TOP
|
特許
|
意匠
|
商標
特許ウォッチ
Twitter
他の特許を見る
10個以上の画像は省略されています。
公開番号
2025169730
公報種別
公開特許公報(A)
公開日
2025-11-14
出願番号
2024074757
出願日
2024-05-02
発明の名称
放射線撮影システム
出願人
コニカミノルタ株式会社
代理人
弁理士法人光陽国際特許事務所
主分類
A61B
6/00 20240101AFI20251107BHJP(医学または獣医学;衛生学)
要約
【課題】放射線が水平照射される場合の管球と放射線画像撮影装置との角度調整を、コストを抑えつつ、適切に行う。
【解決手段】システム100は、放射線Rを照射する管球(放射線照射部)23を備える。システム100は、管球23と、管球23から照射された放射線Rに基づく画像を生成する撮影装置1との距離を計測し距離情報を出力する距離測定部(計測部)29を備える。システム100は、距離測定部(計測部)29により計測された上記距離情報に基づいて、管球23による放射線Rの照射方向に対する撮影装置1の角度情報を算出する。
【選択図】図5
特許請求の範囲
【請求項1】
放射線を照射する放射線照射部と、
前記放射線照射部と、前記放射線照射部から照射された放射線に基づく画像を生成する放射線画像撮影装置との距離を計測し距離情報を出力する計測部と、
前記計測部からの距離情報に基づいて、前記放射線照射部による放射線の照射方向に対する前記放射線画像撮影装置の角度情報を算出する角度情報算出部と、
を備える放射線撮影システム。
続きを表示(約 900 文字)
【請求項2】
前記計測部は、深度カメラである、請求項1に記載の放射線撮影システム。
【請求項3】
前記放射線画像撮影装置は、自装置が備える加速度センサーにより重力加速度を計測し重力加速度情報を出力可能であり、
前記角度情報算出部は、前記計測部からの距離情報、及び/又は、前記放射線画像撮影装置からの重力加速度情報に基づいて、前記放射線画像撮影装置の角度情報を算出する、請求項1に記載の放射線撮影システム。
【請求項4】
前記角度情報は、前記放射線照射部による放射線の照射方向に対する前記放射線画像撮影装置の左右上下方向の角度情報である、請求項1に記載の放射線撮影システム。
【請求項5】
前記計測部からの距離情報に基づいて被写体の体厚を推定する体厚推定部を備える、請求項1に記載の放射線撮影システム。
【請求項6】
前記距離情報は、前記放射線画像撮影装置の四隅角部のうち、少なくとも天側又は地側の左右2箇所の角部に係る距離情報である、請求項1に記載の放射線撮影システム。
【請求項7】
これから行う撮影の撮影情報に基づいて、前記放射線画像撮影装置の角度情報の算出方法を切り替える、請求項1に記載の放射線撮影システム。
【請求項8】
前記重力加速度情報に基づいて、前記放射線画像撮影装置の角度情報の算出方法を切り替える、請求項3に記載の放射線撮影システム。
【請求項9】
前記放射線照射部は、当該放射線照射部が備える加速度センサーにより重力加速度を計測し重力加速度情報を出力可能であり、
前記放射線照射部からの前記重力加速度情報に基づいて、前記放射線画像撮影装置の角度情報の算出方法を切り替える、請求項1に記載の放射線撮影システム。
【請求項10】
これから行う撮影の撮影情報と前記重力加速度情報に基づいて、前記放射線画像撮影装置の角度情報の算出方法を切り替える、請求項3に記載の放射線撮影システム。
(【請求項11】以降は省略されています)
発明の詳細な説明
【技術分野】
【0001】
本発明は、放射線撮影システムに関する。
続きを表示(約 2,500 文字)
【背景技術】
【0002】
回診車と呼ばれる移動型の放射線撮影システムを用い、例えば、病棟のベッド上で被検者の放射線撮影を行うことがある。ベッド上の撮影においては、被検者の背中とベッドとの間に配置される可搬型(パネル状)の放射線画像撮影装置の撮像面が、必ずしも水平面と平行又は直交しない(傾斜する)ことがある。このような場合であっても、放射線入射面に取り付けられたグリッドのカットオフにより放射線画像に濃度差が発生したり、放射線画像撮影装置に写る被検者の体内構造物の位置関係の変化が診断に影響を与えたりすることを防ぐため、放射線画像撮影装置の撮像面に対し放射線の照射軸が直交するよう放射線画像撮影装置に対する管球の向きを調節する必要がある。
【0003】
例えば、特許文献1には、放射線画像撮影装置と管球とのそれぞれにおいて検出された3軸方向の重力加速度の加速度情報に基づいて、放射線画像撮影装置と管球との対向角度を算出し、当該対向角度によって管球の向きを調整する技術が開示されている。
【先行技術文献】
【特許文献】
【0004】
特開2023-116868号
【発明の概要】
【発明が解決しようとする課題】
【0005】
上記特許文献1に開示されている技術では、ベッドの上で臥位の姿勢をとっている被検者とベッドとの間に放射線画像撮影装置を水平に配置して用いる場合(図18参照)、X軸方向(左右方向)の斜入射とY軸方向(上下方向)の斜入射とのそれぞれに対応できる。一方、背上げしたベッド又は車椅子で座位の姿勢をとっている被検者と背もたれとの間に放射線画像撮影装置を立てて配置して用いる場合(図19参照)、Z軸(東西南北)の角度変化が分からないため、Z軸方向の斜入射に対応できなくなるといった問題がある。
【0006】
上記の問題に関しては、例えば、9軸センサー等を用いることにより、Z軸(東西南北)の角度変化を検知できるようになる。しかしながら、9軸センサーは非常に高価であるため、放射線撮影システムの製造コストが上がってしまうといった問題がある。
【0007】
本発明は、上記課題に鑑みてなされたもので、放射線が水平照射される場合の管球と放射線画像撮影装置との角度調整を、コストを抑えつつ、適切に行うことを目的とする。
【課題を解決するための手段】
【0008】
上記課題を解決するため、本発明に係る放射線撮影システムは、
放射線を照射する放射線照射部と、
前記放射線照射部と、前記放射線照射部から照射された放射線に基づく画像を生成する放射線画像撮影装置との距離を計測し距離情報を出力する計測部と、
前記計測部からの距離情報に基づいて、前記放射線照射部による放射線の照射方向に対する前記放射線画像撮影装置の角度情報を算出する角度情報算出部と、
を備える。
【発明の効果】
【0009】
本発明によれば、放射線が水平照射される場合の管球と放射線画像撮影装置との角度調整を、コストを抑えつつ、適切に行うことができる。
【図面の簡単な説明】
【0010】
本実施形態に係る放射線撮影システムの一例を示す側面図である。
図1の放射線撮影システムが示す放射線画像撮影装置を示す斜視図である。
図2の放射線画像撮影装置を示すブロック図である。
図1の放射線撮影システムが備える放射線発生装置及びコンソールを示すブロック図である。
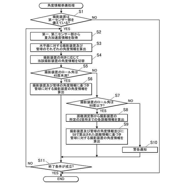
角度情報準備処理の流れを示すフローチャートである。
放射線画像撮影装置に備えられた3軸加速度センサーのX軸とY軸とを示す図である。
放射線画像撮影装置に備えられた3軸加速度センサーのX軸の水平面に対する傾きを示す図である。
放射線画像撮影装置に備えられた3軸加速度センサーのY軸の水平面に対する傾きを示す図である。
放射線画像撮影装置の向きの判定方法を示す図である。
放射線画像撮影装置の向きの判定方法を示す図である。
放射線画像撮影装置の向きの判定方法を示す図である。
放射線画像撮影装置の向きの判定方法を示す図である。
放射線画像撮影装置の向きとロール/ピッチとの関係を説明するための図である。
放射線画像撮影装置の向きとロール/ピッチとの関係を説明するための図である。
放射線画像撮影装置の向きとロール/ピッチとの関係を説明するための図である。
放射線画像撮影装置の向きとロール/ピッチとの関係を説明するための図である。
放射線画像撮影装置の向きとロール/ピッチとの関係を示す表である。
従来における放射線画像撮影装置の配置とそのときの角度情報を示す図である。
従来における放射線画像撮影装置の配置とそのときの角度情報を示す図である。
従来における放射線画像撮影装置の配置とそのときの角度情報を示す図である。
表示制御処理の流れを示すフローチャートである。
角度情報表示画面の例を示す図である。
角度情報表示画面の例を示す図である。
角度情報表示画面の例を示す図である。
角度情報表示画面の例を示す図である。
角度情報表示画面の例を示す図である。
マーカーの平面図及び断面図である。
マーカーの平面図及び断面図である。
放射線画像撮影装置の使用例を示す図である。
放射線画像撮影装置の使用例を示す図である。
管球に対する撮影装置のピッチ角の算出方法を説明するための図である。
管球に対する撮影装置のピッチ角の算出方法を説明するための図である。
【発明を実施するための形態】
(【0011】以降は省略されています)
この特許をJ-PlatPat(特許庁公式サイト)で参照する
関連特許
コニカミノルタ株式会社
緩衝材
16日前
コニカミノルタ株式会社
パレット
24日前
コニカミノルタ株式会社
光計測装置
3日前
コニカミノルタ株式会社
液滴吐出装置
11日前
コニカミノルタ株式会社
画像形成装置
9日前
コニカミノルタ株式会社
情報処理装置
19日前
コニカミノルタ株式会社
画像形成装置
17日前
コニカミノルタ株式会社
画像形成方法
26日前
コニカミノルタ株式会社
画像形成装置
19日前
コニカミノルタ株式会社
超音波診断装置
17日前
コニカミノルタ株式会社
画像形成システム
18日前
コニカミノルタ株式会社
放射線撮影システム
9日前
コニカミノルタ株式会社
放射線撮影システム
9日前
コニカミノルタ株式会社
画像形成装置、画像形成方法
24日前
コニカミノルタ株式会社
画像読取装置及び画像形成システム
3日前
コニカミノルタ株式会社
抗菌剤塗布装置および画像形成装置
16日前
コニカミノルタ株式会社
トナー収容容器および画像形成装置
3日前
コニカミノルタ株式会社
用紙搬送装置及び画像形成システム
18日前
コニカミノルタ株式会社
開発システムおよび学習管理システム
16日前
コニカミノルタ株式会社
画像形成装置、補正方法及びプログラム
24日前
コニカミノルタ株式会社
定着部材、定着装置および画像形成装置
17日前
コニカミノルタ株式会社
インクジェット記録装置及びプログラム
11日前
コニカミノルタ株式会社
医療用検査装置、および医療用検査方法
16日前
コニカミノルタ株式会社
仲介システム、仲介方法及びプログラム
16日前
コニカミノルタ株式会社
画像形成装置、制御方法及びプログラム
3日前
コニカミノルタ株式会社
定着部材、定着装置および画像形成装置
25日前
コニカミノルタ株式会社
抽出装置、抽出方法および抽出プログラム
24日前
コニカミノルタ株式会社
動態画像解析装置、方法、及びプログラム。
9日前
コニカミノルタ株式会社
動態画像解析装置、方法、及びプログラム。
9日前
コニカミノルタ株式会社
ブラシ、ブラシの製造方法および画像形成装置
17日前
コニカミノルタ株式会社
ブラシ、ブラシの製造方法および画像形成装置
17日前
コニカミノルタ株式会社
情報処理装置、情報処理方法、及び、プログラム
24日前
コニカミノルタ株式会社
プログラム、情報処理システム及び情報処理方法
9日前
コニカミノルタ株式会社
画像形成装置、キャリア排出方法及びプログラム
19日前
コニカミノルタ株式会社
情報処理装置、情報表示システム及びプログラム
3日前
コニカミノルタ株式会社
赤外線レンズ、赤外線光学系及び赤外線撮像装置
25日前
続きを見る
他の特許を見る