TOP
|
特許
|
意匠
|
商標
特許ウォッチ
Twitter
他の特許を見る
10個以上の画像は省略されています。
公開番号
2025128515
公報種別
公開特許公報(A)
公開日
2025-09-03
出願番号
2024025215
出願日
2024-02-22
発明の名称
気体貯蔵放出材料
出願人
大成建設株式会社
代理人
弁理士法人お茶の水内外特許事務所
主分類
B01J
20/22 20060101AFI20250827BHJP(物理的または化学的方法または装置一般)
要約
【課題】各種の気体、特に水素の貯蔵・放出特性に優れ、気体の貯蔵・放出に際して加圧・減圧の操作が不要であり、安価な原料から簡便な方法で容易に合成することが可能であり、気体の貯蔵・放出の再現性に優れており、水素貯蔵時の安全性に優れており、安定性・耐久性が高い、新規な気体貯蔵放出材料を提供すること。
【解決手段】芳香族炭化水素環及び芳香族複素環を有する多核型芳香族化合物と多価金属イオンを構成要素として含む有機金属構造体を含有する、気体貯蔵放出材料。
【選択図】図1
特許請求の範囲
【請求項1】
芳香族炭化水素環及び芳香族複素環を有する多核型芳香族化合物と多価金属イオンを構成要素として含む有機金属構造体を含有する、気体貯蔵放出材料。
続きを表示(約 1,100 文字)
【請求項2】
前記多核型芳香族化合物が、ベンゼン環及び芳香族複素環を有する多核型芳香族化合物である、請求項1に記載の気体貯蔵放出材料。
【請求項3】
前記多価金属イオンが、周期律表の第3周期から第6周期に属する金属の2価以上の金属イオンである、請求項1又は2に記載の気体貯蔵放出材料。
【請求項4】
前記芳香族複素環を構成するヘテロ原子が、窒素、酸素又は硫黄の1以上である、請求項1又は2に記載の気体貯蔵放出材料。
【請求項5】
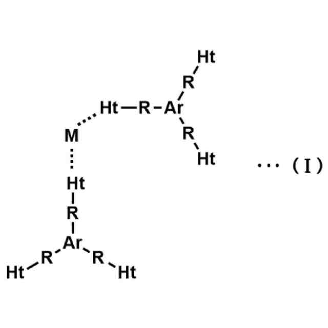
前記有機金属構造体が、構造式(I);
JPEG
2025128515000007.jpg
56
170
(構造式(I)中、Arは芳香族炭化水素環を、Rは連結基を、Htは芳香族複素環、Mは多価金属イオンであり、複数あるAr、R及びHtは、それぞれ同一であっても異なっていてもよい。)
で表される構造を有する、請求項1又は2に記載の気体貯蔵放出材料。
【請求項6】
前記構造式(I)中、Htが、イミダゾール環、フラン環、ピロール環、チオフェン環、オキサゾール環、チアゾール環、ピラゾール環、γ-ピラン環、ピリジン環、ピペリジン環、ピリダジン環、ピリミジン環、ピラジン環、キノリン環、イソキノリン環、プリン環及びプテリジン環からなる群より選ばれる1以上である、請求項5に記載の気体貯蔵放出材料。
【請求項7】
前記多価金属イオンが、Fe
3+
、Al
3+
、Co
3+
、Co
2+
及びZn
2+
からなる群より選ばれる1以上である、請求項1又は2に記載の気体貯蔵放出材料。
【請求項8】
前記多核型芳香族化合物が、1,3,5-トリス[(1H-イミダゾール-1-イル)メチル]ベンゼンであり、前記多価金属イオンが、Fe
3+
である、請求項1又は2に記載の気体貯蔵放出材料。
【請求項9】
前記気体貯蔵放出材料に貯蔵される気体が、水素、二酸化炭素、窒素、希ガス、炭化水素ガスからなる群より選ばれる1以上である、請求項1又は2に記載の気体貯蔵放出材料。
【請求項10】
気体の貯蔵及び/又は放出が、加圧、減圧、昇温、降温、電位の印加及びエネルギー波の照射からなる群より選ばれる1以上の手段を含む方法により行われる、請求項1又は2に記載の気体貯蔵放出材料。
(【請求項11】以降は省略されています)
発明の詳細な説明
【技術分野】
【0001】
本発明は、各種の気体を貯蔵及び放出することができる気体貯蔵放出材料に関する。
続きを表示(約 3,600 文字)
【背景技術】
【0002】
地球温暖化のような環境問題を解決するために、これまでの化石燃料に代わる、クリーンなエネルギー源の開発が進められている。このうち、水素は、資源が多様かつ豊富であり、燃焼性能特性・発熱量が良好であり、燃料電池や内燃機関による発電時に二酸化炭素が排出されない低環境負荷であることから、エネルギー源として有望なものの一つとされている。
【0003】
水素をエネルギー源として用いるためには、変動する需要に柔軟に対応して供給を行うことができる、水素の貯蔵・放出システムの構築が必要である。例えば、余剰電力を用いて水を電気分解して得られた水素を、利用施設へ輸送する水素サプライチェーンの構築が必要である。
しかし、水素は常温常圧で気体であるため、現在、タンクやボンベ等の容器を用い高圧水素ガスとして貯蔵されている。そのため、これまで水素を利用する場合、高圧水素や液化水素をタンクローリーにより輸送する必要があった。また、水素貯蔵施設においても、高圧水素ガスタンクなどの大規模なインフラの整備が必要であった。
【0004】
容器を用いた高圧水素ガスの貯蔵・放出システムに代えて、オンサイトで水素を使用する場合、水素と材料間の相互作用により低圧で大量かつ安全に貯蔵・放出できる、水素貯蔵放出材料を用いた水素貯蔵・放出システムが検討されている。例えば、太陽光発電や風力発電などの再生可能エネルギーからの余剰電力により水を電気分解して得られた水素を、タンク内に収容した気体貯蔵放出材料に貯蔵し、そのタンクをトラックに積載して水素利用施設へ輸送する、水素サプライチェーンの構築に係る実証実験において、水素貯蔵放出材料を用いることが検討されている。
【0005】
水素貯蔵材料は、水素を選択的かつ可逆的に貯蔵及び放出できる材料であり、水素吸蔵合金や機能性炭素材料(酸化グラフェン)が有望とされている。しかしながら、これらの水素貯蔵放出材料は、水素貯蔵能力に問題がある。また、不純物ガスによる性能低下や、レアメタルや高純度金属を原材料として使用することに伴うコスト上昇等の点において、改善の余地がある。さらに、水素吸蔵合金や機能性炭素材料(酸化グラフェン)は、加工性が悪く、水素貯蔵時には冷却が、水素放出時には加熱が必要であり、また、水素吸蔵合金を構成するチタンやマンガンなどは、密度が4~8g/cm
3
と高いため水素貯蔵材料の質量が大きくなり、取扱性の点で問題がある。
【0006】
気体貯蔵放出特性を示す有機構造体に関して、特許がこれまで出願されてきた。
特許文献1(特許第5074035号公報)には、多孔質高分子構造体に、メタン、二酸化炭素、プロペン等のガスを吸着させる旨が開示されている。しかしながら、特許文献1に開示されている多孔質高分子MOF-5は、水分により構造が壊れてしまう性質を有しており、これによりガスの吸着効果が低下してしまうという問題がある。
特許文献2(特開2022-022982号公報)には、1,3,5-ベンゼントリカルボン酸及び2-メチルイミダゾールの混合有機配位子とZn(II)イオンから構成される有機構造体が開示されている。この有機構造体は、高い比表面積を有しており、0~25℃、及び圧力100気圧で高い水素吸着能力を有しているとされているが、水素の分子運動により吸着状態が安定せず、吸着後に短時間で吸着率が低下してしまうという問題がある。
特許文献3(特表2012-514530号公報)には、炭素材料のフラーレンを用いた有機金属構造体が、高い水素貯蔵率を有している旨が開示されている。しかしながら、フラーレンは酸化分解し易く劣化が激しいという問題があり、コストが掛かりすぎるという問題がある。
特許文献4(特表2008-535657号公報)には、数種類の有機リガンドと金属イオンから生成された金属有機構造体が高い水素貯蔵率を発現する旨が開示されている。しかしながら、有機リガンドの精製が困難であり、含有する不純物によって金属有機構造体の合成時に副反応が起るため、水素貯蔵に関する再現性が乏しいという問題がある。
【先行技術文献】
【特許文献】
【0007】
特許第5074035号公報
特開2022-022982号公報
特表2012-514530号公報
特表2008-535657号公報
【発明の概要】
【発明が解決しようとする課題】
【0008】
本発明の解決しようとする課題は、各種の気体、特に水素の貯蔵・放出特性に優れ、気体の貯蔵・放出に際して加圧・減圧の操作が不要であり、安価な原料から簡便な方法で容易に合成することが可能であり、気体の貯蔵・放出の再現性に優れており、水素貯蔵時の安全性に優れており、安定性・耐久性が高い、新規な気体貯蔵放出材料を提供することである。
【課題を解決するための手段】
【0009】
本発明者は、上記課題を解決すべく鋭意検討を行った。この結果、特定の有機金属構造体を含有する気体貯蔵放出材料が、各種のガス、特に水素の貯蔵・放出特性に優れており、これを用いることにより上記課題が解決できることを見出した。
【0010】
すなわち、上記課題を解決する本発明には、以下の構成が主に含まれる。
[項1]
芳香族炭化水素環及び芳香族複素環を有する多核型芳香族化合物と多価金属イオンを構成要素として含む有機金属構造体を含有する、気体貯蔵放出材料。
[項2]
前記多核型芳香族化合物が、ベンゼン環及び芳香族複素環を有する多核型芳香族化合物である、項1に記載の気体貯蔵放出材料。
[項3]
前記多価金属イオンが、周期律表の第3周期から第6周期に属する金属の2価以上の金属イオンである、項1又は2に記載の気体貯蔵放出材料。
[項4]
前記芳香族複素環を構成するヘテロ原子が、窒素、酸素又は硫黄の1以上である、項1~3のいずれか1項に記載の気体貯蔵放出材料。
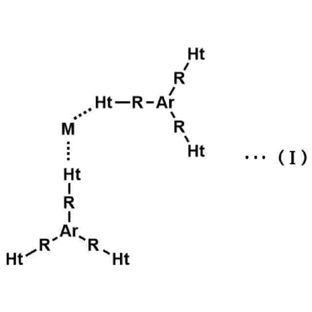
[項5]
前記有機金属構造体が、構造式(I);
JPEG
2025128515000002.jpg
56
170
(構造式(I)中、Arは芳香族炭化水素環を、Rは連結基を、Htは芳香族複素環、Mは多価金属イオンであり、複数あるAr、R及びHtは、それぞれ同一であっても異なっていてもよい。)
で表される構造を有する、項1~4のいずれか1項に記載の気体貯蔵放出材料。
[項6]
前記構造式(I)中、Htが、イミダゾール環、フラン環、ピロール環、チオフェン環、オキサゾール環、チアゾール環、ピラゾール環、γ-ピラン環、ピリジン環、ピペリジン環、ピリダジン環、ピリミジン環、ピラジン環、キノリン環、イソキノリン環、プリン環及びプテリジン環からなる群より選ばれる1以上である、項5に記載の気体貯蔵放出材料。
[項7]
前記多価金属イオンが、Fe
3+
、Al
3+
、Co
3+
、Co
2+
及びZn
2+
からなる群より選ばれる1以上である、項1~6のいずれか1項に記載の気体貯蔵放出材料。
[項8]
前記多核型芳香族化合物が、1,3,5-トリス[(1H-イミダゾール-1-イル)メチル]ベンゼンであり、前記多価金属イオンが、Fe
3+
である、項1~7のいずれか1項に記載の気体貯蔵放出材料。
[項9]
前記気体貯蔵放出材料に貯蔵される気体が、水素、二酸化炭素、窒素、希ガス、炭化水素ガスからなる群より選ばれる1以上である、項1~8のいずれか1項に記載の気体貯蔵放出材料。
[項10]
気体の貯蔵及び/又は放出が、加圧、減圧、昇温、降温、電位の印加及びエネルギー波の照射からなる群より選ばれる1以上の手段を含む方法により行われる、項1~9のいずれか1項に記載の気体貯蔵放出材料。
[項11]
前記気体貯蔵放出材料の形状が、粒子、繊維、フィルム、不織布、織布、多孔質体、成形体である、項1~10のいずれか1項に記載の気体貯蔵放出材料。
【発明の効果】
(【0011】以降は省略されています)
この特許をJ-PlatPat(特許庁公式サイト)で参照する
関連特許
大成建設株式会社
推定方法
1か月前
大成建設株式会社
木質複合構造
2か月前
大成建設株式会社
風洞実験装置
14日前
大成建設株式会社
摩擦制振ダンパー
2か月前
大成建設株式会社
地盤計測システム
17日前
大成建設株式会社
ペレット製造装置
1か月前
大成建設株式会社
既存建物の解体方法
1か月前
大成建設株式会社
床版接合部の設計方法
1か月前
大成建設株式会社
杭の施工方法および杭
1か月前
大成建設株式会社
木材性状推定システム
1か月前
大成建設株式会社
木材縦弾性係数推定システム
1か月前
大成建設株式会社
足場装置および足場構築方法
1か月前
大成建設株式会社
土壌改良剤、及び土壌改良方法
1か月前
大成建設株式会社
仮設鋼床版および床版取替工法
20日前
大成建設株式会社
電力供給装置及び電力供給方法
17日前
大成建設株式会社
地下水排水構造と地下水排水方法
1か月前
大成建設株式会社
免震基礎構造およびその構築方法
1か月前
大成建設株式会社
異種コンクリートの切替り特定方法
1か月前
大成建設株式会社
単杭の極限先端支持力度の評価方法
1か月前
大成建設株式会社
到達立坑における掘進機の回収方法
1か月前
大成建設株式会社
風力発電方法および風力発電システム
4日前
大成建設株式会社
凍結地盤の掘削土の排土装置と排土方法
1か月前
大成建設株式会社
既設トンネルの坑口補強構造と坑口補強方法
1か月前
大成建設株式会社
内空変位計測システム及び内空変位計測方法
1か月前
大成建設株式会社
消音設計支援システム、防振設計支援システム
1か月前
大成建設株式会社
既設トンネルと分岐トンネルの接合構造と接合方法
1か月前
大成建設株式会社
上面増厚床版の非破壊評価方法及び非破壊評価システム
1か月前
大成建設株式会社
上下の既設トンネルを繋ぐ接合トンネルとその施工方法
1か月前
大成建設株式会社
木質構造部材の補強構造、及び木質構造部材の補強方法
19日前
大成建設株式会社
鋼管により形成される立坑の坑口補強構造と坑口補強方法
1か月前
大成建設株式会社
作業環境監視システム及び作業環境監視システムの監視方法
1か月前
大成建設株式会社
インバート変位計測システムおよびインバート変位計測方法
1か月前
大成建設株式会社
遊離脂肪酸の分離方法および遊離脂肪酸生産微生物の培養方法
1か月前
大成建設株式会社
車両用ワイヤレス給電システム及び車両用ワイヤレス給電方法
4日前
JFEシビル株式会社
トンネル間地盤性状の調査方法及び装置
18日前
大成建設株式会社
積層体部材、構造体、積層体部材を用いて構造体を構築する方法
1か月前
続きを見る
他の特許を見る