TOP
|
特許
|
意匠
|
商標
特許ウォッチ
Twitter
他の特許を見る
10個以上の画像は省略されています。
公開番号
2025160983
公報種別
公開特許公報(A)
公開日
2025-10-24
出願番号
2024063775
出願日
2024-04-11
発明の名称
消音設計支援システム、防振設計支援システム
出願人
大成建設株式会社
代理人
園田・小林弁理士法人
主分類
G06F
30/27 20200101AFI20251017BHJP(計算;計数)
要約
【課題】建物施設から発生する設備騒音を抑制する消音設計支援システムを提供する。
【解決手段】消音設計支援システム1は、建物施設内の音源を設置する設置位置から受音点までの、周波数帯域毎の伝搬損失、複数の種類の消音器の各々の、周波数帯域毎の騒音低減量及び設置費用、各音源の周波数帯域毎のパワーレベル、受音点の各々における音圧レベルの騒音閾値が設計条件として設定されているデータベース2と、音源から受音点までの伝搬損失と、消音器の騒音低減量、設置費用及び音源の各々のパワーレベルを基に、全ての受音点における音圧レベルがこの受音点の騒音閾値を下回るとともに、消音器の設置費用の総計が小さくなるように、進化計算手法を適用して、音源毎に、複数の設置位置から音源を設置する設置位置及び複数の種類の消音器から、音源に対して設置する消音器を選定して割り当て、音源及び消音器の設置案を策定する設置案策定部3と、を含む。
【選択図】図1
特許請求の範囲
【請求項1】
建物施設から発生する設備騒音を抑制するための消音設計を支援する、消音設計支援システムであって、
建物施設内の音源を設置する対象となる複数の設置位置の各々から受音点の各々までの、周波数帯域ごとの伝搬損失、複数の種類の消音器の各々の、周波数帯域ごとの騒音低減量及び設置費用、前記音源の各々の、周波数帯域ごとのパワーレベル、及び前記受音点の各々における音圧レベルの騒音閾値が、設計条件として設定されているデータベースと、
前記伝搬損失と、前記騒音低減量、前記設置費用、及び前記パワーレベルを基に、全ての前記受音点における音圧レベルが当該受音点の前記騒音閾値を下回るとともに、前記消音器の前記設置費用の総計が小さくなるように、進化計算手法を適用して、前記音源ごとに、複数の前記設置位置から当該音源を設置する前記設置位置を、及び複数の種類の前記消音器から当該音源に対して設置する前記消音器を、それぞれ選定して割り当てることで、前記音源及び前記消音器の設置案を策定する設置案策定部と、
を備えることを特徴とする消音設計支援システム。
続きを表示(約 2,000 文字)
【請求項2】
前記設置案策定部は、既定の数の、複数の設計候補データを有し、
複数の前記設計候補データの各々は、前記音源の各々と、前記音源の各々に対して割り当てられた前記設置位置及び前記消音器の種類と、の対応関係を含み、
複数の前記設計候補データに対し、前記進化計算手法における選択処理、交叉処理、及び突然変異処理により、前記対応関係を変更して、複数の前記設計候補データを更新することを繰り返す、設計候補データ更新部を備えている
ことを特徴とする請求項1に記載の消音設計支援システム。
【請求項3】
前記設置案策定部は、
複数の前記設計候補データの各々に対し、前記音源の各々に対して前記設置位置及び前記消音器の種類をランダムに設定して初期化する初期化部と、
複数の前記設計候補データの各々に対し、前記音源の各々を、当該設計候補データにおいて割り当てられた前記設置位置に設置し、かつ前記音源の各々に、当該設計候補データにおいて割り当てられた種類の前記消音器を設置した際の、全ての前記受音点における前記音圧レベルと、前記消音器の前記設置費用の総計を計算する騒音レベル・費用計算部と、
前記設計候補データ更新部において更新された複数の前記設計候補データの中で、全ての前記受音点における前記音圧レベルが当該受音点の前記騒音閾値を下回るものがあれば、当該設計候補データを最終候補データとして登録し、前記設計候補データ更新部における繰り返し回数が既定の回数に達した場合に、前記設計候補データ更新部の処理を終了させる、終了判定部と、
前記最終候補データの中で、前記消音器の前記設置費用の総計が最も小さいものを最適データとして選定し、当該最適データにおける、前記音源の各々に対して割り当てられた前記設置位置及び前記消音器の種類、及び前記消音器の前記設置費用の総計を表示する設計結果出力部と、
を備えることを特徴とする請求項2に記載の消音設計支援システム。
【請求項4】
前記設計候補データ更新部は、前記交叉処理においては、
一の前記設計候補データの、一部の前記音源に対して、対応する前記消音器の種類を、他の前記設計候補データにおいて当該一部の音源に対応する前記消音器の種類に置換することで、前記一の設計候補データにおける前記音源と前記消音器の種類との前記対応関係を更新するとともに、
1以上の前記設置位置を選択し、選択された前記設置位置に関しては、前記一の設計候補データと前記他の設計候補データのいずれか一方における前記音源と前記設置位置との前記対応関係を継承するように、前記音源に対して前記設置位置を割り当て、前記設置位置が割り当てられなかった前記音源に対しては、異なる前記音源に同一の前記設置位置が割り当てられないように、複数の前記設置位置の中の、選択された前記設置位置以外の前記設置位置を割り当てることで、前記一の設計候補データにおける前記音源と前記設置位置との前記対応関係を更新する
ことを特徴とする請求項2または3に記載の消音設計支援システム。
【請求項5】
前記設計候補データ更新部は、前記突然変異処理においては、
前記設計候補データの、一部の前記音源に対して、対応する前記消音器の種類を、ランダムに、他の前記消音器の種類に置換する、消音器種類突然変異処理と、
前記設計候補データの、ランダムに選択された一の前記音源と二の前記音源に対して、対応する前記設置位置を互いに入れ替える、設置位置突然変異処理と、
を実行することを特徴とする請求項2または3に記載の消音設計支援システム。
【請求項6】
建物施設から発生する設備振動を抑制するための防振設計を支援する、防振設計支援システムであって、
建物施設内の振動源を設置する対象となる複数の設置位置の各々から受振点の各々までの、周波数帯域ごとの伝搬損失、複数の種類の防振材の各々の、周波数帯域ごとの振動低減量及び設置費用、前記振動源の各々の、周波数帯域ごとのパワーレベル、及び前記受振点の各々における振動レベルの振動閾値が、設計条件として設定されているデータベースと、
前記伝搬損失と、前記振動低減量、前記設置費用、及び前記パワーレベルを基に、全ての前記受振点における振動レベルが当該受振点の前記振動閾値を下回るとともに、前記防振材の前記設置費用の総計が小さくなるように、進化計算手法を適用して、前記振動源ごとに、複数の前記設置位置から当該振動源を設置する前記設置位置を、及び複数の種類の前記防振材から当該振動源に対して設置する前記防振材を、それぞれ選定して割り当てることで、前記振動源及び前記防振材の設置案を策定する設置案策定部と、
を備えることを特徴とする防振設計支援システム。
発明の詳細な説明
【技術分野】
【0001】
本発明は、建物施設内から発生する設備騒音を抑制する推奨施策を提示する設備騒音対策用の消音設計支援システム、及び設備振動対策用の防振設計支援システムに関する。
続きを表示(約 3,900 文字)
【背景技術】
【0002】
多くの設備が設置される工場、ごみ処理場、プラント等の建物施設においては、設備によって生じる騒音が、当該建物施設の敷地境界線上において、定められた規制値以下となる必要がある。したがって、建物施設を計画する段階において、敷地境界線上で騒音が規制値以上となることが想定される場合には、騒音に関する対策を施す必要がある。
【0003】
このような騒音の対策に関し、次のような特許文献1~3が開示されている。
特許文献1には、騒音発生源から発生する騒音の伝播距離及び遮音設備に対して減衰した音圧レベルをサンプリング地点毎に求め、騒音発生源別に求めた音圧レベル値をサンプリング地点毎に加算し、その加算値に応じたデータをサンプリング地点毎に騒音発生源と遮音設備と共に表示する構成が開示されている。
特許文献2には、機器の実稼働状態の振動騒音伝達状態及びその寄与率を推定し、振動騒音伝達経路確率推論モデルに基づき、事前対応施策実施の有無と事後問題発生抑止率を関連付ける事後振動騒音問題抑止確度表を生成し、入力される各々の振動騒音問題の抑制施策実施にかかる事前費用及び問題発生後にかかる事後費用からなる事前事後費用リストに基づき費用表を生成し、事後振動騒音問題抑止確度表及び費用表に基づいて、最適な適用施策と共に最適な適用施策を実施した時の予想振動騒音レベルをユーザーに提示する構成が開示されている。
特許文献3には、機器の実稼働状態の振動騒音伝達状態及びその寄与率を推定し、振動騒音伝達経路確率推論モデルに基づき事前対応施策実施の有無と事後問題発生抑止率を関連付ける振動騒音問題抑止確度表を生成し、入力される各々の振動騒音問題の抑制施策実施にかかる事前費用及び問題発生後にかかる事後費用からなる事前事後費用リストに基づき費用表を生成し、振動騒音問題抑止確度表及び費用表に基づき費用期待値に関する利得表を生成し、入力される製品の設計製作の各工程における行動選択と状況判断のツリー構造であるゲーム木における、行動選択の各選択肢の費用期待値に関する利得表を生成しユーザーに提示する構成が開示されている。
【0004】
ところで、騒音の対策を行うその対象としては、音源となる設備や、設備から敷地境界線までの騒音の伝搬経路が考えられる。例えば音源となる設備に対しては、設備に消音器を取り付けることで、騒音を低減するのが一般的である。
しかし、設備は、その種類によって、発生する騒音の周波数特性が異なる。同様に、消音器においても、その種類によって、消音する対象となる音の周波数特性が異なる。このため、設備に対して消音器を設置するに際しては、その種類を、詳細に検討する必要がある。ここで、対策を要する設備や、敷地境界上において騒音を評価するべき地点の数は、通常であれば、数十、数百の数に及ぶ。このため、敷地境界線上の全ての地点において騒音が規制値以下となるように、消音器の設置費用を考慮しつつ、各設備に対して適切に消音器の種類を選定する、という作業を、人間が行うことは、実質的に不可能である。
【0005】
また、建物施設を設計するに際し、設備設計の段階においては、設備の各々を、建物施設内のどの位置に設置するかを決定する。ここで、音源となる設備の各々は、その種類や性質に応じて、発する音のパワーレベルが異なる。したがって、敷地境界線における騒音を低減するためには、単純に距離減衰のみを考えれば、パワーレベルがより大きな音源(となり得る設備)を、敷地境界線からできるだけ離れた位置に設けるのが、好ましい。
しかし、実際には音波の距離減衰以外にも、音源と敷地境界線の間に障害物等が存在する場合には反射や回折といった現象により、音源の位置から敷地境界線までの伝搬特性は複雑である。また、設置すべき設備の数が多い場合には、設備を設置する対象となる設置位置の数も同時に多くなる。このため、敷地境界線上の全ての地点において騒音が規制値以下となるように、全ての音源(となり得る設備)を設置する設置位置を選定する、という作業を、人間が行うことは、容易ではない。
【0006】
これに関し、上記の特許文献1においては、サンプリング地点における音圧レベルを表示するものであり、音源となる設備の設置位置の選定や、消音器の種類の選定に適用できるものではない。また、特許文献2、3においては、使用者が事前に、適用施策のリストを準備し、適用施策にかかる費用等を基に利得表を生成するものであり、これらの技術を用いて、音源となる設備や消音器の設置案の策定を、自動的に行うようにすることは難しい。
建物施設内に音源を設置し、かつ音源に対して消音器を設置するに際し、受音点における音圧レベルが騒音閾値を下回り、かつ消音器の設置費用が小さくなるような設置案を、自動的に計算することが望まれている。
【0007】
同様なことが、振動に関しても、望まれている。すなわち、建物施設内に振動源を設置し、かつ振動源に対して防振材を設置するに際し、受振点における振動レベルが振動閾値を下回り、かつ防振材の設置費用が小さくなるような設置案を、自動的に計算することが望まれている。
【先行技術文献】
【特許文献】
【0008】
特許平2-287770号公報
特開2019-106032号公報
特開2019-191851号公報
【発明の概要】
【発明が解決しようとする課題】
【0009】
本発明が解決しようとする課題は、建物施設内に音源を設置し、かつ音源に対して消音器を設置するに際し、受音点における音圧レベルが騒音閾値を下回り、かつ消音器の設置費用が小さくなるような設置案を、自動的に計算する、消音設計支援システム、及び、建物施設内に振動源を設置し、かつ振動源に対して防振材を設置するに際し、受振点における振動レベルが振動閾値を下回り、かつ防振材の設置費用が小さくなるような設置案を、自動的に計算する、防振設計支援システムを提供することである。
【課題を解決するための手段】
【0010】
本発明者は、建物施設内から発生する設備騒音を抑制する消音設計支援システムとして、音源を設置する対象となる複数の設置位置から受音点までの伝搬損失と、消音器の騒音低減量及び設置費用、及び音源の各々の、周波数帯域ごとのパワーレベルを基に、全ての受音点での音圧レベルを騒音閾値以下とし、かつ消音器の設置費用の総計が小さい設備騒音対策用の推奨施策案を選定するに際して、進化計算手法を使用することで、短時間で、音源ごとに、複数の設置位置から当該音源を設置する適切な設置位置を、及び複数の種類の消音器から適切な消音器を、それぞれ選定して、音源と消音器の設置案を提示できる点に着眼し、本発明に至った。
また、防振設計支援システムでは、前記消音設計支援システムでの設備騒音及び音圧を、設備振動と振動レベルに読み替えるとともに、音源を振動源とし、消音器を防振材と、それぞれ読み替えることで、設備振動を抑制する推奨施策案を提示するものである。
本発明は、上記課題を解決するため、以下の手段を採用する。
すなわち、本発明の消音設計支援システムは、建物施設から発生する設備騒音を抑制するための消音設計を支援する、消音設計支援システムであって、建物施設内の音源を設置する対象となる複数の設置位置の各々から受音点の各々までの、周波数帯域ごとの伝搬損失、複数の種類の消音器の各々の、周波数帯域ごとの騒音低減量及び設置費用、前記音源の各々の、周波数帯域ごとのパワーレベル、及び前記受音点の各々における音圧レベルの騒音閾値が、設計条件として設定されているデータベースと、前記伝搬損失と、前記騒音低減量、前記設置費用、及び前記パワーレベルを基に、全ての前記受音点における音圧レベルが当該受音点の前記騒音閾値を下回るとともに、前記消音器の前記設置費用の総計が小さくなるように、進化計算手法を適用して、前記音源ごとに、複数の前記設置位置から当該音源を設置する前記設置位置を、及び複数の種類の前記消音器から当該音源に対して設置する前記消音器を、それぞれ選定して割り当てることで、前記音源及び前記消音器の設置案を策定する設置案策定部と、を備えることを特徴とする。
このような構成によれば、音源(となり得る設備)を設置する対象となる複数の設置位置の各々から受音点の各々までの伝搬損失と、消音器の騒音低減量及び設置費用、音源のパワーレベルを基に、全ての受音点における音圧レベルが当該受音点の騒音閾値を下回るともに、消音器の設置費用の総計が小さくなるように、進化計算手法を適用して、音源ごとに、複数の設置位置から当該音源を設置する設置位置を、及び複数の種類の消音器から当該音源に対して設置する消音器を、それぞれ選定して割り当てることで、音源及び消音器の設置案が求められる。これにより、建物施設内に音源を設置し、かつ音源に対して消音器を設置するに際し、受音点における音圧レベルが騒音閾値を下回り、かつ消音器の設置費用が小さくなるような消音器の設置案を、自動的に計算する、消音設計支援システムを提供することができる。
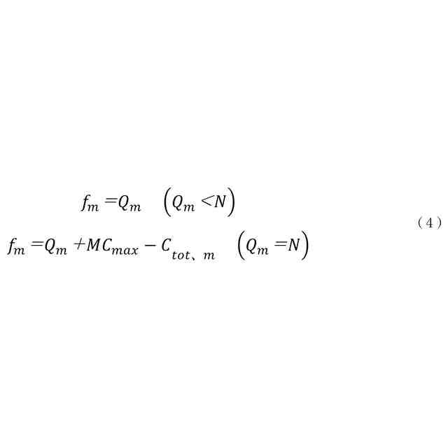
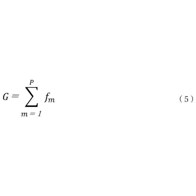
(【0011】以降は省略されています)
この特許をJ-PlatPat(特許庁公式サイト)で参照する
関連特許
大成建設株式会社
送電装置
8日前
大成建設株式会社
推定方法
1か月前
大成建設株式会社
防振床構造
8日前
大成建設株式会社
風洞実験装置
26日前
大成建設株式会社
気体貯蔵放出材料
8日前
大成建設株式会社
地盤計測システム
29日前
大成建設株式会社
締固め状態推定方法
1日前
大成建設株式会社
木材性状推定システム
1か月前
大成建設株式会社
炭酸カルシウムの製造装置
8日前
大成建設株式会社
緑化構造物および緑化方法
1日前
大成建設株式会社
足場装置および足場構築方法
1か月前
大成建設株式会社
木材縦弾性係数推定システム
1か月前
大成建設株式会社
電力供給装置及び電力供給方法
29日前
大成建設株式会社
土壌改良剤、及び土壌改良方法
1か月前
大成建設株式会社
仮設鋼床版および床版取替工法
1か月前
大成建設株式会社
免震基礎構造およびその構築方法
1か月前
大成建設株式会社
中和処理システムと中和処理方法
8日前
大成建設株式会社
建物の健全性モニタリングシステム
9日前
大成建設株式会社
単杭の極限先端支持力度の評価方法
1か月前
大成建設株式会社
風力発電方法および風力発電システム
16日前
大成建設株式会社
内空変位計測システム及び内空変位計測方法
1か月前
大成建設株式会社
消音設計支援システム、防振設計支援システム
1か月前
大成建設株式会社
木質構造部材の補強構造、及び木質構造部材の補強方法
1か月前
大成建設株式会社
制振建物
8日前
大成建設株式会社
杭基礎構造
8日前
大成建設株式会社
RC壁架構
8日前
大成建設株式会社
インバート変位計測システムおよびインバート変位計測方法
1か月前
大成建設株式会社
車両用ワイヤレス給電システム及び車両用ワイヤレス給電方法
16日前
大成建設株式会社
積層体部材、構造体、積層体部材を用いて構造体を構築する方法
1か月前
JFEシビル株式会社
トンネル間地盤性状の調査方法及び装置
1か月前
大成建設株式会社
音源位置決定方法、音源位置決定プログラムおよび音源位置決定装置
16日前
大成建設株式会社
既設橋脚におけるアンカーボルトの施工方法およびブラケットの取付構造
1か月前
アキレス株式会社
養生シート製品、養生区画、及び養生区画の構築方法
1か月前
株式会社渋谷潜水工業
切断装置
1か月前
大成建設株式会社
ソイルモルタル製造システム、ソイルモルタル製造方法およびソイルモルタル打設方法
1か月前
浙江大学
深層学習に基づく損傷判定方法
29日前
続きを見る
他の特許を見る