TOP特許意匠商標
特許ウォッチ Twitter
10個以上の画像は省略されています。
公開番号2025149644
公報種別公開特許公報(A)
公開日2025-10-08
出願番号2024050407
出願日2024-03-26
発明の名称新規乳酸菌、及びその用途
出願人国立研究開発法人産業技術総合研究所,フジッコ株式会社
代理人弁理士法人三枝国際特許事務所
主分類C12N 1/20 20060101AFI20251001BHJP(生化学;ビール;酒精;ぶどう酒;酢;微生物学;酵素学;突然変異または遺伝子工学)
要約【課題】ラクチプランチバシラス・ムダンジャンゲンシスに属する新規乳酸菌、及びその用途を提供する。
【解決手段】 本発明の乳酸菌は、D-キシロースに対して糖資化能を有する、単離されたL.ムダンジャンゲンシス(Lactiplantibacillus mudanjiangensis)に属する乳酸菌である。当該乳酸菌は、ケラチノサイトにおける酸化ストレス抑制作用、及びヒアルロン酸産生促進作用等を有することから、当該乳酸菌含有組成物は肌改善剤として有用である。
【選択図】なし
特許請求の範囲【請求項1】
D-キシロースに対して糖資化能を有する、単離されたラクチプランチバシラス・ムダンジャンゲンシス(Lactiplantibacillus mudanjiangensis)に属する乳酸菌。
続きを表示(約 900 文字)【請求項2】
Lactiplantibacillus mudanjiangensis IYO1739(受託番号:NITE P-03937)、若しくはその原株、又はそれらの継代株である、請求項1に記載する乳酸菌。
【請求項3】
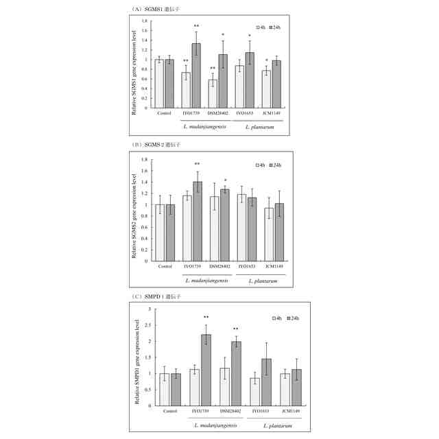
ケラチノサイトにおける、ヘムオキシゲナーゼ1遺伝子、ヒアルロン酸合成酵素1遺伝子、ヒアルロン酸合成酵素3遺伝子、スフィンゴミエリン合成酵素1遺伝子、スフィンゴミエリン合成酵素2遺伝子、スフィンゴミエリンホスホジエステラーゼ1遺伝子、I型コラーゲン遺伝子、インボルクリン遺伝子、及びトランスグルタミナーゼ-1遺伝子からなる群より選択される少なくとも1種の遺伝子の発現量を増加する作用を有する、請求項1又は2記載の乳酸菌。
【請求項4】
請求項3に記載する乳酸菌を含有する組成物。
【請求項5】
ケラチノサイトにおける、酸化ストレス抑制用組成物、ヒアルロン酸産生促進用組成物、スフィンゴ脂質産生促進用組成物、コラーゲン産生促進用組成物、及びケラチノサイト分化促進用組成物からなる群から選択される少なくとも1種である、請求項4に記載する組成物。
【請求項6】
経口組成物又は外用組成物である、請求項5に記載する組成物。
【請求項7】
肌改善剤である、請求項6に記載する組成物。
【請求項8】
前記肌改善が、前記組成物の酸化ストレス抑制作用、ヒアルロン酸産生促進作用、スフィンゴ脂質産生促進作用、コラーゲン産生促進作用、及びケラチノサイト分化促進作用よりなる群から選択される少なくとも1つの肌に対する作用に起因するものである、請求項7に記載する組成物。
【請求項9】
請求項3に記載する乳酸菌を被験組成物に配合して、当該被験組成物に、酸化ストレス抑制作用、ヒアルロン酸産生促進作用、スフィンゴ脂質産生促進作用、コラーゲン産生促進作用、及びケラチノサイト分化促進作用よりなる群から選択される少なくとも1つの作用を付与するための、請求項3に記載する乳酸菌の使用方法。

発明の詳細な説明【技術分野】
【0001】
本発明は、ラクチプランチバシラス・ムダンジャンゲンシスに属する新規乳酸菌、及びその用途に関する。
続きを表示(約 2,700 文字)【背景技術】
【0002】
皮膚は体表面を覆う人体最大の臓器である。皮膚には様々な役割があるが、その一つに外部刺激からの保護作用がある。紫外線や摩擦等の外部刺激から体を守るとともに、体内からの水分喪失を防いでいる。皮膚の健康は生体機能の維持だけでなく、肌の質感、見た目に影響する事からアンチエイジングの観点からも重要視される。
【0003】
老化によって皮膚は薄くなりシミやしわができるが、これらの皮膚の加齢変化は紫外線による光老化が原因のほとんどであると言われている。皮膚に影響を及ぼす紫外線にはUV-AとUV-Bがあり、それぞれ波長が異なる。UV-Bは波長が短く一時的な日焼けのように表皮にダメージを与えるのに対し、UV-Aは波長が長いことから真皮層まで届く。UV-Aによるダメージは長期的に蓄積され、シミやしわなど皮膚に深刻な影響を及ぼす。特にUV-Aが皮膚細胞内で発生させた一重項酸素などの活性酸素種(Reactive oxygen species;ROS)は光老化を加速させる。このため、皮膚の老化を防ぐためにはUV-AによるROSの影響を防ぐことが重要と考えられる。
【0004】
乳酸菌は古くから発酵食品に利用されており、経口摂取によって整腸作用や免疫調節作用などの保健効果をもたらすことが分かっている。皮膚への作用も報告されており、例えばラクトバチルス・ガセリN320株には、皮膚のヒアルロン酸産生を促す作用があり、これを経口摂取することによって皮膚の紫外線ダメージが改善されることが報告されている(特許文献1)。また、特許文献2には、ティンダル化した乳酸菌死菌体を経口摂取することで、紫外線照射によって誘発された皮膚水分の損失が抑制され、皮膚保湿又はしわ改善効果が得られることが記載されている。さらに、特許文献3には、ラクトバチルスプランタラムCJLP55株を含む組成物を経口摂取することで、皮膚の油分や皮脂が減少し、水分量を維持しながら皮膚の酸度を改善して皮膚状態を改善させることができることが記載されている。
【0005】
また、乳酸菌を皮膚に塗布することで種々の効果を発揮することが知られている。例えば、特許文献4には、菌体粒子のメジアン径が1.0μm以下になるように粉砕した乳酸菌末を、皮膚に塗布することで皮膚創傷の創部炎症が抑制され、治癒が促進されることが記載されている。
【先行技術文献】
【特許文献】
【0006】
特開2019-205371号公報
特表2017-534589号公報
特表2022-543755号公報
特開2022-40258号公報
【非特許文献】
【0007】
Chun Tao Gu, et al., Lactobacillus mudanjiangensis sp. nov., Lactobacillus songhuajiangensis sp. nov. and Lactobacillus nenjiangensis sp. nov., isolated from Chinese traditional pickle and sourdough, International Journal of Systematic and Evolutionary Microbiology, Vol. 63,4698-4706(2013) https://doi.org/10.1099/ijs.0.054296-0
「石鎚黒茶」のご紹介- 愛媛県西条市ホームページ(city.saijo.ehime.jp)(https://www.city.saijo.ehime.jp/soshiki/sangyoshinko/ishidutikurocya.html)
Horie, M., et al., Regional characteristics of Lactobacillus plantarum group strains isolated from two kinds of Japanese post-fermented teas, Ishizuchi-kurocha and Awa-bancha, Bioscience of Microbiota, Food and Health, vol. 38 (1) ,11-22, 2019
C. T. Gu et al., Lactobacillus mudanjiangensis sp. nov.,Lactobacillus songhuajiangensis sp. nov. and Lactobacillus nenjiangensis sp. nov.,isolated from Chinese traditional pickle and sourdough. Int. J. System. Evol. Microbiol.63,4698-4706 (2013)
【発明の概要】
【発明が解決しようとする課題】
【0008】
本発明は、ラクチプランチバシラス・ムダンジャンゲンシス(以下、「L.ムダンジャンゲンシス」とも称する)に属する新規乳酸菌、及びその用途を提供することを課題とする。
【課題を解決するための手段】
【0009】
本発明者らは、上記課題を解決すべく、愛媛県西条市の石鎚地区の特産品である石鎚黒茶から単離した乳酸菌をヒトケラチノサイトに添加したところ、酸化ストレスへの防御系である抗酸化関連酵素遺伝子の発現量、ヒアルロン酸合成酵素遺伝子、スフィンゴ脂質合成酵素遺伝子、コラーゲン関連遺伝子、及びケラチノサイト分化関連遺伝子の発現量が増加することを見出し、さらに、当該乳酸菌には、実際にケラチノサイトにおいて、一重項酸素による酸化ストレスを抑制する作用、ヒアルロン酸産生能、スフィンゴ脂質産生能、コラーゲン産生能、及び/又はケラチノサイト分化能を促進する作用があることを見出した。
【0010】
また当該乳酸菌は、生菌であっても加熱処理菌体(死菌)であっても、ケラチノサイトへの付着性が高く、このことから、皮膚に塗布又は経口摂取することで、皮膚内や腸内で一定期間滞留し、前述する生体機能改善作用(酸化ストレス抑制作用;ヒアルロン酸、スフィンゴ脂質及びコラーゲンの産生促進作用;ケラチノサイト分化促進作用等)が有効に享受できるものと考えられる。
(【0011】以降は省略されています)

この特許をJ-PlatPat(特許庁公式サイト)で参照する

関連特許

個人
抗遺伝子劣化装置
3か月前
個人
細胞内探査とその利用
3か月前
雪国アグリ株式会社
単糖類の製造方法
1か月前
三洋化成工業株式会社
細胞培養用担体
今日
個人
細胞培養容器
4か月前
日本バイリーン株式会社
細胞用支持基材
4か月前
株式会社東洋新薬
経口組成物
3か月前
東洋紡株式会社
改変型RNAポリメラーゼ
4か月前
株式会社タクマ
バイオマス処理装置
3か月前
株式会社タクマ
バイオマス処理装置
3か月前
テルモ株式会社
吐出デバイス
2か月前
日油株式会社
蛋白質安定化剤
4か月前
東ソー株式会社
pH応答性マイクロキャリア
2か月前
テルモ株式会社
容器蓋デバイス
2か月前
宝酒造株式会社
アルコール飲料
2か月前
島根県
油吸着材とその製造方法
1か月前
大陽日酸株式会社
培養装置
3か月前
大陽日酸株式会社
培養装置
3か月前
トヨタ自動車株式会社
バイオ燃料製造方法
2か月前
株式会社ファンケル
SEC12タンパク発現促進剤
4か月前
個人
有機フッ素化合物を分解する廃液処理法
1か月前
月桂冠株式会社
低プリン体清酒
1か月前
株式会社豊田中央研究所
細胞励起装置
1か月前
オンキヨー株式会社
浸漬酒の製造方法、及び、浸漬酒
4か月前
アサヒビール株式会社
柑橘風味アルコール飲料
4か月前
アサヒビール株式会社
柑橘風味アルコール飲料
4か月前
株式会社シャローム
スフィンゴミエリン製造方法
2か月前
株式会社カクサスバイオ
新規免疫抑制方法
16日前
テルモ株式会社
採取組織細切補助デバイス
2か月前
新東工業株式会社
培養システム
1か月前
横河電機株式会社
藻類培養装置
2か月前
株式会社今宮
瓶詰ビールの加熱殺菌方法および装置
2か月前
株式会社村田製作所
濾過装置および濾過方法
1か月前
東ソー株式会社
免疫グロブリン結合性タンパク質の製造方法
21日前
公立大学法人北九州市立大学
微生物の検知方法
3か月前
住友金属鉱山株式会社
連続発酵方法及び連続発酵装置
2か月前
続きを見る