TOP
|
特許
|
意匠
|
商標
特許ウォッチ
Twitter
他の特許を見る
10個以上の画像は省略されています。
公開番号
2025165257
公報種別
公開特許公報(A)
公開日
2025-11-04
出願番号
2024069261
出願日
2024-04-22
発明の名称
データ処理方法、情報処理装置、クロマトグラフ質量分析装置、およびプログラム
出願人
株式会社島津製作所
代理人
弁理士法人深見特許事務所
主分類
G01N
27/62 20210101AFI20251027BHJP(測定;試験)
要約
【課題】目的成分を含まない標準試料の測定結果を利用して、対象の試料中の目的成分の測定値を補正すること。
【解決手段】データ処理方法は、対象試料の目的成分の測定値を、標準試料に含まれる基準成分の測定値に基づいて補正する。当該方法は、対象試料を分析して得られたクロマトグラムから目的成分の特徴量および目的成分の測定値を取得するステップS12と、標準試料を分析して得られたクロマトグラムから、基準成分の特徴量および測定値を取得するステップS14と、目的成分の特徴量、基準成分の特徴量、基準成分の測定値に基づいて、目的成分の測定値を補正するステップS16と、を含む。
【選択図】図10
特許請求の範囲
【請求項1】
質量分析計またはクロマトグラフ質量分析計を備えた分析装置により取得された対象試料中の目的成分の測定値を、第1の基準成分および第2の基準成分を含む標準試料を用いて補正するデータ処理方法であって、
前記目的成分、前記第1の基準成分、および前記第2の基準成分について、
各成分の測定値は、対応する成分の量に関連する値であって、
各成分の特徴量は、対応する成分の保持時間および/または質量対電荷比であり、
前記データ処理方法は、
前記対象試料を第1のタイミングに第1の分析条件で分析し得られたクロマトグラムから、前記目的成分の特徴量および前記目的成分の測定値を取得するステップと、
第2のタイミングに前記第1の分析条件で前記標準試料を分析して得られたクロマトグラムおよび、第3のタイミングに第2の分析条件で前記標準試料を分析して得られたクロマトグラムから、前記第1の基準成分の特徴量、前記第2の基準成分の特徴量、各々のタイミングにおける前記第1の基準成分の測定値、および各々のタイミングにおける前記第2の基準成分の測定値を取得するステップと、
前記目的成分の特徴量、前記第1の基準成分の特徴量、前記第2の基準成分の特徴量、各々のタイミングにおける前記第1の基準成分の測定値、および各々のタイミングにおける前記第2の基準成分の測定値に基づいて、前記目的成分の測定値を補正するステップと、を含むデータ処理方法。
続きを表示(約 2,300 文字)
【請求項2】
前記補正するステップは、
前記目的成分の特徴量および前記第1の基準成分の特徴量を用いて、前記第1の基準成分の影響度を算出するステップと、
前記目的成分の特徴量および前記第2の基準成分の特徴量を用いて、前記第2の基準成分の影響度を算出するステップと、
各々のタイミングにおける前記第1の基準成分の測定値、各々のタイミングにおける前記第2の基準成分の測定値、ならびに前記第1の基準成分の影響度、および前記第2の基準成分の影響度に基づいて、前記目的成分の補正係数を算出するステップと、
前記補正係数を前記目的成分の測定値に乗ずるステップと、を含む請求項1に記載のデータ処理方法。
【請求項3】
前記第2の分析条件は、前記第1の分析条件と同じである、請求項1または請求項2に記載のデータ処理方法。
【請求項4】
前記目的成分の特徴量、前記第1の基準成分の特徴量、および前記第2の基準成分の特徴量は、対応する成分の保持時間、質量対電荷比、およびプロダクトイオンの質量対電荷比のうち、少なくともいずれか1つを含む、請求項1または請求項2に記載のデータ処理方法。
【請求項5】
前記目的成分の測定値、前記第1の基準成分の測定値、および前記第2の基準成分の測定値は、対応する成分のクロマトグラムにおけるピーク面積およびピーク強度の少なくともいずれか1つに基づいて算出される、請求項1または請求項2に記載のデータ処理方法。
【請求項6】
前記第1の基準成分の影響度を算出するステップおよび前記第2の基準成分の影響度を算出するステップの各々は、多次元ガウス分布および多次元コーシー分布関数のうち、少なくともいずれか1つを用いて対応する前記影響度を決定する、請求項2に記載のデータ処理方法。
【請求項7】
前記第1の基準成分の影響度を算出するステップおよび前記第2の基準成分の影響度を算出するステップの各々は、前記目的成分および対応する前記基準成分の特徴量の差分が小さいほど、対応する前記影響度が大きくなる、請求項2に記載のデータ処理方法。
【請求項8】
前記第1の基準成分の影響度を算出するステップおよび前記第2の基準成分の影響度を算出するステップの各々は、前記目的成分の保持時間をRT
T
とし、対応する前記基準成分の保持時間をRT
Q
とし、前記目的成分の質量対電荷比をmz1
T
とし、対応する前記基準成分の質量対電荷比をmz1
Q
とし、前記目的成分のプロダクトイオンの質量対電荷比をmz2
T
とし、対応する前記基準成分のプロダクトイオンの質量対電荷比をmz2
Q
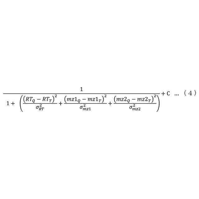
とし、σRT、σmz1、σmz2およびCを所定の数とした場合に、式(1)にて対応する前記影響度を算出する、請求項2に記載のデータ処理方法。
TIFF
2025165257000006.tif
16
139
【請求項9】
前記第1の基準成分の影響度を算出するステップおよび前記第2の基準成分の影響度を算出するステップの各々は、前記目的成分の保持時間をRT
T
とし、対応する前記基準成分の保持時間をRT
Q
とし、前記目的成分の質量対電荷比をmz1
T
とし、対応する前記基準成分の質量対電荷比をmz1
Q
とし、前記目的成分のプロダクトイオンの質量対電荷比をmz2
T
とし、対応する前記基準成分のプロダクトイオンの質量対電荷比をmz2
Q
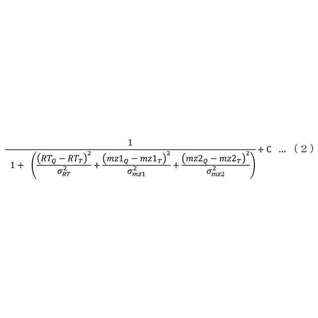
とし、σRT、σmz1、σmz2、およびCを所定の数とした場合に、式(2)にて対応する前記影響度を算出する、請求項2に記載のデータ処理方法。
TIFF
2025165257000007.tif
18
126
【請求項10】
少なくとも1つ以上のプロセッサと、
前記1つ以上のプロセッサにアクセス可能なメモリと、を備え、
前記メモリは、前記プロセッサによって実行される1つ以上の命令を格納し、
前記プロセッサは、前記1つ以上の命令を実行することにより、
目的成分を含む対象試料を第1のタイミングに第1の分析条件で分析し得られたクロマトグラムから、前記目的成分の特徴量および前記目的成分の測定値を取得し、
第2のタイミングに前記第1の分析条件で第1の基準成分および第2の基準成分を含む標準試料を分析して得られたクロマトグラムおよび、第3のタイミングに第2の分析条件で前記標準試料を分析して得られたクロマトグラムから、前記第1の基準成分の特徴量、前記第2の基準成分の特徴量、各々のタイミングにおける前記第1の基準成分の測定値、および各々のタイミングにおける前記第2の基準成分の測定値を取得し、
前記目的成分の特徴量、前記第1の基準成分の特徴量、前記第2の基準成分の特徴量、各々のタイミングにおける前記第1の基準成分の測定値、および各々のタイミングにおける前記第2の基準成分の測定値に基づいて、前記目的成分の測定値を補正し、
前記目的成分、前記第1の基準成分、および前記第2の基準成分について、
各成分の測定値は、対応する成分の量に関連する値であって、
各成分の特徴量は、対応する成分の保持時間および/または質量対電荷比である、情報処理装置。
(【請求項11】以降は省略されています)
発明の詳細な説明
【技術分野】
【0001】
本開示は、データ処理方法、情報処理装置、クロマトグラフ質量分析装置、およびプログラムに関し、より特定的には、分析装置により取得された測定値を補正するためのデータ処理に関する。
続きを表示(約 3,600 文字)
【背景技術】
【0002】
分析装置により得られる測定値は、分析条件のみならず、分析時の分析装置の状態に影響を受ける場合がある。たとえば、クロマトグラフ質量分析装置において、質量分析部の汚れが測定感度に影響を与える場合がある。したがって、同一の試料を同一の分析条件において測定した場合であっても、質量分析部の洗浄の前後では、得られる測定値が異なる場合がある。すなわち、分析装置により得られた測定値は、分析されたタイミングが異なることに起因する誤差を含む。
【0003】
当該誤差を補正する方法として、Dunn, Warwick B., et al. "Procedures for large-scale metabolic profiling of serum and plasma using gas chromatography and liquid chromatography coupled to mass spectrometry." Nature protocols 6.7 (2011): 1060-1083.(非特許文献1)は、全ての試料を同量混合したpooled QCの測定値に基づいて、試料の測定値を補正する技術を開示している。非特許文献1では、試料の分析の合間にpooled QCを分析する。分析後にpooled QCの測定値のみでLOESS平滑化を行い、近似曲線を算出する。算出された近似曲線に基づいて、各試料の測定値を補正する。この方法は、QC-based robust LOESS signal correction(QC-RLSC)法と呼ばれる。pooled QCは、標準試料の一種である。
【0004】
pooled QCは、全ての試料を同量ずつ混合させて作成される。全ての試料を同量ずつ混合させることにより、pooled QCが含む各々の成分量は、各々の成分量の全試料の平均となる。pooled QCの測定値は、試料の測定値の平均値に近づくので、pooled QCの測定値が試料の測定値と極端に異なることを防ぐことができる。また、全ての試料を混合してpooled QCを作成することで、少なくともいずれか1つの試料に含まれる成分は、pooled QCに含まれる。したがって、補正の対象となる成分が測定の開始時に未知であっても、当該成分の測定値について測定後に補正処理を実行することができる。
【先行技術文献】
【非特許文献】
【0005】
Dunn, Warwick B., et al. "Procedures for large-scale metabolic profiling of serum and plasma using gas chromatography and liquid chromatography coupled to mass spectrometry." Nature protocols 6.7 (2011): 1060-1083.
【発明の概要】
【発明が解決しようとする課題】
【0006】
非特許文献1において開示された方法のように、予め標準試料を用意し、当該標準試料を分析して得られた測定値に基づいて、試料の測定値を補正する場合には、補正の対象となる成分が当該標準試料に含まれている必要がある。しかしながら、たとえば、標準試料を用意した後に、新たに測定の対象となる試料が追加された場合に、標準試料に含まれない成分が当該試料に含まれる場合がある。このような場合において、当該成分の測定値を補正するためには、ユーザは新たに当該成分を含む標準試料を用意する必要がある。ユーザにおいて新たな標準試料を用意する必要が生じることから、測定コストが増大する場合がある。
【0007】
本開示は、このような事情を鑑みてなされたものであり、その目的は、標準試料に含まれない所定の成分の測定値を補正する場合において、標準試料の分析により得られた結果を利用して、対象の試料中の所定の成分の測定値を補正することである。
【課題を解決するための手段】
【0008】
本開示の第1の態様に従うデータ処理方法は、質量分析計またはクロマトグラフ質量分析計を備えた分析装置により取得された対象試料中の目的成分の測定値を、第1の基準成分および第2の基準成分を含む標準試料を用いて補正するデータ処理方法である。目的成分、第1の基準成分、および第2の基準成分について、各成分の測定値は、対応する成分の量に関連する値であって、各成分の特徴量は、対応する成分の保持時間および/または質量対電荷比である。当該データ処理方法は、(1)対象試料を第1のタイミングに第1の分析条件で分析し得られたクロマトグラムから、目的成分の特徴量および目的成分の測定値を取得するステップと、(2)第2のタイミングに第1の分析条件で標準試料を分析して得られたクロマトグラムおよび、第3のタイミングに第2の分析条件で標準試料を分析して得られたクロマトグラムから、第1の基準成分の特徴量、第2の基準成分の特徴量、各々のタイミングにおける第1の基準成分の測定値、および各々のタイミングにおける第2の基準成分の測定値を取得するステップと、(3)目的成分の特徴量、第1の基準成分の特徴量、第2の基準成分の特徴量、各々のタイミングにおける第1の基準成分の測定値、および各々のタイミングにおける第2の基準成分の測定値に基づいて、目的成分の測定値を補正するステップと、を含む。
【0009】
本開示の第2の態様に従う情報処理装置は、少なくとも1つ以上のプロセッサと、1つ以上のプロセッサにアクセス可能なメモリと、を備える。メモリは、プロセッサによって実行される1つ以上の命令を格納する。プロセッサは、1つ以上の命令を実行することにより、目的成分を含む対象試料を第1のタイミングに第1の分析条件で分析し得られたクロマトグラムから、目的成分の特徴量および目的成分の測定値を取得する。プロセッサは、第2のタイミングに第1の分析条件で第1の基準成分および第2の基準成分を含む標準試料を分析して得られたクロマトグラムおよび、第3のタイミングに第2の分析条件で標準試料を分析して得られたクロマトグラムから、第1の基準成分の特徴量、第2の基準成分の特徴量、各々のタイミングにおける第1の基準成分の測定値、および各々のタイミングにおける第2の基準成分の測定値を取得する。プロセッサは、目的成分の特徴量、第1の基準成分の特徴量、第2の基準成分の特徴量、各々のタイミングにおける第1の基準成分の測定値、および各々のタイミングにおける第2の基準成分の測定値に基づいて、前記目的成分の測定値を補正する。目的成分、第1の基準成分、および第2の基準成分について、各成分の測定値は、対応する成分の量に関連する値であって、各成分の特徴量は、対応する成分の保持時間および/または質量対電荷比である。
【0010】
本開示の第3の態様に従うクロマトグラフ質量分析装置は、クロマトグラフ部と、質量分析部と、制御部とを備える。クロマトグラフ部は、対象試料に含まれる目的成分、および標準試料に含まれる第1の基準成分および第2の基準成分を時間的に分離する。質量分析部は、クロマトグラフ部で分離された目的成分、第1の基準成分、および第2の基準成分に由来する質量対電荷比を有するイオンを測定する。制御部は、対象試料を第1のタイミングに第1の分析条件で分析し得られたクロマトグラムから、目的成分の特徴量および目的成分の測定値を取得する。制御部は、第2のタイミングに第1の分析条件で標準試料を分析して得られたクロマトグラムおよび、第3のタイミングに第2の分析条件で標準試料を分析して得られたクロマトグラムから、第1の基準成分の特徴量、第2の基準成分の特徴量、各々のタイミングにおける第1の基準成分の測定値、および各々のタイミングにおける第2の基準成分の測定値を取得する。制御部は、目的成分の特徴量、第1の基準成分の特徴量、第2の基準成分の特徴量、各々のタイミングにおける第1の基準成分の測定値、および各々のタイミングにおける第2の基準成分の測定値に基づいて、目的成分の測定値を補正する。目的成分、第1の基準成分、および第2の基準成分について、各成分の測定値は、対応する成分の量に関連する値であって、各成分の特徴量は、対応する成分の保持時間および/または質量対電荷比である。
(【0011】以降は省略されています)
この特許をJ-PlatPat(特許庁公式サイト)で参照する
関連特許
他の特許を見る