TOP
|
特許
|
意匠
|
商標
特許ウォッチ
Twitter
他の特許を見る
10個以上の画像は省略されています。
公開番号
2025166286
公報種別
公開特許公報(A)
公開日
2025-11-06
出願番号
2024070179
出願日
2024-04-24
発明の名称
ラジカル重合性基含有環状オルガノシロキサン誘導体、その製造方法およびそれを含む硬化性組成物
出願人
信越化学工業株式会社
代理人
弁理士法人英明国際特許事務所
主分類
C08F
20/20 20060101AFI20251029BHJP(有機高分子化合物;その製造または化学的加工;それに基づく組成物)
要約
【課題】流動性に優れるとともに、硬度、耐衝撃性および基材への密着性に優れ、硬化収縮の小さい硬化物を与えるラジカル重合性基含有環状オルガノシロキサン誘導体を提供すること。
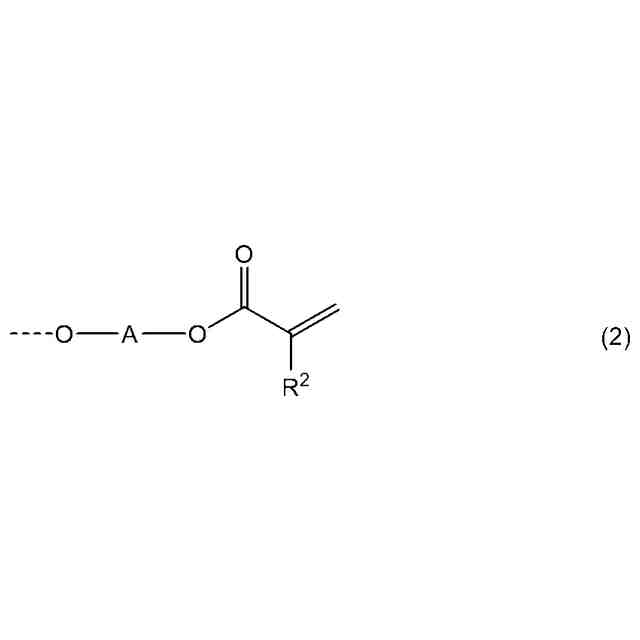
【解決手段】ラジカル重合性基含有環状オルガノシロキサン誘導体であって当該環状シロキサンは2個以上存在し、それぞれのケイ素原子に下記式(2)で表される置換基が結合した多官能ラジカル重合性誘導体。
<com:Image com:imageContentCategory="Drawing"> <com:ImageFormatCategory>TIFF</com:ImageFormatCategory> <com:FileName>2025166286000032.tif</com:FileName> <com:HeightMeasure com:measureUnitCode="Mm">28</com:HeightMeasure> <com:WidthMeasure com:measureUnitCode="Mm">107</com:WidthMeasure> </com:Image>
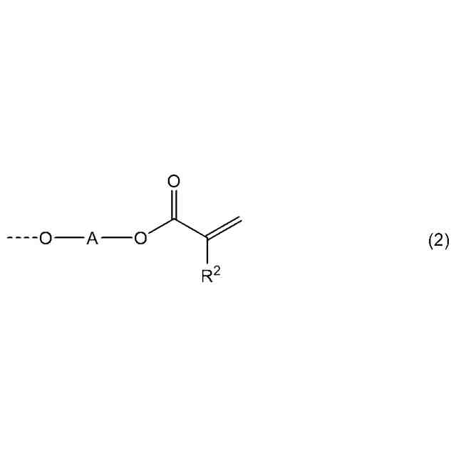
(式中、R
2
は、水素原子またはメチル基であり、Aは、炭素数1~10の2価炭化水素基であり、破線は結合手を表す。)
【選択図】なし
特許請求の範囲
【請求項1】
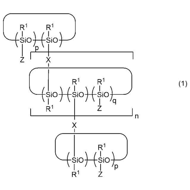
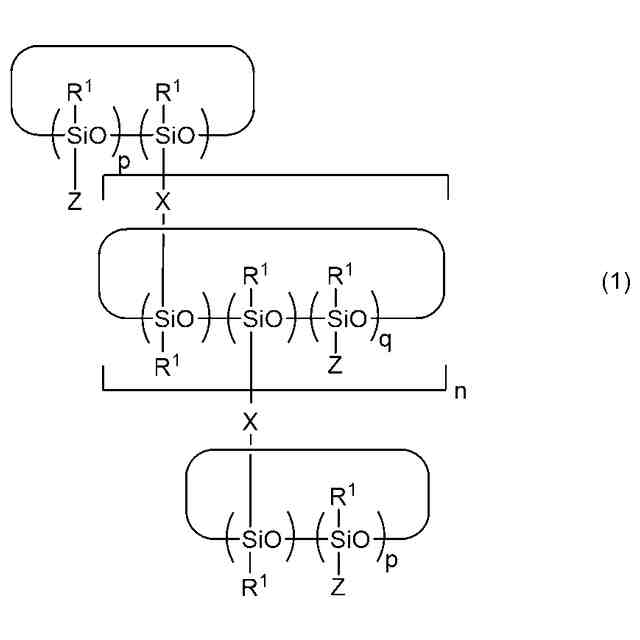
下記式(1)で表されるラジカル重合性基含有環状オルガノシロキサン誘導体。
TIFF
2025166286000027.tif
97
109
(式中、R
1
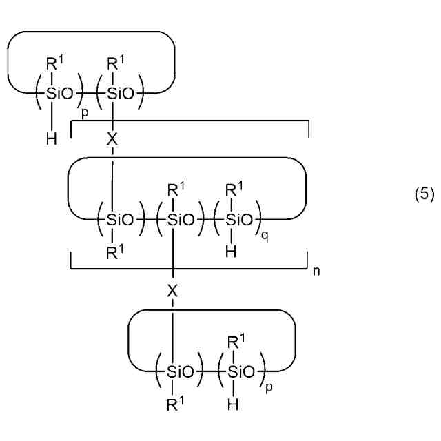
は、それぞれ独立して、1価炭化水素基であり、Zは、それぞれ独立して、下記式(2)で表される基または水素原子であり、Zのうち1つ以上は下記式(2)で表される基であり、Xは、酸素原子が介在してもよい2価炭化水素基であり、pは、それぞれ独立して、2~5の整数であり、qは、それぞれ独立して、1~4の整数であり、nは、0~50の整数である。丸括弧内のシロキサン単位の配列は任意であってよい。)
TIFF
2025166286000028.tif
28
107
(式中、R
2
は、水素原子またはメチル基であり、Aは、炭素数1~10の2価炭化水素基であり、破線は結合手を表す。)
続きを表示(約 1,000 文字)
【請求項2】
前記Aが、炭素数2~4の2価飽和炭化水素基である請求項1記載のラジカル重合性基含有環状オルガノシロキサン誘導体。
【請求項3】
前記Xが、環式炭化水素構造を有する請求項1記載のラジカル重合性基含有環状オルガノシロキサン誘導体。
【請求項4】
前記Xが、下記式(3)または(4)で表される基である請求項3記載のラジカル重合性基含有環状オルガノシロキサン誘導体。
TIFF
2025166286000029.tif
40
163
(式中、破線は結合手を表す。)
【請求項5】
前記式(1)において、R
1
がメチル基であり、pが3であり、qが2であり、nが0~10の整数である請求項1記載のラジカル重合性基含有環状オルガノシロキサン誘導体。
【請求項6】
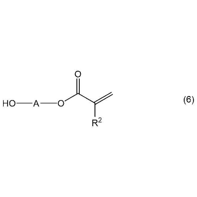
下記式(5)で表される環状ハイドロジェンシロキサン誘導体と下記式(6)で表される化合物とを、アミン触媒の存在下において脱水素反応させる請求項1記載のラジカル重合性基含有環状オルガノシロキサン誘導体の製造方法。
TIFF
2025166286000030.tif
97
109
(式中、R
1
は、それぞれ独立して、1価炭化水素基であり、Xは、酸素原子が介在してもよい2価炭化水素基であり、pは、それぞれ独立して、2~5の整数であり、qは、それぞれ独立して、1~4の整数であり、nは、0~50の整数である。丸括弧内のシロキサン単位の配列は任意であってよい。)
TIFF
2025166286000031.tif
28
91
(式中、R
2
は、水素原子またはメチル基であり、Aは、炭素数1~10の2価炭化水素基である。)
【請求項7】
前記アミン触媒が、ジエチルヒドロキシルアミンである請求項6記載のラジカル重合性基含有環状オルガノシロキサン誘導体の製造方法。
【請求項8】
(A)請求項1~5のいずれか1項記載のラジカル重合性基含有環状オルガノシロキサン誘導体、および
(B)重合開始剤
を含む硬化性組成物。
【請求項9】
請求項8記載の硬化性組成物の硬化物。
【請求項10】
請求項8記載の硬化性組成物の硬化物を有する物品。
発明の詳細な説明
【技術分野】
【0001】
本発明は、ラジカル重合性基含有環状オルガノシロキサン、その製造方法およびそれを含む硬化性組成物に関する。
続きを表示(約 2,800 文字)
【背景技術】
【0002】
環状シロキサンを主骨格とし、重合性の有機官能基を有した化合物は、シロキサン骨格の耐熱性、耐候性、低硬化収縮に優れる性質から、電子材料用封止材のバインダーやレンズ成形材、ハードコート等の塗料用バインダーとして応用されている。
【0003】
例えば、特許文献1では、ハードコートに求められる硬さと衝撃に耐え得る柔軟性および長期の屋外暴露に対する耐候性の改良を目的とし、水酸基(-OH)を有する環状シロキサン誘導体と、イソシアナト基(-N=C=O)および(メタ)アクリロイル基を有する化合物との反応により、環状シロキサン骨格にウレタン結合[-O-(C=O)-NH-]を介して重合性官能基として(メタ)アクリロイル基含有基を導入した化合物を、多官能(メタ)アクリレートを使用した光硬化性コーティング組成物のバインダーに応用する技術が提案されている。
【0004】
しかし、ウレタン結合を含む多官能(メタ)アクリレート化合物は、ウレタン結合部位の分子間相互作用により凝集、高粘度化しやすく、有機溶媒による希釈が必要となる等、取り扱いおよび環境負荷の点で問題があった。
【0005】
また、特許文献2~4では、Si-O-C結合を介して重合性官能基が導入されたシリコーンオリゴマーが提案されているが、これらのシロキサン骨格はいずれも、テトラクロロシランやシリケートなどの4官能性シロキサン単位の縮合物からなるためランダム構造であり、主鎖の構造制御が困難であった。
【先行技術文献】
【特許文献】
【0006】
特開2020-66577号公報
特開平10-245247号公報
特開2005-258119号公報
特開2016-209874号公報
【発明の概要】
【発明が解決しようとする課題】
【0007】
本発明は上記事情に鑑みなされたものであって、流動性に優れるとともに、硬度、耐衝撃性および基材への密着性に優れ、硬化収縮の小さい硬化物を与えるラジカル重合性基含有環状オルガノシロキサン誘導体、その製造方法およびそれを含む硬化性組成物を提供することを目的とする。
【課題を解決するための手段】
【0008】
本発明者は、上記目的を達成するため鋭意検討を行った結果、ラジカル重合性官能基がSi-O-C結合を介して導入された環状シロキサン構造および有機セグメントを主骨格としたラジカル重合性基含有環状オルガノシロキサン誘導体が、官能基当量が小さいにもかかわらず流動性に優れるとともに、硬度、耐衝撃性および基材への密着性に優れ、硬化収縮の小さい硬化物を与えることを見出し、本発明を完成した。
【0009】
すなわち、本発明は、
1. 下記式(1)で表されるラジカル重合性基含有環状オルガノシロキサン誘導体、
TIFF
2025166286000001.tif
97
109
(式中、R
1
は、それぞれ独立して、1価炭化水素基であり、Zは、それぞれ独立して、下記式(2)で表される基または水素原子であり、Zのうち1つ以上は下記式(2)で表される基であり、Xは、酸素原子が介在してもよい2価炭化水素基であり、pは、それぞれ独立して、2~5の整数であり、qは、それぞれ独立して、1~4の整数であり、nは、0~50の整数である。丸括弧内のシロキサン単位の配列は任意であってよい。)
TIFF
2025166286000002.tif
28
107
(式中、R
2
は、水素原子またはメチル基であり、Aは、炭素数1~10の2価炭化水素基であり、破線は結合手を表す。)
2. 前記Aが、炭素数2~4の2価飽和炭化水素基である1のラジカル重合性基含有環状オルガノシロキサン誘導体、
3. 前記Xが、環式炭化水素構造を有する1のラジカル重合性基含有環状オルガノシロキサン誘導体、
4. 前記Xが、下記式(3)または(4)で表される基である3のラジカル重合性基含有環状オルガノシロキサン誘導体、
TIFF
2025166286000003.tif
40
163
(式中、破線は結合手を表す。)
5. 前記式(1)において、R
1
がメチル基であり、pが3であり、qが2であり、nが0~10の整数である1のラジカル重合性基含有環状オルガノシロキサン誘導体、
6. 下記式(5)で表される環状ハイドロジェンシロキサン誘導体と下記式(6)で表される化合物とを、アミン触媒の存在下において脱水素反応させる1のラジカル重合性基含有環状オルガノシロキサン誘導体の製造方法、
TIFF
2025166286000004.tif
97
109
(式中、R
1
は、それぞれ独立して、1価炭化水素基であり、Xは、酸素原子が介在してもよい2価炭化水素基であり、pは、それぞれ独立して、2~5の整数であり、qは、それぞれ独立して、1~4の整数であり、nは、0~50の整数である。丸括弧内のシロキサン単位の配列は任意であってよい。)
TIFF
2025166286000005.tif
28
91
(式中、R
2
は、水素原子またはメチル基であり、Aは、炭素数1~10の2価炭化水素基である。)
7. 前記アミン触媒が、ジエチルヒドロキシルアミンである6のラジカル重合性基含有環状オルガノシロキサン誘導体の製造方法、
8. (A)1~5のいずれかのラジカル重合性基含有環状オルガノシロキサン誘導体、および
(B)重合開始剤
を含む硬化性組成物、
9. 8の硬化性組成物の硬化物、
10. 8の硬化性組成物の硬化物を有する物品
を提供する。
【発明の効果】
【0010】
本発明のラジカル重合性基含有環状オルガノシロキサン誘導体は、アクリロイル基、メタクリロイル基に代表される重合性不飽和基が環状シロキサン主骨格にSi-O-C結合を介して連結された構造を有するため、ラジカル重合性基当量が小さい(官能基密度が高い)場合であっても低粘度であり、本発明のラジカル重合性基含有環状オルガノシロキサン誘導体を含む重合性組成物から得られる硬化物は、硬度、耐衝撃性および基材への密着性に優れ、硬化収縮の小さいものとなる。
【発明を実施するための形態】
(【0011】以降は省略されています)
この特許をJ-PlatPat(特許庁公式サイト)で参照する
関連特許
信越化学工業株式会社
コーティング剤組成物
4日前
信越化学工業株式会社
縮合硬化型熱伝導性シリコーン組成物
4日前
信越化学工業株式会社
フォトマスクブランク、及びフォトマスクの製造方法
4日前
信越化学工業株式会社
生体電極組成物、生体電極、及び生体電極の製造方法
4日前
信越化学工業株式会社
付加硬化型シリコーン組成物、その硬化物、及び光半導体装置
4日前
信越化学工業株式会社
化学増幅ポジ型レジスト組成物及びレジストパターン形成方法
4日前
信越化学工業株式会社
ヒドロキシプロピルメチルセルロースアセテートサクシネートの製造方法
4日前
信越化学工業株式会社
ヒドロキシプロピルメチルセルロースアセテートサクシネート及びその製造方法
4日前
信越化学工業株式会社
ネガ型感光性樹脂組成物、パターン形成方法、硬化被膜形成方法、層間絶縁膜、表面保護膜、及び電子部品
4日前
信越化学工業株式会社
下地基板及び単結晶ダイヤモンド積層基板並びにそれらの製造方法
1日前
株式会社カネカ
断熱材
25日前
東ソー株式会社
ペレット
1か月前
ユニチカ株式会社
透明シート
2か月前
株式会社コバヤシ
成形体
2か月前
住友精化株式会社
吸水剤の製造方法
2か月前
東ソー株式会社
プラスチゾル組成物
25日前
東レ株式会社
ポリエステルフィルム
2か月前
東レ株式会社
ポリエステルフィルム
1か月前
丸住製紙株式会社
変性パルプ
2か月前
東ソー株式会社
ゴム用接着性改質剤
1か月前
横浜ゴム株式会社
重荷重タイヤ
2か月前
東レ株式会社
ポリプロピレンフィルム
2か月前
東ソー株式会社
エチレン系重合用触媒
28日前
東ソー株式会社
樹脂組成物および蓋材
2か月前
東ソー株式会社
樹脂組成物および蓋材
2か月前
日本特殊陶業株式会社
樹脂成形体
2か月前
株式会社スリーボンド
硬化性樹脂組成物
2か月前
UBE株式会社
衝撃吸収材
2か月前
アイカ工業株式会社
光硬化性樹脂組成物
2か月前
株式会社カネカ
硬化性組成物
2か月前
住友化学株式会社
樹脂組成物
2か月前
ノリタケ株式会社
担体構造体
1か月前
三洋化成工業株式会社
熱成形用樹脂組成物
1か月前
株式会社カネカ
シーリング材
1か月前
住友ベークライト株式会社
ポリマー
1か月前
日本特殊陶業株式会社
賦形体
13日前
続きを見る
他の特許を見る