TOP
|
特許
|
意匠
|
商標
特許ウォッチ
Twitter
他の特許を見る
10個以上の画像は省略されています。
公開番号
2025153258
公報種別
公開特許公報(A)
公開日
2025-10-10
出願番号
2024055638
出願日
2024-03-29
発明の名称
推定装置、復元装置、推定方法、およびプログラム
出願人
NTT株式会社
,
学校法人早稲田大学
代理人
個人
,
個人
,
個人
主分類
G01H
17/00 20060101AFI20251002BHJP(測定;試験)
要約
【課題】音源が音場復元領域内部に存在する場合において光計測データからの音場復元を行う際に用いる展開係数を推定する推定装置を提供する。
【解決手段】推定装置は、音場の展開そのものを球面調和関数展開により表し、光による音場測定システムで測定した測定値とレーザ光路を表す情報を用いて、球面調和関数展開に基づく音場の展開係数を推定する。
【選択図】図1
特許請求の範囲
【請求項1】
音場の展開そのものを球面調和関数展開により表し、光による音場測定システムで測定した測定値とレーザ光路を表す情報を用いて、球面調和関数展開に基づく音場の展開係数を推定する、
推定装置。
続きを表示(約 370 文字)
【請求項2】
請求項1の推定装置であって、
1以上のレーザ光路に沿った線積分値を要素とする行列と、前記測定値を要素とするベクトルとを用いて、前記展開係数を要素とする行列を推定する、
推定装置。
【請求項3】
請求項1の推定装置で推定した展開係数の推定値を用いる復元装置であって、
前記推定値と復元点座標から、球面調和関数展開を用いて、音場復元を行う、
復元装置。
【請求項4】
音場の展開そのものを球面調和関数展開により表し、光による音場測定システムで測定した測定値とレーザ光路を表す情報を用いて、球面調和関数展開に基づく音場の展開係数を推定する、
推定方法。
【請求項5】
請求項1の推定装置としてコンピュータを機能させるためのプログラム。
発明の詳細な説明
【技術分野】
【0001】
本発明は、光を用いた音場計測に関する。
続きを表示(約 1,500 文字)
【背景技術】
【0002】
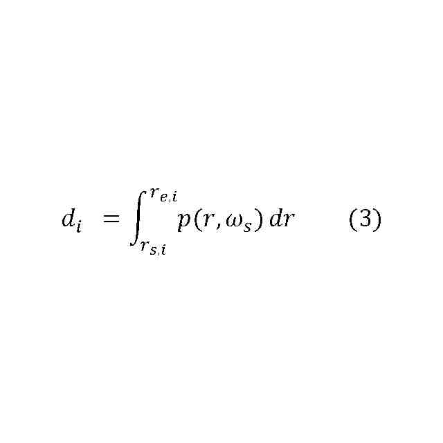
光を用いた音場計測は,非接触に音場を測定し、可視化する方法として用いられている。光により測定された線積分値からある平面の音圧分布を得ようとするとき、音場復元あるいは音場再構成と呼ばれる投影データから各点の値を推定する処理が必要である。
【0003】
これまでに、波動方程式に基づいて音場復元を行う方法が提案されている。波動方程式に基づく音場復元は、ある仮想境界の外側に音源が存在する条件において仮想境界内部の領域の音場を復元する内部音場問題と、仮想境界の内側に音源が存在する条件において仮想境界外側の音場を復元する外部音場問題に分けられる。外部音場問題に関して、従来技術では、2次元音場を円調和関数展開することで、復元領域内部に存在する音源からの放射音場を復元する方法が提案されている(非特許文献1参照)。
【先行技術文献】
【非特許文献】
【0004】
Phuc Duc Nguyen, Kenji Ishikawa, Noboru Harada, Takehiro Moriya, "Acousto-optic reconstruction of exterior sound field based on concentric circle sampling with circular harmonic expansions", arXiv:2311.01715, 2023.
【発明の概要】
【発明が解決しようとする課題】
【0005】
しかしながら、光による線積分値の計測から、波動方程式に基づいて3次元の外部音場復元を行う方法は提案されていない。
【0006】
本発明は、光による線積分値の計測からの外部音場復元問題に関して、高精度に3次元音場を復元することができる復元装置、音場復元を行う際に用いる展開係数を推定する推定装置、推定方法、およびプログラムを提供することを目的とする。
【課題を解決するための手段】
【0007】
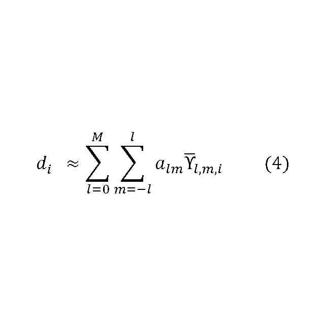
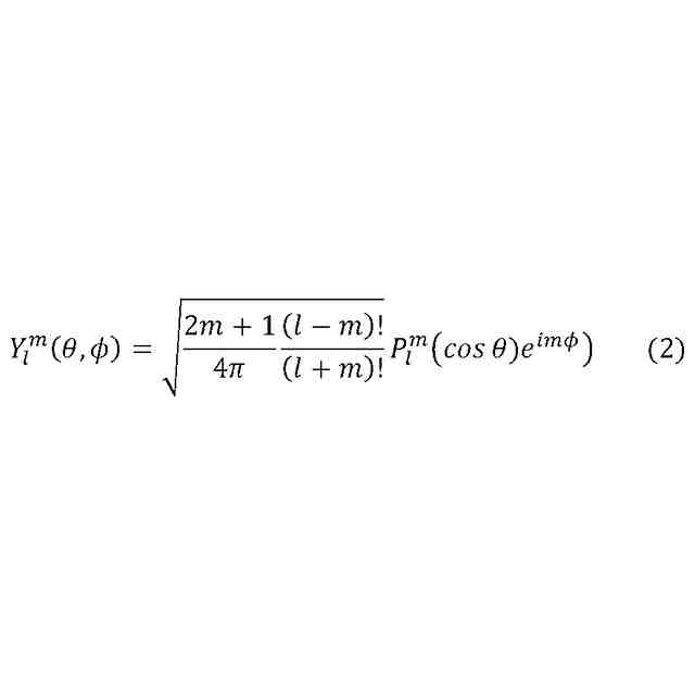
上記の課題を解決するために、本発明の一態様によれば、推定装置は、音場の展開そのものを球面調和関数展開により表し、光による音場測定システムで測定した測定値とレーザ光路を表す情報を用いて、球面調和関数展開に基づく音場の展開係数を推定する。
【発明の効果】
【0008】
本発明によれば、3次元音場の球面調和関数展開を用いることで、音源が音場復元領域内部に存在する外部音場問題において音場復元を精度よく行うことができることができるという効果を奏する。
【図面の簡単な説明】
【0009】
第一実施形態に係る復元システムの機能ブロック図。
第一実施形態に係る復元システムの処理フローの例を示す図。
本手法を適用するコンピュータの構成例を示す図。
【発明を実施するための形態】
【0010】
以下、本発明の実施形態について、説明する。なお、以下の説明に用いる図面では、同じ機能を持つ構成部や同じ処理を行うステップには同一の符号を記し、重複説明を省略する。以下の説明において、テキスト中で使用する記号「~」「
-
」等は、本来直後の文字の真上に記載されるべきものであるが、テキスト記法の制限により、当該文字の直前に記載する。式中においてはこれらの記号は本来の位置に記述している。また、ベクトルや行列の各要素単位で行われる処理は、特に断りが無い限り、そのベクトルやその行列の全ての要素に対して適用されるものとする。
(【0011】以降は省略されています)
この特許をJ-PlatPat(特許庁公式サイト)で参照する
関連特許
NTT株式会社
計算装置
17日前
NTT株式会社
検知装置
2日前
NTT株式会社
通信システム
8日前
NTT株式会社
無線通信システム及び無線通信方法
16日前
NTT株式会社
刺激制御装置、および刺激制御方法
16日前
NTT株式会社
窒素固定能を有する藻類の選抜方法
18日前
NTT株式会社
評価装置、評価方法およびプログラム
1か月前
NTT株式会社
情報処理装置およびボットネット分析方法
23日前
NTT株式会社
数モードマルチコア光ファイバ及び光伝送システム
23日前
NTT株式会社
学習装置、分類装置、学習方法、分類方法及びプログラム
23日前
NTT株式会社
植物の開花時期制御方法および開花時期が制御された植物の作出方法
8日前
NTT株式会社
連続発話推定方法、連続発話推定装置、およびプログラム
1か月前
NTT株式会社
植物の光合成応答を調節する方法、光合成応答が迅速化した植物の作出方法、および光合成応答が迅速化した植物の栽培のためのシステム
8日前
個人
採尿及び採便具
23日前
日本精機株式会社
検出装置
17日前
個人
アクセサリー型テスター
1か月前
個人
計量機能付き容器
12日前
個人
高精度同時多点測定装置
1か月前
株式会社カクマル
境界杭
2日前
甲神電機株式会社
電流検出装置
17日前
株式会社ミツトヨ
測定器
29日前
アズビル株式会社
電磁流量計
1か月前
大成建設株式会社
風洞実験装置
12日前
ダイキン工業株式会社
監視装置
1か月前
双庸電子株式会社
誤配線検査装置
18日前
大和製衡株式会社
組合せ計量装置
26日前
ローム株式会社
半導体装置
1か月前
日本信号株式会社
距離画像センサ
15日前
ローム株式会社
半導体装置
1か月前
長崎県
形状計測方法
1か月前
日本特殊陶業株式会社
ガスセンサ
10日前
愛知時計電機株式会社
ガスメータ
29日前
愛知電機株式会社
軸部材の外観検査装置
26日前
個人
非接触による電磁パルスの測定方法
15日前
大和製衡株式会社
組合せ計量装置
26日前
個人
計量具及び計量機能付き容器
12日前
続きを見る
他の特許を見る