TOP
|
特許
|
意匠
|
商標
特許ウォッチ
Twitter
他の特許を見る
公開番号
2025128496
公報種別
公開特許公報(A)
公開日
2025-09-03
出願番号
2024025183
出願日
2024-02-22
発明の名称
情報処理システム
出願人
花王株式会社
代理人
弁理士法人南青山国際特許事務所
主分類
G16H
20/60 20180101AFI20250827BHJP(特定の用途分野に特に適合した情報通信技術)
要約
【課題】ダイエットに食生活改善と運動量増加のうちどちらが効果的かをユーザに把握させる。
【解決手段】情報処理システムにおいて、制御部は、食生活改善によるダイエット効果が観察された被験者の身体計測情報、生体試料情報、生活習慣、健康状態又はパーソナリティに関する質問票に対する回答情報のうち少なくとも1つを説明変数とし、ダイエット効果の高さを示す第1予測値を目的変数として学習させた第1学習済みモデルに、任意のユーザの身体計測情報、生体試料情報及び回答情報のうち少なくとも1つを入力し、第1学習済みモデルから出力された第1予測値を取得し、運動量増加によるダイエット効果が観察された被験者の身体計測情報、生体試料情報及び回答情報のうち少なくとも1つを説明変数として学習させた第2学習済みモデルから出力された第2予測値を取得し、予測値を比較した結果を基にユーザへダイエット方法を提案する提案情報を生成する。
【選択図】図6
特許請求の範囲
【請求項1】
食生活改善によるダイエット効果が観察された被験者の身体計測情報と、当該被験者から採取された生体試料情報と、当該被験者の生活習慣、健康状態又はパーソナリティに関する質問票に対する回答情報のうち少なくとも1つを説明変数とし、前記被験者の食生活改善によるダイエット効果の高さを示す第1予測値を目的変数として学習させた第1学習済みモデルに、任意のユーザの前記身体計測情報、前記生体試料情報及び前記回答情報のうち少なくとも1つを入力し、
前記第1学習済みモデルから出力された前記第1予測値を取得し、
運動量増加によるダイエット効果が観察された被験者の身体計測情報、当該被験者から採取された生体試料情報及び当該被験者の前記質問票に対する回答情報のうち少なくとも1つを説明変数とし、前記被験者の運動量増加によるダイエット効果の高さを示す第2予測値を目的変数として学習させた第2学習済みモデルに、前記ユーザの前記身体計測情報、前記生体試料情報及び前記回答情報のうち少なくとも1つを入力し、
前記第2学習済みモデルから出力された前記第2予測値を取得し、
前記第1予測値と前記第2予測値とを比較した結果を基に前記ユーザへダイエット方法を提案する提案情報を生成する、
制御部
を具備する情報処理システム。
続きを表示(約 1,600 文字)
【請求項2】
前記制御部は、前記ユーザのユーザ端末又は前記ユーザの身体計測若しくは生体試料検査を実施した機関の機関端末から、前記ユーザの前記身体計測情報、前記生体試料情報及び前記回答情報のうち少なくとも1つを含む提案要求情報を受信し、前記生成した提案情報を前記ユーザ端末又は前記機関端末へ送信する
請求項1に記載の情報処理システム。
【請求項3】
前記制御部は、前記第1予測値と前記第2予測値とを比較して高い方の値を基に前記提案情報を生成する
請求項1に記載の情報処理システム。
【請求項4】
前記制御部は、前記第1予測値と前記第2予測値とを比較して両者の比を基に前記提案情報を生成する
請求項1に記載の情報処理システム。
【請求項5】
前記ダイエット効果は、体重減少効果であり、
前記制御部は、
前記ユーザ端末又は前記機関端末から、前記提案要求情報の一部として前記ユーザの体重を示す情報を受信し、
前記提案情報として、前記食生活改善又は前記運動量増加により前記ユーザの体重が所定期間でどれだけ減少するかを示す情報を生成する
請求項2に記載の情報処理システム。
【請求項6】
前記ダイエット効果は、内臓脂肪面積減少効果であり、
前記制御部は、
前記ユーザ端末又は前記機関端末から、前記提案要求情報の一部として前記ユーザの体重を示す情報を受信し、
前記提案情報として、前記食生活改善又は前記運動量増加により前記ユーザの内臓脂肪面積が所定期間でどれだけ減少するかを示す情報を生成する
請求項2に記載の情報処理システム。
【請求項7】
前記制御部は、
前記提案情報の生成に際し、前記ユーザに対応するアカウントに所定の第1金額を課金し、
前記ユーザ端末から、前記提案情報が示す減少効果を達成したことを示す情報を受信した場合に、前記第1金額から所定の第2金額を減額する
請求項5又は6に記載の情報処理システム。
【請求項8】
前記生体試料情報は、血液検査情報である
請求項1に記載の情報処理システム。
【請求項9】
前記生体試料情報は、皮脂検査情報である
請求項1に記載の情報処理システム。
【請求項10】
食生活改善によるダイエット効果が観察された被験者の身体計測情報と、当該被験者から採取された生体試料情報と、当該被験者の生活習慣、健康状態又はパーソナリティに関する質問票に対する回答情報のうち少なくとも1つを説明変数とし、前記被験者の食生活改善によるダイエット効果の高さを示す第1予測値を目的変数として学習させた第1学習済みモデルに、任意のユーザの前記身体計測情報、前記生体試料情報及び前記回答情報のうち少なくとも1つを入力し、
前記第1学習済みモデルから出力された前記第1予測値を取得し、
運動量増加によるダイエット効果が観察された被験者の身体計測情報、当該被験者から採取された生体試料情報及び当該被験者の前記質問票に対する回答情報のうち少なくとも1つを説明変数とし、前記被験者の運動量増加によるダイエット効果の高さを示す第2予測値を目的変数として学習させた第2学習済みモデルに、前記ユーザの前記身体計測情報、前記生体試料情報及び前記回答情報のうち少なくとも1つを入力し、
前記第2学習済みモデルから出力された前記第2予測値を取得し、
前記第1予測値と前記第2予測値とを比較した結果を基に前記ユーザへダイエット方法を提案する提案情報を生成する、
情報処理装置が実行する情報処理方法。
(【請求項11】以降は省略されています)
発明の詳細な説明
【技術分野】
【0001】
本発明は、ユーザの食生活改善又は運動量増加によるダイエット効果に関する情報を提供可能な情報処理システム、情報処理方法及びプログラムに関する。
続きを表示(約 2,800 文字)
【背景技術】
【0002】
従来から、ユーザの健康増進を支援するためのシステムが存在する。例えば下記特許文献1には、複数の肥満遺伝子の遺伝子多型情報の組み合わせに関連付けて健康支援情報(食事に関する情報、運動に関する情報、栄養補助食品に関する情報)を取得し、利用者の健康に関する2以上の遺伝子多型情報を取得し、この取得した健康支援情報のうち、同じく取得した利用者の2以上の遺伝子多型情報の組み合わせに該当する健康支援情報を特定して、この健康支援情報を利用者に確認させる健康支援情報提供方法が開示されている。
【先行技術文献】
【特許文献】
【0003】
特開2007-034845号公報
【発明の概要】
【発明が解決しようとする課題】
【0004】
ところで、ユーザによっては、運動量増加よりも食生活改善の方がダイエット効果が高いユーザもいれば、逆に食生活改善よりも運動量増加の方がダイエット効果が高いユーザもいる。しかし上記特許文献1の技術では、食事に関する情報と運動に関する情報のうち、どちらがユーザのダイエットにより効果的かといった情報は提供できない。
【0005】
本発明の課題は、ユーザのダイエットに食生活改善と運動量増加のうちどちらが効果的かをユーザに把握させることが可能な情報処理システム、情報処理方法及びプログラムを提供することに関する。
【課題を解決するための手段】
【0006】
本発明の一形態に係る情報処理システムは、制御部を有する。制御部は、被験者の身体計測情報と、当該被験者から採取された生体試料情報と、当該被験者の生活習慣、健康状態又はパーソナリティに関する質問票に対する回答情報のうち少なくとも1つを説明変数とし、前記被験者の食生活改善によるダイエット効果の高さを示す第1予測値を目的変数として学習させた第1学習済みモデルに、任意のユーザの前記身体計測情報、前記生体試料情報及び前記回答情報のうち少なくとも1つを入力し、前記第1学習済みモデルから出力された前記第1予測値を取得する。また制御部は、被験者の身体計測情報、当該被験者から採取された生体試料情報及び当該被験者の前記質問票に対する回答情報のうち少なくとも1つを説明変数とし、前記被験者の運動量増加によるダイエット効果の高さを示す第2予測値を目的変数として学習させた第2学習済みモデルに、前記ユーザの前記身体計測情報、前記生体試料情報及び前記回答情報のうち少なくとも1つを入力し、前記第2学習済みモデルから出力された前記第2予測値を取得する。そして制御部は、前記第1予測値と前記第2予測値とを比較した結果を基に前記ユーザへダイエット方法を提案する提案情報を生成する。
【0007】
本発明の他の形態に係る情報処理方法は、
被験者の身体計測情報と、当該被験者から採取された生体試料情報と、当該被験者の生活習慣、健康状態又はパーソナリティに関する質問票に対する回答情報のうち少なくとも1つを説明変数とし、前記被験者の食生活改善によるダイエット効果の高さを示す第1予測値を目的変数として学習させた第1学習済みモデルに、任意のユーザの前記身体計測情報、前記生体試料情報及び前記回答情報のうち少なくとも1つを入力し、
前記第1学習済みモデルから出力された前記第1予測値を取得し、
被験者の身体計測情報、当該被験者から採取された生体試料情報及び当該被験者の前記質問票に対する回答情報のうち少なくとも1つを説明変数とし、前記被験者の運動量増加によるダイエット効果の高さを示す第2予測値を目的変数として学習させた第2学習済みモデルに、前記ユーザの前記身体計測情報、前記生体試料情報及び前記回答情報のうち少なくとも1つを入力し、
前記第2学習済みモデルから出力された前記第2予測値を取得し、
前記第1予測値と前記第2予測値とを比較した結果を基に前記ユーザへダイエット方法を提案する提案情報を生成する、
ことを含む。
【0008】
本発明のまた別の形態に係るプログラムは、情報処理装置に、
被験者の身体計測情報と、当該被験者から採取された生体試料情報と、当該被験者の生活習慣、健康状態又はパーソナリティに関する質問票に対する回答情報のうち少なくとも1つを説明変数とし、前記被験者の食生活改善によるダイエット効果の高さを示す第1予測値を目的変数として学習させた第1学習済みモデルに、ユーザの前記身体計測情報、前記生体試料情報及び前記回答情報のうち少なくとも1つを入力するステップと、
前記第1学習済みモデルから出力された前記第1予測値を取得するステップと、
被験者の身体計測情報、当該被験者から採取された生体試料情報及び当該被験者の前記質問票に対する回答情報のうち少なくとも1つを説明変数とし、前記被験者の運動量増加によるダイエット効果の高さを示す第2予測値を目的変数として学習させた第2学習済みモデルに、前記ユーザの前記身体計測情報、前記生体試料情報及び前記回答情報のうち少なくとも1つを入力するステップと、
前記第2学習済みモデルから出力された前記第2予測値を取得するステップと、
前記第1予測値と前記第2予測値とを比較した結果を基に前記ユーザへダイエット方法を提案する提案情報を生成するステップと、
を実行させる。
【発明の効果】
【0009】
本発明の一形態に係る情報処理システムによれば、ユーザのダイエットに食生活改善と運動量増加のうちどちらが効果的かをユーザに把握させることができる。しかし、当該効果は本発明を限定するものではない。
【図面の簡単な説明】
【0010】
本発明の一実施形態に係るダイエット効果予測モデル生成システムの構成を示した図である。
本発明の一実施形態に係るダイエット情報提供サーバのハードウェア構成を示した図である。
本発明の一実施形態に係るダイエット情報提供サーバが有するデータベースの構成を示した図である。
本発明の一実施形態に係るダイエット情報提供サーバによる、ダイエット効果予測モデルの生成処理の流れを示したフローチャートである。
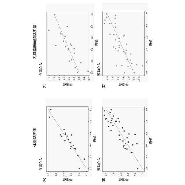
本発明の一実施形態に係るダイエット情報提供サーバによる、ダイエット効果予測モデルの予測精度について説明した図である。
本発明の一実施形態に係るダイエット情報提供サーバによる、上記ダイエット効果予測モデルを用いたダイエット提案情報提供処理の流れを示したフローチャートである。
【発明を実施するための形態】
(【0011】以降は省略されています)
この特許をJ-PlatPat(特許庁公式サイト)で参照する
関連特許
花王株式会社
袋体
1か月前
花王株式会社
吐出容器
1か月前
花王株式会社
清掃用具
1か月前
花王株式会社
吐出容器
1か月前
花王株式会社
包装容器
11日前
花王株式会社
乳化化粧料
1か月前
花王株式会社
毛髪洗浄剤
1か月前
花王株式会社
泡吐出容器
1か月前
花王株式会社
乳化化粧料
20日前
花王株式会社
皮膚洗浄料
11日前
花王株式会社
油性化粧料
28日前
花王株式会社
乳化化粧料
1か月前
花王株式会社
口腔用組成物
13日前
花王株式会社
洗浄剤組成物
19日前
花王株式会社
洗浄剤組成物
19日前
花王株式会社
洗浄剤組成物
19日前
花王株式会社
口腔用組成物
13日前
花王株式会社
口腔用組成物
13日前
花王株式会社
練歯磨組成物
22日前
花王株式会社
抗菌剤組成物
1か月前
花王株式会社
アノード電極
12日前
花王株式会社
口腔用組成物
13日前
花王株式会社
バイオセンサー
11日前
花王株式会社
水系顔料分散体
1か月前
花王株式会社
衣料用液体洗浄剤
1か月前
花王株式会社
衣料用液体洗浄剤
1か月前
花王株式会社
ウイルス検出方法
1か月前
花王株式会社
鋳型造型用キット
12日前
花王株式会社
湿潤粉体付着抑制剤
12日前
花王株式会社
静電荷像現像用トナー
1か月前
花王株式会社
硬質表面用拭浄シート
1か月前
花王株式会社
静電荷像現像用トナー
1か月前
花王株式会社
静電荷像現像用トナー
1か月前
花王株式会社
体脂肪変化の予測方法
28日前
花王株式会社
液体含浸シート包装体
1か月前
花王株式会社
中栓部材及び吐出容器
25日前
続きを見る
他の特許を見る