TOP
|
特許
|
意匠
|
商標
特許ウォッチ
Twitter
他の特許を見る
10個以上の画像は省略されています。
公開番号
2025158896
公報種別
公開特許公報(A)
公開日
2025-10-17
出願番号
2024176751
出願日
2024-10-08
発明の名称
電子写真装置
出願人
キヤノン株式会社
代理人
個人
,
個人
,
個人
,
個人
主分類
G03G
5/06 20060101AFI20251009BHJP(写真;映画;光波以外の波を使用する類似技術;電子写真;ホログラフイ)
要約
【課題】高温高湿環境下でのクリーニング性の悪化を抑制した電子写真装置の提供。
【解決手段】電子写真感光体が、式(A)で示される化合物、式(B)で示される繰り返し構造を有する結着樹脂、脂肪酸又はシランカップリング剤から選択される少なくとも一種類で表面処理をしたアルミナ粒子を含有する表面層を有し、トナーが、ポリエチレンテレフタレートセグメントを有するポリエステル樹脂を含有するトナー粒子を有する、ことを特徴とする電子写真装置。
【選択図】なし
特許請求の範囲
【請求項1】
電子写真感光体と、
該電子写真感光体の表面を帯電するための帯電手段と、
帯電された該電子写真感光体の表面に像露光光を照射して該電子写真感光体の表面に静電潜像を形成するための像露光手段と、
トナーを有し、該静電潜像を該トナーにより現像して該電子写真感光体の表面にトナー像を形成するための現像手段と、
該トナー像を該電子写真感光体の表面から転写材に転写するための転写手段と、
該トナー像を該電子写真感光体の表面から転写材に転写した後に該電子写真感光体の表面に残留する残留トナーを除去するためのクリーニング手段と、
を有する電子写真装置であって、
該電子写真感光体が、支持体、電荷発生層、第一の正孔輸送層、第二の正孔輸送層をこの順に有し、
該第二の正孔輸送層が表面層であり、
該表面層が、下記式(A)で示される正孔輸送物質、下記式(B)で示される繰り返し構造を有する結着樹脂、及び金属酸化物フィラーとして脂肪酸又はシランカップリング剤から選択される少なくとも一種類で表面処理をしたアルミナ粒子を有し、
該表面層に含まれるアルミナ粒子の含有率が、表面層の正孔輸送物質基準で10%~100%であり、
正孔輸送物質の含有率が、結着樹脂基準で85%~150%であり、及び
該現像手段に含有される該トナーが、ポリエチレンテレフタレートセグメントを有するポリエステル樹脂を含有するトナー粒子を有する、
ことを特徴とする電子写真装置。
JPEG
2025158896000034.jpg
25
91
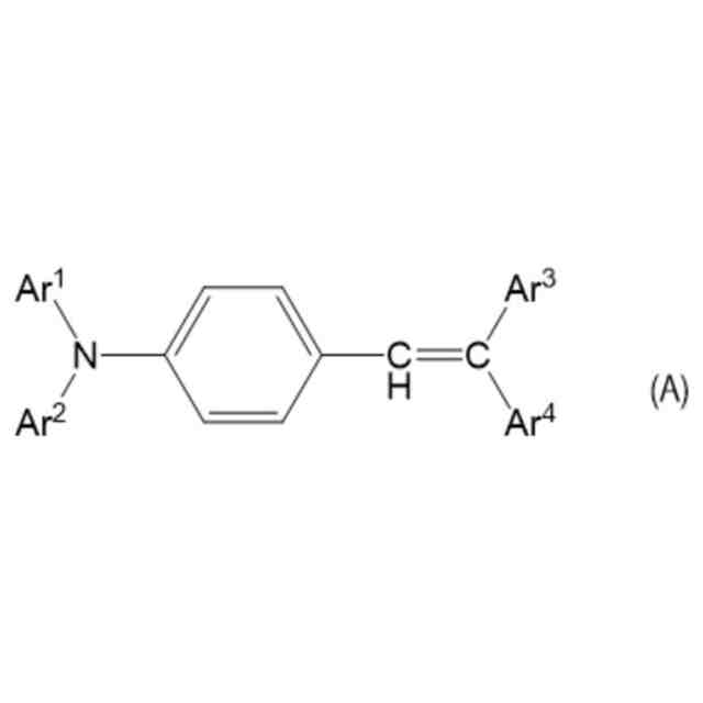
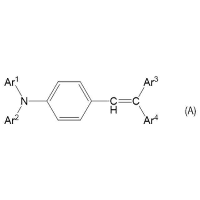
(式(A)中、Ar
1
~Ar
4
は、それぞれ独立に、フェニル基、又はメチル基で置換されたフェニル基を示す。)
JPEG
2025158896000035.jpg
44
110
(式(B)中、R
5
~R
8
は、それぞれ独立に、水素原子又はメチル基を示し、X1は、置換基としてアルキル基又はフェニル基を有しても良いメチレン基、シクロヘキシリデン基、酸素原子、又は単結合を示す。)
続きを表示(約 1,500 文字)
【請求項2】
前記表面層に含まれる正孔輸送物質及び結着樹脂の含有率が、表面層の質量基準で以下の範囲内であることを特徴とする請求項1に記載の電子写真装置。
正孔輸送物質:31%~57%
結着樹脂:28%~52%
【請求項3】
前記表面層に含まれる正孔輸送物質の含有率が、結着樹脂基準で85%~100%であり、かつ正孔輸送物質及び結着樹脂の含有率が、表面層の質量基準で以下の範囲内であることを特徴とする請求項1に記載の電子写真装置。
正孔輸送物質:31%~47%
結着樹脂:35%~52%
【請求項4】
前記表面層に含まれる脂肪酸が、ポリカルボン酸化合物であることを特徴とする請求項1に記載の電子写真装置。
【請求項5】
前記表面層に含まれるシランカップリング剤が、γ-グリシドキシプロピルメチルジエトキシシランであることを特徴とする請求項1に記載の電子写真装置。
【請求項6】
前記トナーが、結着樹脂を含有するトナー粒子を有し、
該結着樹脂が、非晶性樹脂Aと、結晶性ポリエステル樹脂Cとを含有し、
該非晶性樹脂Aは、ポリエステル樹脂であって、ポリエステル骨格を形成する構造として、
(i)ポリエチレンテレフタレートセグメント、及び
(ii)下記式(1)で表される構造、下記式(2)で表される構造、下記式(3)で表される構造、及び下記式(4)からなる群より選択される少なくとも一の構造、を有し、
JPEG
2025158896000036.jpg
29
62
(式(1)中、R
1
は、炭素数6~16のアルキル基又は炭素数6~16のアルケニル基を表し、Aは、炭化水素基を表し、*は、ポリエステル骨格における結合部を表し、mは、2以上の整数を表す。)
JPEG
2025158896000037.jpg
23
62
(式(2)中、R
2
は、炭素数6~16のアルキル基又は炭素数6~16のアルケニル基を表し、Bは、炭化水素基を表し、*は、ポリエステル骨格における結合部を表し、nは、2以上の整数を表す。)
JPEG
2025158896000038.jpg
22
90
(式(3)中、*は、ポリエステル骨格における結合部を表し、xは、6~16の整数を表す。)
JPEG
2025158896000039.jpg
15
84
(式(4)中、*は、ポリエステル骨格における結合部を表し、yは、6~16の整数を表す。)
該非晶性樹脂AのSP値をSPA(cal/cm
3
)
0.5
、該結晶性ポリエステル樹脂CのSP値をSPC(cal/cm
3
)
0.5
としたとき、該SPAと該SPCとが下記式(C)を満たし、
1.00≦SPA-SPC≦1.35・・・(C)
該トナーがリン化合物由来のリン元素を含有し、該トナーの質量を基準とした、該トナー中の該リン元素の含有量をWP(ppm)としたとき、該WPが下記式(D)を満たすことを特徴とする請求項1~5のいずれか一項に記載の電子写真装置。
5≦WP≦500・・・(D)
【請求項7】
前記WPが下記式(E)を満たす請求項6に記載の電子写真装置。
20≦WP≦500・・・(E)
発明の詳細な説明
【技術分野】
【0001】
本開示は、電子写真装置に関する。
続きを表示(約 2,200 文字)
【背景技術】
【0002】
近年電子写真装置には高速化、小型化、省エネルギーといった様々な要求がされている。電子写真装置に用いる電子写真感光体には高速化に対応した高感度化が要求されており、例えば特許文献1には正孔輸送物質の含有量を増加させる手法を用いることで高感度な電子写真感光体を提供する技術が記載されている。
【0003】
また、省エネルギーな電子写真装置を実現するために、低温でトナーを定着する技術が提案されている。特許文献2には、ポリエチレンテレフタレートと、アルコール成分と、カルボン酸成分とを反応させて得られるポリエステルを樹脂成分の一つとして有するトナーに関する技術が記載されている。
【先行技術文献】
【特許文献】
【0004】
特開2004-045517号公報
特開2004-280085号公報
【発明の概要】
【発明が解決しようとする課題】
【0005】
しかしながら、上記の特許文献1と2を組み合わせて使用した場合、高温高湿環境下でのクリーニング性に改善の余地があった。すなわち、正孔輸送物質の含有量を増加させることで、ポリエステルを樹脂成分の一つとして有するトナーとの相互作用が強まり転写残トナーが増える場合があり、結果としてクリーニング性が悪化する場合があった。
【0006】
本開示は、高温高湿環境下でのクリーニング性の悪化を抑制した電子写真装置の提供に向けたものである。
【課題を解決するための手段】
【0007】
本開示によれば、電子写真感光体の表面を帯電するための帯電手段と、
帯電された該電子写真感光体の表面に像露光光を照射して該電子写真感光体の表面に静電潜像を形成するための像露光手段と、
トナーを有し、該静電潜像を該トナーにより現像して該電子写真感光体の表面にトナー像を形成するための現像手段と、該トナー像を該電子写真感光体の表面から転写材に転写するための転写手段と、
該トナー像を該電子写真感光体の表面から転写材に転写した後に該電子写真感光体の表面に残留する残留トナーを除去するためのクリーニング手段と、
を有する電子写真装置であって、
該電子写真感光体が、支持体、電荷発生層、第一の正孔輸送層、第二の正孔輸送層をこの順に有し、該第二の正孔輸送層が表面層であり、
該表面層が、下記式(A)で示される正孔輸送物質、下記式(B)で示される繰り返し構造を有する結着樹脂、及び金属酸化物フィラーとして脂肪酸又はシランカップリング剤から選択される少なくとも一種類で表面処理をしたアルミナ粒子を有し、
該表面層に含まれるアルミナ粒子の含有率が、表面層の正孔輸送物質基準で10%~100%であり、
該正孔輸送物質の含有率が、結着樹脂基準で85%~150%であり、及び
該現像手段に含有される該トナーが、ポリエチレンテレフタレートセグメントを有するポリエステル樹脂を含有するトナー粒子を有する、
ことを特徴とする電子写真装置が提供される。
JPEG
2025158896000001.jpg
25
91
(式(A)中、Ar
1
~Ar
4
は、それぞれ独立に、フェニル基、又はメチル基で置換されたフェニル基を示す。)
JPEG
2025158896000002.jpg
44
110
(式(B)中、R
5
~R
8
は、それぞれ独立に、水素原子又はメチル基を示し、X
1
は、置換基としてアルキル基又はフェニル基を有しても良いメチレン基、シクロヘキシリデン基、酸素原子又は単結合を示す。)
【発明の効果】
【0008】
本開示の一態様によれば、高温高湿環境下でのクリーニング性の悪化を抑制した電子写真装置が提供できる。
【図面の簡単な説明】
【0009】
本開示の電子写真感光体を備えたプロセスカートリッジの一例を示す図である。
本開示の電子写真感光体を備えた電子写真装置の一例を示す図である。
電子写真感光体の構成の一例を示す概略図である。
【発明を実施するための形態】
【0010】
本発明者らの検討の結果、表面層に、上記式(A)で示される正孔輸送物質、上記式(B)で示される繰り返し構造を有する結着樹脂、及び金属酸化物フィラーとして脂肪酸又はシランカップリング剤から選択される少なくとも一種類で表面処理をしたアルミナ粒子を有し、
該表面層に含まれるアルミナ粒子の含有率が、表面層の正孔輸送物質基準で10%~100%であり、
正孔輸送物質の含有率が、結着樹脂基準で85%~150%であり、及び
現像手段に含有されるトナーが、ポリエチレンテレフタレートセグメントを有するポリエステル樹脂を含有するトナー粒子を有する、ことで高温高湿環境下でのクリーニング性の悪化を抑制できることを見出した。
(【0011】以降は省略されています)
この特許をJ-PlatPat(特許庁公式サイト)で参照する
関連特許
キヤノン株式会社
容器
25日前
キヤノン株式会社
容器
19日前
キヤノン株式会社
トナー
11日前
キヤノン株式会社
トナー
28日前
キヤノン株式会社
表示装置
19日前
キヤノン株式会社
電子機器
11日前
キヤノン株式会社
記録装置
25日前
キヤノン株式会社
測距装置
1か月前
キヤノン株式会社
定着装置
4日前
キヤノン株式会社
測距装置
13日前
キヤノン株式会社
記録装置
11日前
キヤノン株式会社
撮像装置
25日前
キヤノン株式会社
撮像装置
25日前
キヤノン株式会社
撮像装置
25日前
キヤノン株式会社
記録装置
11日前
キヤノン株式会社
現像装置
1か月前
キヤノン株式会社
定着装置
4日前
キヤノン株式会社
電子機器
11日前
キヤノン株式会社
雲台装置
11日前
キヤノン株式会社
定着装置
4日前
キヤノン株式会社
撮像装置
11日前
キヤノン株式会社
撮像装置
19日前
キヤノン株式会社
電子機器
6日前
キヤノン株式会社
撮像装置
6日前
キヤノン株式会社
撮像装置
12日前
キヤノン株式会社
記録装置
4日前
キヤノン株式会社
露光ヘッド
4日前
キヤノン株式会社
液体収容体
14日前
キヤノン株式会社
液体収容体
13日前
キヤノン株式会社
画像処理装置
14日前
キヤノン株式会社
画像形成装置
19日前
キヤノン株式会社
画像形成装置
12日前
キヤノン株式会社
画像形成装置
12日前
キヤノン株式会社
画像形成装置
19日前
キヤノン株式会社
画像形成装置
1か月前
キヤノン株式会社
画像形成装置
19日前
続きを見る
他の特許を見る