TOP
|
特許
|
意匠
|
商標
特許ウォッチ
Twitter
他の特許を見る
10個以上の画像は省略されています。
公開番号
2025164676
公報種別
公開特許公報(A)
公開日
2025-10-30
出願番号
2024225096
出願日
2024-12-20
発明の名称
組成物及びその利用
出願人
マルハニチロ株式会社
代理人
弁理士法人特許事務所サイクス
主分類
A23L
33/10 20160101AFI20251023BHJP(食品または食料品;他のクラスに包含されないそれらの処理)
要約
【課題】DAGEを含む新規な組成物を提供する。また、DAGEの新たな用途を提供する。
【解決手段】
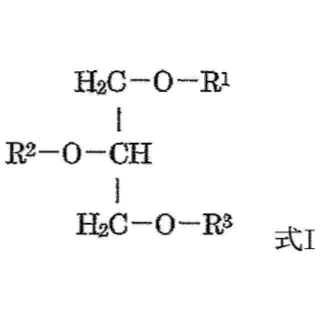
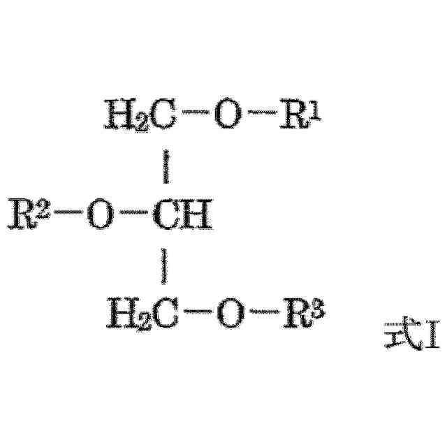
A.式I(式I中、R
1
は不飽和度0~2、炭素数12~24の脂肪族炭化水素基であり、R
2
は不飽和度0~6、炭素数12~24のアシル基であり、R
3
は不飽和度0~6、炭素数12~24のアシル基である。)で表されるジアシルグリセリルエーテル(DAGE)、及びB.スクワレンを含み、A:B(質量比)が、0.9~9:1である、組成物を提供する。
<com:Image com:imageContentCategory="Drawing"> <com:ImageFormatCategory>TIFF</com:ImageFormatCategory> <com:FileName>2025164676000010.tif</com:FileName> <com:HeightMeasure com:measureUnitCode="Mm">31</com:HeightMeasure> <com:WidthMeasure com:measureUnitCode="Mm">170</com:WidthMeasure> </com:Image> 【選択図】なし
特許請求の範囲
【請求項1】
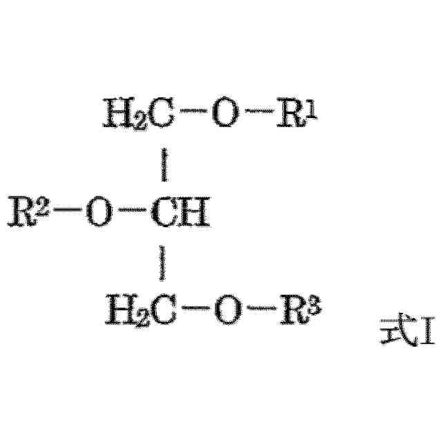
A. 式I:
TIFF
2025164676000008.tif
31
170
(式I中、R
1
は不飽和度0~2、炭素数12~24の脂肪族炭化水素基であり、R
2
は不飽和度0~6、炭素数12~24のアシル基であり、R
3
は不飽和度0~6、炭素数12~24のアシル基である。)
で表されるジアシルグリセリルエーテル(DAGE)、及び
B. スクワレン
を含み、
A:B(質量比)が、0.9~9:1である、組成物。
続きを表示(約 670 文字)
【請求項2】
一日あたり400mg以上のDAGEが摂取されるように製剤される、請求項1に記載の組成物。
【請求項3】
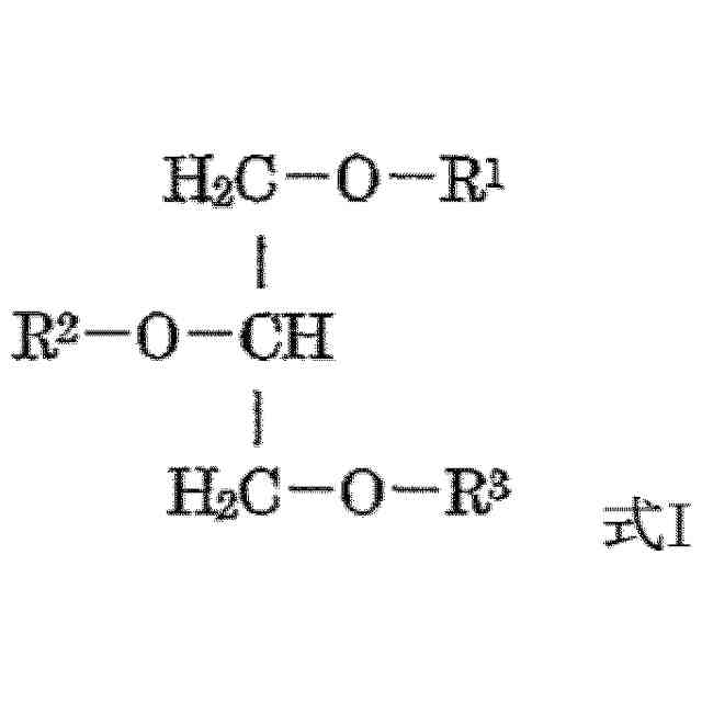
式I:
TIFF
2025164676000009.tif
31
170
(式I中、R
1
は不飽和度0~2、炭素数12~24の脂肪族炭化水素基であり、R
2
は不飽和度0~6、炭素数12~24のアシル基であり、R
3
は不飽和度0~6、炭素数12~24のアシル基である。)
で表されるジアシルグリセリルエーテル(DAGE)を含む、ネガティブな気分状態、怒り、疲労、無気力、混乱及び心の健康から選択される少なくとも一つを改善するための組成物。
【請求項4】
請求項3に定義したDAGEを含む、ネガティブな気分状態である対象の、怒り、疲労、無気力及び混乱から選択される少なくとも一つを和らげ、気分状態の向上のための組成物。
【請求項5】
組成物が、スクワレンをさらに含む、請求項3に記載の組成物。
【請求項6】
組成物が、トリグリセリドをさらに含む、請求項3に記載の組成物。
【請求項7】
日頃ストレスを感じやすい対象、又はネガティブな気分状態である対象に摂取させるための、請求項3に記載の組成物。
【請求項8】
一日あたり400mg以上のDAGEを、12週間以上摂取させるための、請求項1から7のいずれか1項に記載の組成物。
発明の詳細な説明
【技術分野】
【0001】
本発明は、ジアシルグリセリルエーテル(DAGE)を含む組成物、及びその利用に関する。
続きを表示(約 1,700 文字)
【背景技術】
【0002】
ジアシルグリセリルエーテル(DAGE)は、水産動物油脂中に広く分布し、サメやイカの肝臓に由来する油脂に特に多く含まれている。DAGEにはいくつかの機能が知られている。例えば特許文献1には、ジアシルグリセリルエーテルを有効成分として含有する経口用の、紫外線による皮膚の損傷の予防・治療剤が記載されている。また特許文献2には、魚卵脂質調製物及びジアシルグリセリルエーテル(DAGE)を含む、睡眠の質を改善するための組成物が記載されている。
【0003】
またDAGEについては、概日リズムへ与える影響(非特許文献1)、DHA・EPA含有イクラオイル及びDAGE含有深海サメ肝油を一時的に睡眠に不満を感じている健康な者が摂取すると深睡眠とレム睡眠の割合が増加し、睡眠の質を向上させることが確認されたこと、さらに活気活力が低下している者の不安感・緊張感・気分の落ち込みを和らげ、活気・活力の向上と日中の眠気を軽減したことが報告されている(非特許文献2、3)。さらに、深海鮫肝油含有食品の摂取が日本人健常者の活力に与える影響について報告されている(非特許文献4)。
【先行技術文献】
【特許文献】
【0004】
国際公開WO2004/000301(特許第4417249号)
国際公開WO2022/210856
【非特許文献】
【0005】
小林莉央ら, 時間生物学 (Journal of Chronobiology), 28巻, 2号, p216, 2022
中川 育ら, 睡眠に不満を感じている人におけるイクラオイル由来DHA・イクラオイル由来EPA・深海鮫肝油由来DAGE含有油脂加工食品の睡眠の質改善と抗ストレス効果の検証-ランダム化二重盲検プラセボ対照並行群間比較試験-, Jpn Pharmacol Ther(薬理と治療), Vol.49, No.6, p977-990, 2021
高田有華ら, 疲労・ストレス・睡眠に関する機能性表示食品の開発最前線 DHA・EPA・DAGE(ジアシルグリセリルエーテル)含有油脂加工食品によるレム睡眠と深睡眠の増加作用, 月刊ファインケミカル, 52巻, 4号, p40-48, 2023
吉永侑生ら, 深海鮫肝油含有食品の摂取が日本人健常者の活力に与える影響-ランダム化二重盲検プラセボ対照二重盲検併行群間比較試験-, Jpn Pharmacol Ther(薬理と治療), Vol.46, No.9, p1399-1425, 2021
【発明の概要】
【発明が解決しようとする課題】
【0006】
DAGEを含む新規な組成物であって、効果の高い組成物を提供することができれば望ましい。また、DAGEの新たな用途が提供できれば望ましい。
【課題を解決するための手段】
【0007】
本発明は以下を提供する。
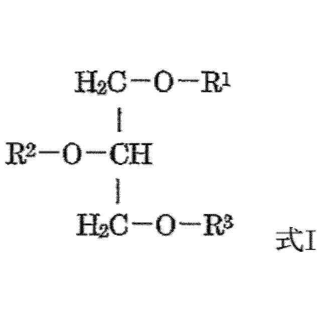
[1]A. 式I:
【0008】
TIFF
2025164676000001.tif
31
170
【0009】
(式I中、R
1
は不飽和度0~2、炭素数12~24の脂肪族炭化水素基であり、R
2
は不飽和度0~6、炭素数12~24のアシル基であり、R
3
は不飽和度0~6、炭素数12~24のアシル基である。)
で表されるジアシルグリセリルエーテル(DAGE)、及び
B. スクワレン
を含み、
A:B(質量比)が、0.9~9:1である、組成物。
[2] 一日あたり400mg以上のDAGEが摂取されるように製剤される、1に記載の組成物。
[3] 式I:
【0010】
TIFF
2025164676000002.tif
31
170
(【0011】以降は省略されています)
この特許をJ-PlatPat(特許庁公式サイト)で参照する
関連特許
マルハニチロ株式会社
殻付き喫食用エビ
1か月前
マルハニチロ株式会社
組成物及びその利用
1か月前
マルハニチロ株式会社
養殖対象の育成方法及び養殖対象の育成管理用システム
1か月前
マルハニチロ株式会社
脂質組成物
1か月前
個人
ペットフード
7か月前
個人
健康促進霊芝茶
2か月前
個人
古代食品塩梅醤
6か月前
不二製油株式会社
グミ類
2か月前
ライソン株式会社
焙煎機
5か月前
個人
具入り餅食品
7か月前
不二製油株式会社
組成物
1か月前
個人
ジャム
6か月前
不二製油株式会社
加工食品
3か月前
不二製油株式会社
油性食品
2か月前
個人
ヨーグルト等の発酵器
2か月前
池田食研株式会社
微粉状食品
5か月前
株式会社東洋新薬
経口組成物
1か月前
株式会社東洋新薬
経口組成物
5か月前
不二製油株式会社
光照射油脂
1か月前
不二製油株式会社
卵代替素材
6か月前
不二製油株式会社
油脂組成物
4か月前
株式会社東洋新薬
経口組成物
3か月前
池田食研株式会社
風味改善剤
5か月前
株式会社ソディック
計量装置
6か月前
不二製油株式会社
油脂組成物
2か月前
個人
可食性素材からなる容器
22日前
株式会社ソディック
計量装置
6か月前
株式会社東洋新薬
飲料
1か月前
奥野製薬工業株式会社
処理方法
1か月前
不二製油株式会社
チーズ様食品
5か月前
東ソー株式会社
食品品質保持剤
4か月前
アサヒ飲料株式会社
飲料
5か月前
有限会社丸繁商店
メカブ
7か月前
有限会社丸繁商店
メカブ
7か月前
有限会社丸繁商店
メカブ
7か月前
不二製油株式会社
異風味抑制剤
7か月前
続きを見る
他の特許を見る