TOP
|
特許
|
意匠
|
商標
特許ウォッチ
Twitter
他の特許を見る
10個以上の画像は省略されています。
公開番号
2025166284
公報種別
公開特許公報(A)
公開日
2025-11-06
出願番号
2024070177
出願日
2024-04-24
発明の名称
ラジカル重合性基含有環状オルガノシロキサン、その製造方法およびそれを含む硬化性組成物
出願人
信越化学工業株式会社
代理人
弁理士法人英明国際特許事務所
主分類
C08F
22/20 20060101AFI20251029BHJP(有機高分子化合物;その製造または化学的加工;それに基づく組成物)
要約
【課題】低粘度で、硬度、耐衝撃性および基材への密着性に優れ、硬化収縮の小さい硬化物を与えるラジカル重合性基含有環状シロキサンを提供すること。
【解決手段】式(1)で表されるラジカル重合性基含有環状オルガノシロキサン。
<com:Image com:imageContentCategory="Drawing"> <com:ImageFormatCategory>TIFF</com:ImageFormatCategory> <com:FileName>2025166284000018.tif</com:FileName> <com:HeightMeasure com:measureUnitCode="Mm">72</com:HeightMeasure> <com:WidthMeasure com:measureUnitCode="Mm">86</com:WidthMeasure> </com:Image>
【選択図】なし
特許請求の範囲
【請求項1】
下記式(1)で表されるラジカル重合性基含有環状オルガノシロキサン。
TIFF
2025166284000015.tif
72
86
(式中、R
1
は、それぞれ独立して1価炭化水素基を表し、R
2
は、それぞれ独立して、1価炭化水素基または水素原子を表し、R
3
は、水素原子またはメチル基を表し、Aは、炭素数1~10の2価炭化水素基を表し、nは、2~6の整数であり、mは、0~4の整数であり、かつ、n+mの合計は4~6である。括弧内のシロキサン単位の配列は任意であってよい。)
続きを表示(約 740 文字)
【請求項2】
前記Aが、炭素数2~4の2価飽和炭化水素基である請求項1記載のラジカル重合性基含有環状オルガノシロキサン。
【請求項3】
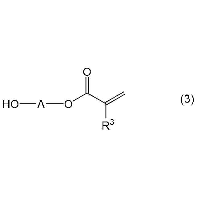
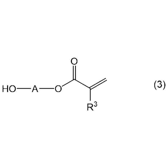
下記式(2)で表される環状ハイドロジェンシロキサンと下記式(3)で表される化合物とを、アミン触媒の存在下で脱水素反応させる請求項1記載のラジカル重合性基含有環状オルガノシロキサンの製造方法。
TIFF
2025166284000016.tif
32
86
(式中、R
1
は、それぞれ独立して1価炭化水素基を表し、pは、2~6の整数であり、qは、0~4の整数であり、かつ、p+qの合計は4~6である。括弧内のシロキサン単位の配列は任意であってよい。)
TIFF
2025166284000017.tif
30
86
(式中、R
3
は、水素原子またはメチル基を表し、Aは、炭素数1~10の2価炭化水素基を表す。)
【請求項4】
前記アミン触媒が、ジエチルヒドロキシルアミンである請求項3記載のラジカル重合性基含有環状オルガノシロキサンの製造方法。
【請求項5】
(A)請求項1記載のラジカル重合性基含有環状オルガノシロキサン、および
(B)重合開始剤
を含む硬化性組成物。
【請求項6】
さらに(C)成分として、(A)成分以外の重合性不飽和基含有化合物を含む請求項5記載の硬化性組成物。
【請求項7】
請求項5または6記載の硬化性組成物の硬化物。
【請求項8】
請求項5または6記載の硬化性組成物の硬化物を有する物品。
発明の詳細な説明
【技術分野】
【0001】
本発明は、ラジカル重合性基含有環状オルガノシロキサン、その製造方法およびそれを含む硬化性組成物に関する。
続きを表示(約 2,400 文字)
【背景技術】
【0002】
環状シロキサンを主骨格とし、重合性の有機官能基を有した化合物は、シロキサン骨格の耐熱性、耐候性、低硬化収縮に優れる性質から、電子材料用封止材のバインダーやレンズ成形材、ハードコート等の塗料用バインダーとして応用されている。
【0003】
例えば、特許文献1では、ハードコートに求められる硬さと衝撃に耐え得る柔軟性および長期の屋外暴露に対する耐候性の改良を目的とし、水酸基(-OH)を有する環状シロキサン誘導体と、イソシアナト基(-N=C=O)および(メタ)アクリロイル基を有する化合物との反応により、環状シロキサン骨格にウレタン結合[-O-(C=O)-NH-]を介して重合性官能基として(メタ)アクリロイル基含有基を導入した化合物を、多官能(メタ)アクリレートを使用した光硬化性コーティング組成物のバインダーに応用する技術が提案されている。
【0004】
しかし、ウレタン結合を含む多官能(メタ)アクリレート化合物は、ウレタン結合部位の分子間相互作用により凝集、高粘度化しやすく、有機溶媒による希釈が必要となる等、取り扱いおよび環境負荷の点で問題があった。
【0005】
また、特許文献2~4では、Si-O-C結合を介して重合性官能基が導入されたシリコーンオリゴマーが提案されているが、これらのシロキサン骨格はいずれも、テトラクロロシランやシリケートなどの4官能性シロキサン単位の縮合物からなるためランダム構造であり、主鎖の構造制御が困難であった。
【先行技術文献】
【特許文献】
【0006】
特開2020-66577号公報
特開平10-245247号公報
特開2005-258119号公報
特開2016-209874号公報
【発明の概要】
【発明が解決しようとする課題】
【0007】
本発明は、上記事情に鑑みなされたもので、低粘度であり、硬度、耐衝撃性および基材への密着性に優れ、硬化収縮の小さい硬化物を与えるラジカル重合性基含有環状シロキサン、その製造方法およびそれを含む硬化性組成物を提供することを目的とする。
【課題を解決するための手段】
【0008】
本発明者は、上記目的を達成するため鋭意検討を行った結果、ラジカル重合性官能基が環状シロキサン構造にSi-O-C結合を介して導入された環状オルガノシロキサンが、官能基当量が小さいにもかかわらず低粘度であるとともに、硬度、耐衝撃性および基材への密着性に優れ、硬化収縮の小さい硬化物を与えることを見出し、本発明を完成した。
【0009】
すなわち、本発明は、
1. 下記式(1)で表されるラジカル重合性基含有環状オルガノシロキサン、
TIFF
2025166284000001.tif
72
86
(式中、R
1
は、それぞれ独立して1価炭化水素基を表し、R
2
は、それぞれ独立して、1価炭化水素基または水素原子を表し、R
3
は、水素原子またはメチル基を表し、Aは、炭素数1~10の2価炭化水素基を表し、nは、2~6の整数であり、mは、0~4の整数であり、かつ、n+mの合計は4~6である。括弧内のシロキサン単位の配列は任意であってよい。)
2. 前記Aが、炭素数2~4の2価飽和炭化水素基である1のラジカル重合性基含有環状オルガノシロキサン、
3. 下記式(2)で表される環状ハイドロジェンシロキサンと下記式(3)で表される化合物とを、アミン触媒の存在下で脱水素反応させる1のラジカル重合性基含有環状オルガノシロキサンの製造方法、
TIFF
2025166284000002.tif
32
86
(式中、R
1
は、それぞれ独立して1価炭化水素基を表し、pは、2~6の整数であり、qは、0~4の整数であり、かつ、p+qの合計は4~6である。括弧内のシロキサン単位の配列は任意であってよい。)
TIFF
2025166284000003.tif
30
86
(式中、R
3
は、水素原子またはメチル基を表し、Aは、炭素数1~10の2価炭化水素基を表す。)
4. 前記アミン触媒が、ジエチルヒドロキシルアミンである3のラジカル重合性基含有環状オルガノシロキサンの製造方法、
5. (A)1のラジカル重合性基含有環状オルガノシロキサン、および
(B)重合開始剤
を含む硬化性組成物、
6. さらに(C)成分として、(A)成分以外の重合性不飽和基含有化合物を含む5の硬化性組成物、
7. 5または6の硬化性組成物の硬化物、
8. 5または6の硬化性組成物の硬化物を有する物品
を提供する。
【発明の効果】
【0010】
本発明のラジカル重合性基含有環状オルガノシロキサンは、アクリロイル基、メタクリロイル基に代表される重合性不飽和基が環状シロキサン主骨格にSi-O-C結合を介して連結された構造を有するため、ラジカル重合性基当量が小さい(官能基密度が高い)場合であっても低粘度であり、本発明のラジカル重合性基含有環状オルガノシロキサンを含む重合性組成物から得られる硬化物は、硬度、耐衝撃性および基材への密着性に優れ、硬化収縮の小さいものとなる。
【発明を実施するための形態】
(【0011】以降は省略されています)
この特許をJ-PlatPat(特許庁公式サイト)で参照する
関連特許
信越化学工業株式会社
化粧料
1か月前
信越化学工業株式会社
電磁波遮蔽部材
1か月前
信越化学工業株式会社
炭化金属被覆材料
13日前
信越化学工業株式会社
硬化性樹脂組成物
5日前
信越化学工業株式会社
コーティング剤組成物
4日前
信越化学工業株式会社
熱軟化性熱伝導性組成物
5日前
信越化学工業株式会社
光ファイバ母材の製造方法
1か月前
信越化学工業株式会社
レジストパターン形成方法
1か月前
信越化学工業株式会社
レジストパターン形成方法
1か月前
信越化学工業株式会社
複合基板およびその製造方法
1か月前
信越化学工業株式会社
ガラスクロス及びその製造方法
5日前
信越化学工業株式会社
非晶質固体分散体を含む複合物
1か月前
信越化学工業株式会社
オルガノポリシロキサンを含む冷媒
18日前
信越化学工業株式会社
オルガノポリシロキサンを含む冷媒
18日前
信越化学工業株式会社
オルガノポリシロキサンを含む冷媒
18日前
信越化学工業株式会社
光ファイバ用多孔質母材の製造装置
1か月前
信越化学工業株式会社
レジスト組成物及びパターン形成方法
1か月前
信越化学工業株式会社
レジスト組成物及びパターン形成方法
1か月前
信越化学工業株式会社
パターン形成方法およびレジスト材料
1か月前
信越化学工業株式会社
シリコーンゴム組成物及びその硬化物
1か月前
信越化学工業株式会社
レジスト組成物及びパターン形成方法
1か月前
信越化学工業株式会社
レジスト組成物及びパターン形成方法
1か月前
信越化学工業株式会社
縮合硬化型熱伝導性シリコーン組成物
4日前
信越化学工業株式会社
室温硬化性オルガノポリシロキサン組成物
1か月前
信越化学工業株式会社
熱伝導性シリコーン組成物及びその硬化物
1か月前
信越化学工業株式会社
酸化物単結晶複合基板およびその製造方法
1か月前
信越化学工業株式会社
熱伝導性シリコーン組成物及びその硬化物
20日前
信越化学工業株式会社
ファラデー回転子及び光アイソレータの製造方法
1か月前
信越化学工業株式会社
シロキサン変性ポリエステル樹脂及びその硬化物
1か月前
信越化学工業株式会社
超音波カップリング材複合膜及び超音波検査方法
12日前
信越化学工業株式会社
熱伝導性シリコーン組成物、硬化物及び製造方法
1か月前
信越化学工業株式会社
含窒素多官能オルガノキシシラン化合物の製造方法
20日前
信越化学工業株式会社
オルガノポリシロキサン及びこれを含有する化粧料
25日前
信越化学工業株式会社
熱伝導性シリコーン接着剤組成物及び熱伝導性複合体
1か月前
信越化学工業株式会社
生体電極組成物、生体電極、及び生体電極の製造方法
4日前
信越化学工業株式会社
フォトマスクブランク、及びフォトマスクの製造方法
4日前
続きを見る
他の特許を見る