TOP
|
特許
|
意匠
|
商標
特許ウォッチ
Twitter
他の特許を見る
10個以上の画像は省略されています。
公開番号
2025180550
公報種別
公開特許公報(A)
公開日
2025-12-11
出願番号
2024087956
出願日
2024-05-30
発明の名称
半導体集積回路
出願人
ローム株式会社
代理人
個人
,
個人
,
個人
,
個人
主分類
H10D
89/00 20250101AFI20251204BHJP()
要約
【課題】DAC回路のスイッチング回路の配線効率の低下を抑制できる半導体集積回路を提供する。
【解決手段】半導体集積回路1は、第1スイッチSW1と第2スイッチSW2の状態に応じた電圧レベルの出力信号Doutを出力する。出力回路20と第1スイッチトランジスタM3の間に第1補償トランジスタM1が直列接続され、出力回路20と第2スイッチトランジスタM4の間に第2補償トランジスタM2が直列接続されている。第1補償トランジスタM1の第2主電極と第1スイッチトランジスタM3、第2補償トランジスタM2の第2主電極と第2スイッチトランジスタM4の第1主電極、第1スイッチトランジスタM3の第2主電極と第2スイッチトランジスタM4の第2主電極が、それぞれ半導体基板200で一体化されている。
【選択図】図4
特許請求の範囲
【請求項1】
第1信号に制御される第1スイッチ、および前記第1信号を反転させた第2信号に制御される第2スイッチを含むスイッチング回路と、
前記第1スイッチと前記第2スイッチのオンオフ状態に応じて電圧レベルが設定される出力信号を出力する出力回路と、
を備え、前記第1信号をデジタル信号としてデジタルアナログ変換した前記出力信号を出力する半導体集積回路であって、
前記スイッチング回路が、
前記第1信号が制御電極に入力される第1スイッチトランジスタと、
前記第2信号が制御電極に入力される第2スイッチトランジスタと、
前記出力回路と前記第1スイッチトランジスタの間に直列接続された第1補償トランジスタと、
前記出力回路と前記第2スイッチトランジスタの間に直列接続された第2補償トランジスタと、
を含み、
前記第1補償トランジスタ、前記第1スイッチトランジスタ、前記第2スイッチトランジスタ、前記第2補償トランジスタがこの順に半導体基板に形成され、
前記第1補償トランジスタの第2主電極と前記第1スイッチトランジスタの第1主電極が前記半導体基板で一体化され、
前記第2補償トランジスタの第2主電極と前記第2スイッチトランジスタの第1主電極が前記半導体基板で一体化され、
前記第1スイッチトランジスタの第2主電極と前記第2スイッチトランジスタの第2主電極が前記半導体基板で一体化されている、
半導体集積回路。
続きを表示(約 1,100 文字)
【請求項2】
前記第1補償トランジスタ、前記第1スイッチトランジスタ、前記第2スイッチトランジスタおよび前記第2補償トランジスタが、前記第1スイッチトランジスタと前記第2スイッチトランジスタの境界において、前記半導体基板の主面の法線を対称軸として線対称に構成されている、請求項1に記載の半導体集積回路。
【請求項3】
前記第1スイッチトランジスタの第2主電極および前記第2スイッチトランジスタの第2主電極と電気的に接続された定電流回路を更に備える、請求項1又は2に記載の半導体集積回路。
【請求項4】
前記第1補償トランジスタ、前記第1スイッチトランジスタ、前記第2スイッチトランジスタ、前記第2補償トランジスタが第1方向に沿ってこの順に配置され、前記定電流回路を含む第1パターンセルと、
前記第1補償トランジスタ、前記第1スイッチトランジスタ、前記第2スイッチトランジスタ、前記第2補償トランジスタが前記第1方向と逆向きの第2方向に沿ってこの順に配置され、前記定電流回路を含む第2パターンセルと、
を含み、
前記第1方向に沿って前記第1パターンセルと前記第2パターンセルが配列されている、
請求項3に記載の半導体集積回路。
【請求項5】
デジタル信号を出力するデジタル信号回路と、
前記デジタル信号が入力され、前記第1信号を出力するラッチ回路と、
を更に備える、請求項4に記載の半導体集積回路。
【請求項6】
前記定電流回路、前記スイッチング回路、前記ラッチ回路、前記デジタル信号回路が前記第1方向に対して垂直に配置されて回路ブロックを構成する、請求項5に記載の半導体集積回路。
【請求項7】
前記第1方向に平行な対称線を対称軸として線対称に配置された2つの前記回路ブロックからなる回路ブロック対を備える、請求項6に記載の半導体集積回路。
【請求項8】
前記回路ブロックのそれぞれに含まれる前記定電流回路が、前記対称線を挟んで対向し、かつ前記対称線を対称軸として線対称に構成されている、請求項7に記載の半導体集積回路。
【請求項9】
前記回路ブロック対が前記第1方向に沿って複数配列された回路グループが構成されている、請求項7に記載の半導体集積回路。
【請求項10】
複数の前記回路グループが前記半導体基板にマトリクス状に配置されている、請求項9に記載の半導体集積回路。
(【請求項11】以降は省略されています)
発明の詳細な説明
【技術分野】
【0001】
本開示は、半導体集積回路に関する。
続きを表示(約 2,400 文字)
【背景技術】
【0002】
半導体基板にトランジスタなどの素子を形成した半導体集積回路が使用されている。例えば、スイッチング回路を用いてデジタル信号をアナログ信号に変換するデジタルアナログ変換回路(以下、「DAC回路」とも表記する。)が半導体基板に形成されている。
【先行技術文献】
【特許文献】
【0003】
特開2007-324661号公報
【0004】
[概要]
半導体集積回路では、同一構造のトランジスタを半導体基板に同じ向きに形成するレイアウトを採用可能である。しかし、半導体集積回路においてトランジスタを同じ向きに形成すると、配線が長くなって配線効率の低下が生じる場合がある。本開示は、配線効率の低下を抑制できる半導体集積回路を提供することを目的とする。
【0005】
本開示の一態様は、第1信号に制御される第1スイッチ、および第1信号を反転させた第2信号に制御される第2スイッチを含むスイッチング回路と、第1スイッチと第2スイッチのオンオフ状態に応じて電圧レベルが設定される出力信号を出力する出力回路を備え、第1信号をデジタル信号としてデジタルアナログ変換した出力信号を出力する半導体集積回路である。スイッチング回路は、第1信号が制御電極に入力される第1スイッチトランジスタと、第2信号が制御電極に入力される第2スイッチトランジスタと、出力回路と第1スイッチトランジスタの間に直列接続された第1補償トランジスタと、出力回路と第2スイッチトランジスタの間に直列接続された第2補償トランジスタを含む。第1補償トランジスタ、第1スイッチトランジスタ、第2スイッチトランジスタ、第2補償トランジスタがこの順に半導体基板に形成されている。第1補償トランジスタの第2主電極と第1スイッチトランジスタの第1主電極が半導体基板で一体化され、第2補償トランジスタの第2主電極と第2スイッチトランジスタの第1主電極が半導体基板で一体化され、第1スイッチトランジスタの第2主電極と第2スイッチトランジスタの第2主電極が半導体基板で一体化されている。
【図面の簡単な説明】
【0006】
図1は、実施形態に係る半導体集積回路の構成を示す回路図である。
図2は、実施形態に係る半導体集積回路の動作を説明するためのタイムチャートである。
図3は、実施形態に係る半導体集積回路のスイッチング回路の構成を示す回路図である。
図4は、実施形態に係る半導体集積回路のスイッチング回路を構成するトランジスタのレイアウトを示す模式的な断面図である。
図5は、実施形態に係る半導体集積回路のスイッチング回路を構成するトランジスタのレイアウトを示す模式的な平面図である。
図6は、スイッチング回路を構成するトランジスタの比較例のレイアウトを示す模式的な平面図である。
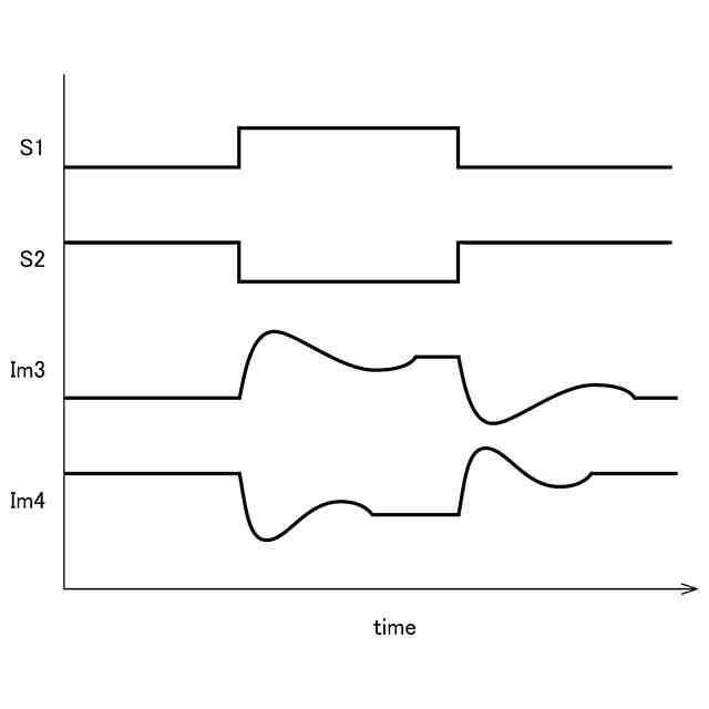
図7は、実施形態に係る半導体集積回路のスイッチング回路を流れる電流のタイムチャートである。
図8は、実施形態に係る半導体集積回路の第1パターンセルと第2パターンセルの配置を示す模式図である。
図9は、実施形態に係る半導体集積回路の複数のパターンセルの配置を示す模式図である。
図10は、実施形態に係る半導体集積回路の回路ブロックの構成を示す模式図である。
図11は、実施形態に係る半導体集積回路の回路ブロック対の構成を示す模式図である。
図12は、実施形態に係る半導体集積回路の定電流トランジスタの構成を示す模式図である。
図13は、実施形態に係る半導体集積回路の回路グループの構成を示す模式図である。
図14は、実施形態に係る半導体集積回路を4つの回路グループにより構成した例を示す模式図である。
図15Aは、実施形態に係る半導体集積回路における歪み特性を示すグラフである。
図15Bは、比較例のスイッチング回路を使用した半導体集積回路における歪み特性を示すグラフである。
【0007】
[詳細な説明]
次に、図面を参照して実施形態を説明する。以下の図面の記載において、同一又は類似の部分には同一又は類似の符号を付している。ただし、図面は模式的なものであり、厚みと平面寸法との関係、各部の厚みの比率などは現実のものとは異なることに留意すべきである。また、図面相互間においても互いの寸法の関係又は比率が異なる部分が含まれていることは勿論である。
【0008】
また、以下に示す実施形態は、技術的思想を具体化するための装置又は方法を例示するものであって、構成部品の形状、構造、配置などを下記のものに特定するものでない。この実施形態は、特許請求の範囲において種々の変更を加えることができる。
【0009】
本発明の実施形態に係る半導体集積回路1は、図1に示すように、スイッチング回路10、出力回路20、定電流回路30、デジタル信号回路40、ラッチ回路50、およびインバータ60を備える。スイッチング回路10は、第1信号S1に制御される第1スイッチSW1、および第1信号S1を反転させた第2信号S2に制御される第2スイッチSW2を含む。出力回路20は、第1スイッチSW1と第2スイッチSW2のオンオフ状態に応じて電圧レベルが設定される出力信号Doutを出力する。
【0010】
第1スイッチSW1の第1端子は、第1抵抗R1を介して、スイッチング回路10に電流を供給する第1電源V1に接続されている。第1スイッチSW1の第2端子は、定電流回路30に接続されている。第2スイッチSW2の第1端子は、第2抵抗R2を介して第1電源V1に接続されている。第2スイッチSW2の第2端子は、定電流回路30に接続されている。
(【0011】以降は省略されています)
この特許をJ-PlatPat(特許庁公式サイト)で参照する
関連特許
ローム株式会社
半導体装置
13日前
ローム株式会社
半導体装置
今日
ローム株式会社
半導体装置
21日前
ローム株式会社
半導体装置
13日前
ローム株式会社
半導体装置
13日前
ローム株式会社
半導体装置
今日
ローム株式会社
半導体装置
1日前
ローム株式会社
半導体装置
6日前
ローム株式会社
半導体集積回路
今日
ローム株式会社
半導体集積回路
今日
ローム株式会社
半導体集積回路
13日前
ローム株式会社
定電圧生成回路
13日前
ローム株式会社
定電圧生成回路
13日前
ローム株式会社
半導体集積回路
14日前
ローム株式会社
半導体モジュール
22日前
ローム株式会社
半導体装置および車両
今日
ローム株式会社
比較回路、半導体装置
13日前
ローム株式会社
サーマルプリントヘッド
13日前
ローム株式会社
逐次比較型AD変換回路
21日前
ローム株式会社
電源制御装置及び電源装置
6日前
ローム株式会社
半導体装置およびシステム
21日前
ローム株式会社
監視回路及びレジスタ制御装置
13日前
ローム株式会社
信号受信装置、IC及び電気機器
27日前
ローム株式会社
電源制御装置、スイッチング電源
6日前
ローム株式会社
昇圧型スイッチングレギュレータ
15日前
ローム株式会社
電圧調整装置及び電荷蓄積システム
15日前
ローム株式会社
モータドライバ回路および駆動方法
14日前
ローム株式会社
整流回路およびAC/DCコンバータ
2日前
ローム株式会社
整流回路およびAC/DCコンバータ
2日前
ローム株式会社
整流回路およびAC/DCコンバータ
2日前
ローム株式会社
イグナイタおよび内燃機関点火システム
2日前
ローム株式会社
半導体装置および半導体装置の製造方法
14日前
ローム株式会社
検出回路、信号伝達装置、電子機器、車両
13日前
ローム株式会社
半導体装置、および半導体装置の製造方法
13日前
ローム株式会社
ドライバ、信号伝達装置、電子機器、車両
6日前
ローム株式会社
サーマルプリントヘッド及びその製造方法
13日前
続きを見る
他の特許を見る