TOP
|
特許
|
意匠
|
商標
特許ウォッチ
Twitter
他の特許を見る
10個以上の画像は省略されています。
公開番号
2025169379
公報種別
公開特許公報(A)
公開日
2025-11-12
出願番号
2025136374,2023072869
出願日
2025-08-19,2019-03-29
発明の名称
情報処理装置、端末装置、情報処理方法及び記録媒体
出願人
日本電気株式会社
代理人
個人
,
個人
主分類
G06Q
50/26 20240101AFI20251105BHJP(計算;計数)
要約
【課題】渡航者に対する各種の審査手続を効率化する情報処理装置、端末装置、情報処理方法及び記録媒体を提供する。
【解決手段】情報処理装置は、新たな渡航を予定している旅客の複数の認証ステージにおける過去の渡航に関する履歴情報に基づいて、旅客の信用に関する情報を決定する決定部と、前記信用に関する情報を出力する出力部と、を備える。
【選択図】図34
特許請求の範囲
【請求項1】
新たな渡航を予定している旅客の複数の認証ステージにおける過去の渡航に関する履歴情報に基づいて、前記旅客の信用に関する情報を決定する決定手段と、
前記信用に関する情報を出力する出力手段と、
を備える情報処理装置。
続きを表示(約 1,400 文字)
【請求項2】
新たな渡航を予定している旅客の複数の認証ステージにおける過去の渡航に関する履歴情報に基づいて、前記旅客の信用に関する情報を決定するステップと、
前記信用に関する情報を出力するステップと、
を備える情報処理方法。
【請求項3】
コンピュータに、
新たな渡航を予定している旅客の複数の認証ステージにおける過去の渡航に関する履歴情報に基づいて、前記旅客の信用に関する情報を決定するステップと、
前記信用に関する情報を出力するステップと、
を実行させるプログラム。
【請求項4】
複数の認証ステージにおける過去の渡航に関する履歴を含む第1情報を有する第1旅客について、渡航の審査に関する第1審査基準を、前記第1情報に応じて決定し、前記複数の認証ステージにおける過去の渡航に関する履歴を含む第2情報を有する第2旅客について、前記渡航の審査に関する第2審査基準を、前記第2情報に応じて決定する決定部と、
前記第1審査基準とは異なる前記第2審査基準を、審査を行う審査担当者に対して出力する出力部と、
を備える情報処理装置。
【請求項5】
複数の認証ステージにおける過去の渡航に関する履歴を含む第1情報を有する第1旅客について、渡航の審査に関する第1審査基準を、前記第1情報に応じて決定し、前記複数の認証ステージにおける過去の渡航に関する履歴を含む第2情報を有する第2旅客について、前記渡航の審査に関する第2審査基準を、前記第2情報に応じて決定するステップと、
前記第1審査基準とは異なる前記第2審査基準を、審査を行う審査担当者に対して出力するステップと、
を備える情報処理方法。
【請求項6】
コンピュータに、
複数の認証ステージにおける過去の渡航に関する履歴を含む第1情報を有する第1旅客について、渡航の審査に関する第1審査基準を、前記第1情報に応じて決定し、前記複数の認証ステージにおける過去の渡航に関する履歴を含む第2情報を有する第2旅客について、前記渡航の審査に関する第2審査基準を、前記第2情報に応じて決定するステップと、
前記第1審査基準とは異なる前記第2審査基準を、審査を行う審査担当者に対して出力するステップと、
を実行させるプログラム。
【請求項7】
新たな渡航を予定している旅客の複数の認証ステージにおける過去の渡航に関する履歴情報に基づいて、前記旅客の信用に関する情報を決定する決定部と、
前記信用に関する情報に応じて決定された審査基準を、審査を行う審査担当者に出力する出力部と、
を備える情報処理システム。
【請求項8】
新たな渡航を予定している旅客の複数の認証ステージにおける過去の渡航に関する履歴情報に基づいて、前記旅客の信用に関する情報を決定するステップと、
前記信用に関する情報に応じて決定された審査基準を、審査を行う審査担当者に出力するステップと、
を備える情報処理方法。
【請求項9】
コンピュータに、
新たな渡航を予定している旅客の複数の認証ステージにおける過去の渡航に関する履歴情報に基づいて、前記旅客の信用に関する情報を決定するステップと、
前記信用に関する情報に応じて決定された審査基準を、審査を行う審査担当者に出力するステップと、
を実行させるプログラム。
発明の詳細な説明
【技術分野】
【0001】
本発明は、情報処理装置、端末装置、情報処理方法及び記録媒体に関する。
続きを表示(約 2,700 文字)
【背景技術】
【0002】
特許文献1には、KIOSK端末において渡航者の自動化ゲートの利用可否を判定する入国審査システムが開示されている。
【先行技術文献】
【特許文献】
【0003】
特開2015-222459号公報
【発明の概要】
【発明が解決しようとする課題】
【0004】
特許文献1に記載の入国審査システムでは、自動化ゲートの利用対象でない渡航者は、例えば優良渡航者として何度も渡航している人物であっても初回渡航者と同様の審査プロセスを経なければならない。このため、当該入国審査システムでは、渡航者に対する審査手続を効率的に進められない問題があった。
【0005】
そこで、本発明は、上述した課題に鑑み、渡航者に対する各種の審査手続を効率化できる情報処理装置、端末装置、情報処理方法及び記録媒体を提供することを目的とする。
【課題を解決するための手段】
【0006】
本発明の一観点によれば、新たな渡航を予定している旅客の複数の認証ステージにおける過去の渡航に関する履歴情報に基づく前記旅客の信用に関する情報を取得する取得部と、取得した前記旅客の信用に関する情報と審査基準に関する情報との比較に基づいて前記新たな渡航についての審査に関する情報を作成し、前記審査に関する情報を出力する出力部と、を備える情報処理装置が提供される。
【0007】
本発明のさらに他の観点によれば、新たな渡航を予定している旅客の複数の認証ステージにおける過去の渡航に関する履歴情報に基づく前記旅客の信用に関する情報を取得するステップと、取得した前記旅客の信用に関する情報と審査基準に関する情報との比較に基づいて前記新たな渡航についての審査に関する情報を作成し、前記審査に関する情報を出力するステップと、を備える情報処理方法が提供される。
【0008】
本発明のさらに他の観点によれば、コンピュータに、新たな渡航を予定している旅客の複数の認証ステージにおける過去の渡航に関する履歴情報に基づく前記旅客の信用に関する情報を取得するステップと、取得した前記旅客の信用に関する情報と審査基準に関する情報との比較に基づいて前記新たな渡航についての審査に関する情報を作成し、前記審査に関する情報を出力するステップと、を実行させるためのプログラムが提供される。
【発明の効果】
【0009】
本発明によれば、渡航者に対する各種の審査手続を効率化できる情報処理装置、端末装置、情報処理方法及び記録媒体が提供される。
【図面の簡単な説明】
【0010】
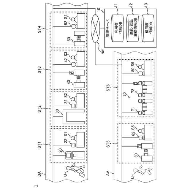
第1実施形態における旅客制御システムの全体構成の一例を示す概略図である。
第1実施形態における利用者情報DBが記憶する情報の一例を示す図である。
第1実施形態における渡航・認証履歴情報DBが記憶する情報の一例を示す図である。
第1実施形態における信用度情報DBが記憶する情報の一例を示す図である。
第1実施形態における管理サーバのハードウェア構成の一例を示すブロック図である。
第1実施形態におけるチェックイン端末のハードウェア構成の一例を示すブロック図である。
第1実施形態における業務端末のハードウェア構成の一例を示すブロック図である。
第1実施形態における保安検査装置のハードウェア構成の一例を示すブロック図である。
第1実施形態における自動化ゲート装置のハードウェア構成の一例を示すブロック図である。
第1実施形態における搭乗ゲート装置のハードウェア構成の一例を示すブロック図である。
第1実施形態における入口ゲート端末のハードウェア構成の一例を示すブロック図である。
第1実施形態における出口ゲート端末のハードウェア構成の一例を示すブロック図である。
第1実施形態における管理サーバの処理の一例を示すフローチャートである。
第1実施形態におけるチェックイン端末及び管理サーバの処理の一例を示すシーケンス図である。
第1実施形態におけるチェックイン端末が表示する画面の一例を示す図である。
第1実施形態における保安検査装置及び管理サーバの処理の一例を示すシーケンス図である。
第1実施形態における自動化ゲート装置及び管理サーバの処理の一例を示すシーケンス図である。
第1実施形態における搭乗ゲート装置及び管理サーバの処理の一例を示すシーケンス図である。
第1実施形態における自動化ゲート装置及び管理サーバの処理の一例を示すシーケンス図である。
第1実施形態における自動税関ゲート装置及び管理サーバの処理の一例を示すシーケンス図である。
第1実施形態における業務端末及び管理サーバの処理の一例を示すシーケンス図である。
第1実施形態における業務端末が表示する画面の一例を示す図である。
第1実施形態における業務端末が表示する画面の一例を示す図である。
第1実施形態における業務端末が表示する画面の一例を示す図である。
第2実施形態における管理サーバの処理の一例を示すフローチャートである。
第2実施形態における学習処理の方法を説明する概略図である。
第2実施形態における管理サーバの処理の一例を示すフローチャートである。
第3実施形態における旅客制御システムの全体構成の一例を示す概略図である。
第3実施形態における利用者端末のハードウェア構成の一例を示すブロック図である。
第3実施形態における管理サーバと利用者端末の処理の一例を示すシーケンス図である。
第3実施形態における利用者端末が表示する画面の一例を示す図である。
第4実施形態におけるサイネージ端末の配置例を示す図である。
第4実施形態におけるサイネージ端末のハードウェア構成の一例を示すブロック図である。
第4実施形態におけるサイネージ端末及び管理サーバの処理の一例を示すシーケンス図である。
第4実施形態におけるサイネージ端末が表示する画面の一例を示す図である。
第5実施形態における情報処理装置の機能を示すブロック図である。
第6実施形態における端末装置の機能を示すブロック図である。
【発明を実施するための形態】
(【0011】以降は省略されています)
この特許をJ-PlatPat(特許庁公式サイト)で参照する
関連特許
日本電気株式会社
監視装置
1か月前
日本電気株式会社
監視装置
1か月前
日本電気株式会社
管理装置
1か月前
日本電気株式会社
光モジュール
26日前
日本電気株式会社
異常検知装置
1か月前
日本電気株式会社
海底分岐装置
1か月前
日本電気株式会社
光集積回路素子
1か月前
日本電気株式会社
レーザモジュール
1か月前
日本電気株式会社
超伝導量子回路装置
1か月前
日本電気株式会社
受信器および通信装置
1か月前
日本電気株式会社
システム、装置及び方法
1か月前
日本電気株式会社
推論装置および推論方法
18日前
日本電気株式会社
送信装置および通信装置
1か月前
日本電気株式会社
通信装置および通信方法
1か月前
日本電気株式会社
光伝送システムおよび方法
1か月前
日本電気株式会社
ラインカード及びイジェクタ
1か月前
日本電気株式会社
制御装置、プログラム及び方法
1か月前
日本電気株式会社
時刻維持装置および時刻維持方法
17日前
日本電気株式会社
考査装置、考査方法、プログラム
19日前
日本電気株式会社
兆候検知装置および兆候検知方法
1か月前
日本電気株式会社
演算処理装置および演算処理方法
1か月前
日本電気株式会社
考査装置、考査方法、プログラム
19日前
日本電気株式会社
放送用システムおよび字幕作成方法
1か月前
日本電気株式会社
交渉装置、交渉方法及びプログラム
3日前
日本電気株式会社
推定装置、推定方法及びプログラム
1か月前
日本電気株式会社
交渉装置、交渉方法及びプログラム
26日前
日本電気株式会社
監視装置、監視方法、及びプログラム
16日前
日本電気株式会社
ソーナー装置、通信方法、プログラム
1か月前
日本電気株式会社
端末、端末の制御方法及びプログラム
1か月前
日本電気株式会社
レコメンド装置およびレコメンド方法
1か月前
日本電気株式会社
情報処理装置、制御方法及び記憶媒体
1か月前
日本電気株式会社
注文端末、注文受付方法及びプログラム
1か月前
日本電気株式会社
安否確認支援装置、方法及びプログラム
1か月前
日本電気株式会社
学習装置、学習方法及び学習プログラム
1か月前
日本電気株式会社
判別装置、判別方法、およびプログラム
1か月前
日本電気株式会社
情報処理装置、情報処理方法、プログラム
18日前
続きを見る
他の特許を見る