方法、解析システム、およびプログラム
1か月前
株式会社島津製作所
蛍光X線分析装置およびそれに用いられる電源装置
27日前
株式会社島津製作所
信号処理装置、信号処理システムおよび信号処理方法
今日
株式会社島津製作所
データ処理方法、情報処理装置、クロマトグラフ質量分析装置、およびプログラム
16日前
京セラドキュメントソリューションズ株式会社
非磁性一成分トナー及び画像形成装置
1か月前
京セラドキュメントソリューションズ株式会社
非磁性一成分トナー及び画像形成装置
1か月前
日本精機株式会社
検出装置
15日前
個人
採尿及び採便具
21日前
個人
高精度同時多点測定装置
1か月前
個人
計量機能付き容器
10日前
甲神電機株式会社
電流検出装置
15日前
株式会社カクマル
境界杭
今日
株式会社ミツトヨ
測定器
27日前
アズビル株式会社
電磁流量計
1か月前
大成建設株式会社
風洞実験装置
10日前
愛知電機株式会社
軸部材の外観検査装置
24日前
大和製衡株式会社
組合せ計量装置
24日前
双庸電子株式会社
誤配線検査装置
16日前
日本特殊陶業株式会社
ガスセンサ
8日前
大和製衡株式会社
組合せ計量装置
24日前
個人
非接触による電磁パルスの測定方法
13日前
個人
計量具及び計量機能付き容器
10日前
愛知時計電機株式会社
ガスメータ
27日前
個人
システム、装置及び実験方法
1か月前
続きを見る
他の特許を見る