TOP
|
特許
|
意匠
|
商標
特許ウォッチ
Twitter
他の特許を見る
10個以上の画像は省略されています。
公開番号
2025153375
公報種別
公開特許公報(A)
公開日
2025-10-10
出願番号
2024055835
出願日
2024-03-29
発明の名称
メタサーフェスレンズ
出願人
TDK株式会社
代理人
個人
,
個人
,
個人
主分類
G02B
1/118 20150101AFI20251002BHJP(光学)
要約
【課題】反射光を抑制すること。
【解決手段】メタサーフェスレンズ1は、面11a及び面11aとは第1方向において反対側の面11bを有する透明基板11と、面11aに設けられた反射防止層12と、反射防止層12に設けられた複数の柱状体13aであって、第1方向において透明基板11とは反対側に延びる複数の柱状体13aを含むメタサーフェス構造13と、を備える。
【選択図】図1
特許請求の範囲
【請求項1】
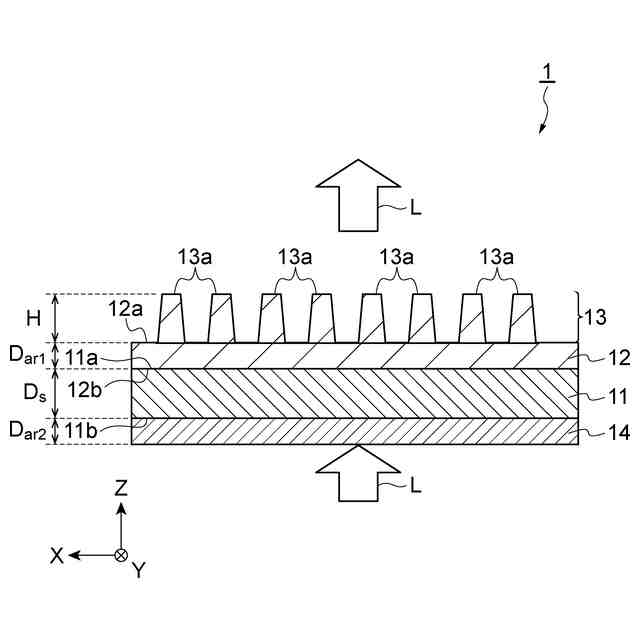
第1面及び前記第1面とは第1方向において反対側の第2面を有する透明基板と、
前記第1面に設けられた第1反射防止層と、
前記第1反射防止層に設けられた複数の柱状体であって、前記第1方向において前記透明基板とは反対側に延びる前記複数の柱状体を含むメタサーフェス構造と、
を備える、メタサーフェスレンズ。
続きを表示(約 860 文字)
【請求項2】
前記第2面に設けられた第2反射防止層を更に備える、請求項1に記載のメタサーフェスレンズ。
【請求項3】
前記第2面に設けられた反射層を更に備える、請求項1に記載のメタサーフェスレンズ。
【請求項4】
前記メタサーフェス構造は、可視光透過性を有する材料で構成されている、請求項1~請求項3のいずれか一項に記載のメタサーフェスレンズ。
【請求項5】
前記メタサーフェス構造は、シリコン酸化物、シリコン窒化物、チタン酸化物、及びチタン窒化物からなる組から選択された一つの化合物で構成される、請求項4に記載のメタサーフェスレンズ。
【請求項6】
前記第1反射防止層は、前記メタサーフェス構造の屈折率と同じか前記メタサーフェス構造の屈折率よりも高い屈折率を有する、請求項1~請求項3のいずれか一項に記載のメタサーフェスレンズ。
【請求項7】
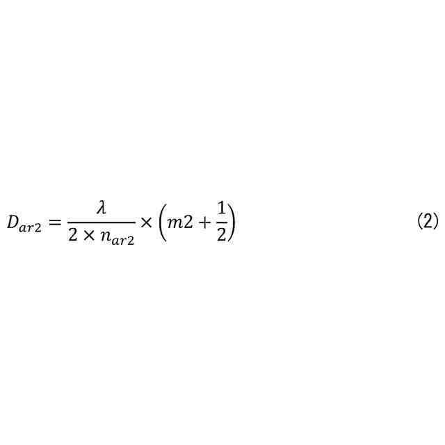
前記第1反射防止層の前記屈折率は、前記透明基板の屈折率よりも低く、
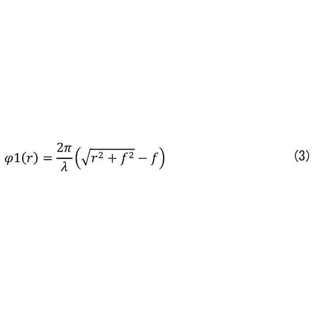
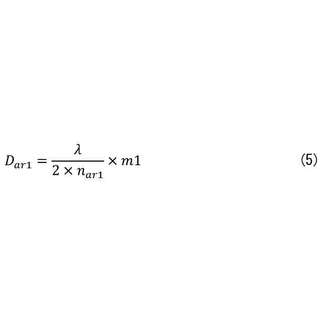
前記第1反射防止層の前記第1方向における長さは、可視光の波長を前記第1反射防止層の前記屈折率の4倍で除算した除算結果の奇数倍である、請求項6に記載のメタサーフェスレンズ。
【請求項8】
前記第1反射防止層の前記屈折率は、前記透明基板の屈折率よりも高く、
前記第1反射防止層の前記第1方向における長さは、可視光の波長を前記第1反射防止層の前記屈折率の2倍で除算した除算結果の整数倍である、請求項6に記載のメタサーフェスレンズ。
【請求項9】
前記第1反射防止層は、シリコン酸化物及びシリコン窒化物からなる組から選択された一つの化合物で構成される、請求項1~請求項3のいずれか一項に記載のメタサーフェスレンズ。
【請求項10】
前記第1反射防止層は、前記メタサーフェス構造と同じ材料で構成されている、請求項1~請求項3のいずれか一項に記載のメタサーフェスレンズ。
発明の詳細な説明
【技術分野】
【0001】
本開示は、メタサーフェスレンズに関する。
続きを表示(約 1,100 文字)
【背景技術】
【0002】
基板と、基板の第1面に形成されたナノ構造と、基板の第2面に反射防止コーティングと、を含むメタレンズが知られている(例えば、特許文献1参照)。
【先行技術文献】
【特許文献】
【0003】
特表2018-537804号公報
【発明の概要】
【発明が解決しようとする課題】
【0004】
特許文献1に記載のメタレンズ(メタサーフェスレンズ)においては、基板とナノ構造との境界において生じる反射光を抑制することができない。
【0005】
本開示は、反射光を抑制可能なメタサーフェスレンズを説明する。
【課題を解決するための手段】
【0006】
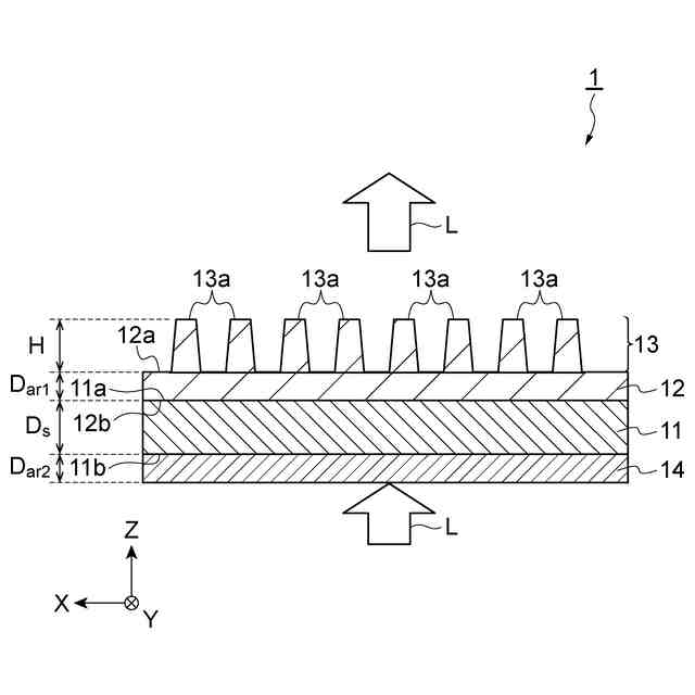
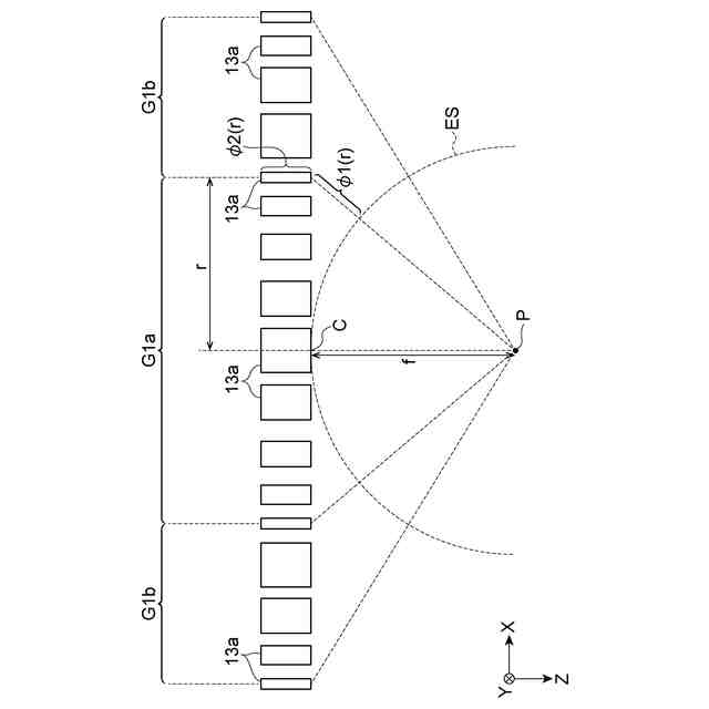
本開示の一側面に係るメタサーフェスレンズは、第1面及び第1面とは第1方向において反対側の第2面を有する透明基板と、第1面に設けられた第1反射防止層と、第1反射防止層に設けられた複数の柱状体であって、第1方向において透明基板とは反対側に延びる複数の柱状体を含むメタサーフェス構造と、を備える。
【0007】
このメタサーフェスレンズにおいては、透明基板とメタサーフェス構造との間に第1反射防止層が設けられている。したがって、透明基板とメタサーフェス構造との間において生じる反射光を抑制することができる。
【0008】
上記メタサーフェスレンズは、第2面に設けられた第2反射防止層を更に備えてもよい。例えば、透明基板の第2面から第1面に向かって可視光を入射する場合、透明基板の第2面において反射光が生じ得る。上記構成によれば、透明基板の第2面に第2反射防止層が設けられているので、透明基板の第2面において生じる反射光を抑制することができる。
【0009】
上記メタサーフェスレンズは、第2面に設けられた反射層を更に備えてもよい。この場合、透明基板の第1面から第2面に向かって可視光を入射することにより、反射層によって可視光が反射され、反射された可視光が透明基板、第1反射防止層、及びメタサーフェス構造を順に透過する。この場合も、透明基板とメタサーフェス構造との間において生じる反射光を抑制することができる。
【0010】
メタサーフェス構造は、可視光透過性を有する材料で構成されてもよい。この場合、可視光が柱状体を通過することによって、可視光の位相遅延が生じる。したがって、各柱状体において生じる位相遅延を適宜調整することで、所望のレンズ機能を得ることができる。
(【0011】以降は省略されています)
この特許をJ-PlatPat(特許庁公式サイト)で参照する
関連特許
TDK株式会社
センサ
2か月前
TDK株式会社
電子部品
1か月前
TDK株式会社
電子部品
3か月前
TDK株式会社
フィルタ
1か月前
TDK株式会社
電子部品
2か月前
TDK株式会社
電子部品
1か月前
TDK株式会社
圧電素子
1か月前
TDK株式会社
電子部品
1か月前
TDK株式会社
電子部品
3か月前
TDK株式会社
電子部品
1か月前
TDK株式会社
電子部品
1か月前
TDK株式会社
フィルタ
2か月前
TDK株式会社
電子部品
2か月前
TDK株式会社
電子部品
2か月前
TDK株式会社
電子部品
2か月前
TDK株式会社
電子部品
3か月前
TDK株式会社
電子部品
17日前
TDK株式会社
接合構造
9日前
TDK株式会社
電子部品
4日前
TDK株式会社
コイル部品
2か月前
TDK株式会社
磁気センサ
2か月前
TDK株式会社
コイル装置
1か月前
TDK株式会社
コイル装置
1か月前
TDK株式会社
ガスセンサ
2か月前
TDK株式会社
コイル装置
2か月前
TDK株式会社
コイル部品
2か月前
TDK株式会社
コイル部品
2か月前
TDK株式会社
コイル部品
1か月前
TDK株式会社
温度センサ
2か月前
TDK株式会社
磁気センサ
1か月前
TDK株式会社
コイル部品
1か月前
TDK株式会社
ガスセンサ
2か月前
TDK株式会社
コイル装置
1か月前
TDK株式会社
コイル装置
1か月前
TDK株式会社
コイル部品
1か月前
TDK株式会社
コイル部品
3か月前
続きを見る
他の特許を見る