TOP
|
特許
|
意匠
|
商標
特許ウォッチ
Twitter
他の特許を見る
10個以上の画像は省略されています。
公開番号
2025151664
公報種別
公開特許公報(A)
公開日
2025-10-09
出願番号
2024053203
出願日
2024-03-28
発明の名称
情報処理装置、制御方法及び記憶媒体
出願人
日本電気株式会社
代理人
個人
,
個人
,
個人
主分類
G06F
18/2321 20230101AFI20251002BHJP(計算;計数)
要約
【課題】実行すべきアクションを好適に決定する。
【解決手段】
情報処理装置1Xは、主に、取得手段15Xaと、第1決定手段15Xbと、選択手段15Xcと、観測手段15Xdと、第2決定手段15Xeと、を有する。取得手段15Xaは、オンライン最適化問題を表すフィードバックグラフを取得する。第1決定手段15Xbは、フィードバックグラフに基づいて、アクション候補から実行するアクションを選ぶ確率分布を決定する。選択手段15Xcは、確率分布に基づいてアクションを選択する。観測手段15Xdは、アクションに基づく損失を観測する。第2決定手段15Xeは、観測した損失に基づいて、確率分布の決定に用いる重みを決定する。
【選択図】図9
特許請求の範囲
【請求項1】
オンライン最適化問題を表すフィードバックグラフを取得する取得手段と、
前記フィードバックグラフに基づいて、アクション候補から実行するアクションを選ぶ確率分布を決定する第1決定手段と、
前記確率分布に基づいて前記アクションを選択する選択手段と、
前記アクションの実行に基づく損失を観測する観測手段と、
前記損失に基づいて、前記確率分布の決定に用いる重みを決定する第2決定手段と、
を有する情報処理装置。
続きを表示(約 1,100 文字)
【請求項2】
前記重みは、前記フィードバックグラフの設定であり、
前記第2決定手段は、前記アクションを決定するラウンドごとに前記重みを更新する、請求項1に記載の情報処理装置。
【請求項3】
前記第2決定手段は、前記損失に基づく動的リグレットをよくするように前記重みを決定する、請求項1に記載の情報処理装置。
【請求項4】
前記観測手段は、前記アクションに基づく損失として、当該アクションと、前記フィードバックグラフにおいて当該アクションを始点とする枝の終点の頂点に対応するアクション候補と、を夫々実行した場合に生じる第1損失を取得する、請求項1に記載の情報処理装置。
【請求項5】
前記第1損失と、前記確率分布とに基づき、前記重みの更新に用いる第2損失を算出する算出手段をさらに有し、
前記第2決定手段は、前記第2損失に基づき、前記重みを決定する、請求項4に記載の情報処理装置。
【請求項6】
前記第1決定手段は、前記フィードバックグラフの分類に基づき、前記確率分布を決定する、請求項1に記載の情報処理装置。
【請求項7】
前記取得手段は、前記フィードバックグラフに関する情報を記憶する記憶装置を参照し、前記フィードバックグラフを取得する、請求項1に記載の情報処理装置。
【請求項8】
前記選択手段により選択された前記アクションに関する情報を表示装置に表示させる表示制御手段をさらに有する、請求項1に記載の情報処理装置。
【請求項9】
コンピュータが、
オンライン最適化問題を表すフィードバックグラフを取得し、
前記フィードバックグラフに基づいて、アクション候補から実行するアクションを選ぶ確率分布を決定し、
前記確率分布に基づいて前記アクションを選択し、
前記アクションの実行に基づく損失を観測し、
前記損失に基づいて、前記確率分布の決定に用いる重みを決定する、
制御方法。
【請求項10】
オンライン最適化問題を表すフィードバックグラフを取得し、
前記フィードバックグラフに基づいて、アクション候補から実行するアクションを選ぶ確率分布を決定し、
前記確率分布に基づいて前記アクションを選択し、
前記アクションの実行に基づく損失を観測し、
前記損失に基づいて、前記確率分布の決定に用いる重みを決定する処理をコンピュータに実行させるプログラムが格納された記憶媒体。
発明の詳細な説明
【技術分野】
【0001】
本開示は、オンライン最適化問題に関する処理を行う情報処理装置、制御方法及び記憶媒体の技術分野に関する。
続きを表示(約 1,800 文字)
【背景技術】
【0002】
最適なアクションを決定するシステムが知られている。例えば、特許文献1には、対象期間の各期に渡って所定のアクションを実行した場合に所定の遷移確率に従って遷移し得る各期の状態それぞれについて、リスクを考慮した最適アクションを決定する技術が開示されている。
【先行技術文献】
【特許文献】
【0003】
特開2012-068780号公報
【発明の概要】
【発明が解決しようとする課題】
【0004】
観測とアクションを逐次的に行うオンライン最適化問題では、代表的な目的関数として静的リグレットが用いられる場合がある。一方、静的リグレットでは、ラウンドごとに求めるアクションとの比較対象を各ラウンドにおいて固定されたアクションとしているため、求めたアクションが最善又はこれに類するアクションではない場合が生じ得る。
【0005】
本開示の目的の一つは、上述した課題を鑑み、実行すべきアクションを好適に決定することが可能な情報処理装置、制御方法及び記憶媒体を提供することである。
【課題を解決するための手段】
【0006】
情報処理装置の一の態様は、
オンライン最適化問題を表すフィードバックグラフを取得する取得手段と、
前記フィードバックグラフに基づいて、アクション候補から実行するアクションを選ぶ確率分布を決定する第1決定手段と、
前記確率分布に基づいて前記アクションを選択する選択手段と、
前記アクションの実行に基づく損失を観測する観測手段と、
前記損失に基づいて、前記確率分布の決定に用いる重みを決定する第2決定手段と、
を有する情報処理装置である。
【0007】
制御方法の一の態様は、
コンピュータが、
オンライン最適化問題を表すフィードバックグラフを取得し、
前記フィードバックグラフに基づいて、アクション候補から実行するアクションを選ぶ確率分布を決定し、
前記確率分布に基づいて前記アクションを選択し、
前記アクションの実行に基づく損失を観測し、
前記損失に基づいて、前記確率分布の決定に用いる重みを決定する、
制御方法である。
【0008】
記憶媒体の一の態様は、
オンライン最適化問題を表すフィードバックグラフを取得し、
前記フィードバックグラフに基づいて、アクション候補から実行するアクションを選ぶ確率分布を決定し、
前記確率分布に基づいて前記アクションを選択し、
前記アクションの実行に基づく損失を観測し、
前記損失に基づいて、前記確率分布の決定に用いる重みを決定する処理をコンピュータに実行させるプログラムが格納された記憶媒体である。
【発明の効果】
【0009】
本開示による効果の一例では、制約の緩和を考慮した情報を好適に出力することが可能となる。
【図面の簡単な説明】
【0010】
最適化システムの構成を示す。
情報処理装置のハードウェア構成を示す。
情報処理装置のプロセッサの機能ブロックの一例である。
(A)full-informationフィードバック設定の一例を示す。(B)banditフィードバック設定の一例を示す。
(A)strongly observableとなるフィードバックグラフの例を示す。(B)weakly observableとなるフィードバックグラフの例を示す。(C)strongly observable又はweakly observableのいずれにも該当しないフィードバックグラフの例を示す。
本開示アルゴリズムに基づく処理手順を示すフローチャートの一例である。
小売店の販売における機会損失に関する適用例を表すフィードバックグラフである。
最適化システムの構成を示す。
情報処理装置の機能ブロック図である。
情報処理装置の処理手順を示すフローチャートの一例である。
【発明を実施するための形態】
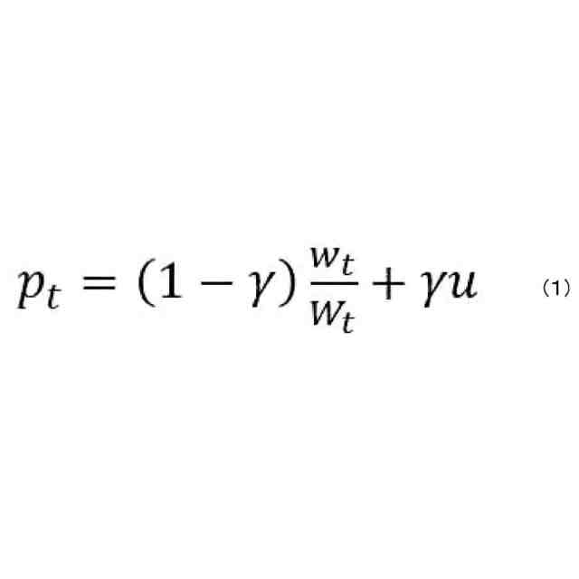
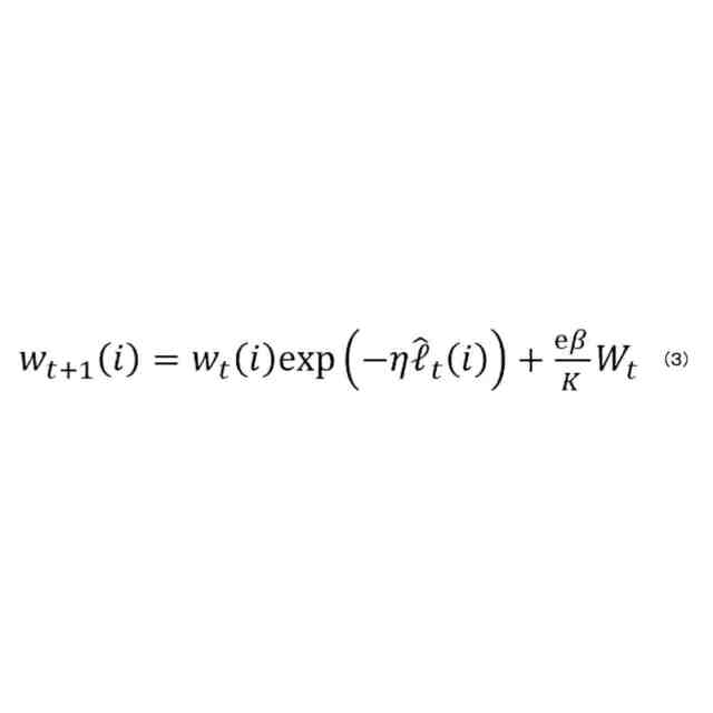
(【0011】以降は省略されています)
この特許をJ-PlatPat(特許庁公式サイト)で参照する
関連特許
日本電気株式会社
監視装置
19日前
日本電気株式会社
管理装置
19日前
日本電気株式会社
監視装置
19日前
日本電気株式会社
光モジュール
6日前
日本電気株式会社
異常検知装置
11日前
日本電気株式会社
海底分岐装置
20日前
日本電気株式会社
光集積回路素子
24日前
日本電気株式会社
レーザモジュール
25日前
日本電気株式会社
超伝導量子回路装置
25日前
日本電気株式会社
受信器および通信装置
26日前
日本電気株式会社
システム、装置及び方法
25日前
日本電気株式会社
光伝送システムおよび方法
27日前
日本電気株式会社
ラインカード及びイジェクタ
17日前
日本電気株式会社
制御装置、プログラム及び方法
25日前
日本電気株式会社
交渉装置、交渉方法及びプログラム
6日前
日本電気株式会社
推定装置、推定方法及びプログラム
25日前
日本電気株式会社
ソーナー装置、通信方法、プログラム
27日前
日本電気株式会社
端末、端末の制御方法及びプログラム
17日前
日本電気株式会社
情報処理装置、制御方法及び記憶媒体
25日前
日本電気株式会社
レコメンド装置およびレコメンド方法
13日前
日本電気株式会社
学習装置、学習方法及び学習プログラム
25日前
日本電気株式会社
安否確認支援装置、方法及びプログラム
20日前
日本電気株式会社
追跡支援装置、追跡支援方法及びプログラム
24日前
日本電気株式会社
追跡支援装置、追跡支援方法及びプログラム
24日前
日本電気株式会社
処理システム、処理方法、およびプログラム
10日前
日本電気株式会社
健康管理装置、健康管理方法及びプログラム
6日前
日本電気株式会社
情報処理装置、提示方法、およびプログラム
25日前
日本電気株式会社
情報処理装置、計算方法、およびプログラム
25日前
日本電気株式会社
合意判定装置、合意判定方法及びプログラム
4日前
日本電気株式会社
視聴支援装置、視聴支援方法及びプログラム
4日前
日本電気株式会社
行動推奨装置、行動推奨方法及びプログラム
11日前
日本電気株式会社
情報処理装置、情報処理方法及びプログラム
25日前
日本電気株式会社
処理システム、処理方法、およびプログラム
12日前
日本電気株式会社
情報処理装置、情報処理方法、及びプログラム
4日前
日本電気株式会社
原子発振器、制御方法、制御装置、プログラム
25日前
日本電気株式会社
認証支援装置、システム、方法及びプログラム
25日前
続きを見る
他の特許を見る