TOP
|
特許
|
意匠
|
商標
特許ウォッチ
Twitter
他の特許を見る
10個以上の画像は省略されています。
公開番号
2025178296
公報種別
公開特許公報(A)
公開日
2025-12-05
出願番号
2025152018,2024117034
出願日
2025-09-12,2018-08-31
発明の名称
姿勢推定装置、姿勢推定方法、プログラム及び記憶媒体
出願人
パイオニア株式会社
代理人
個人
,
個人
主分類
G01C
21/28 20060101AFI20251128BHJP(測定;試験)
要約
【課題】移動体に取り付けられた計測装置の移動体への取り付け姿勢を好適に推定可能な姿勢推定装置を提供する。
【解決手段】車載機1は、区画線を車両に取り付けられたライダ2により計測した計測点群を取得し、当該計測点群に基づき、車両の走行方向に沿った区画線の中心線を算出する。そして、車載機1は、ライダ2が基準とするヨー方向基準角に対する区画線の中心線の方向に基づき、ライダ2の車両への取り付け姿勢を推定する。
【選択図】図15
特許請求の範囲
【請求項1】
移動体に取り付けられた計測装置が出力する計測点群から、移動体が走行する車線の走行路面と平行となる被計測面を有し、前記車線に沿って形成された地物が存在すると推定される範囲を計測した対象計測点群を取得する取得手段と、
前記対象計測点群から前記計測装置の走査線ごとに抽出した複数の点に基づき、前記移動体の走行方向に沿った前記被計測面上の線を算出する算出手段と、
前記車線に沿った方向を前記移動体の走行方向とみなし、前記計測装置が基準とする方向と前記線の方向とのなす角に基づき、前記計測装置の前記移動体への取り付け姿勢を推定する推定手段と、
を有する姿勢推定装置。
続きを表示(約 1,300 文字)
【請求項2】
前記取得手段は、前記地物の位置を示す地図情報に基づき前記範囲を認識する請求項1に記載の姿勢推定装置。
【請求項3】
前記推定手段は、前記線と前記計測装置におけるヨー方向の基準線とのなす角に基づき、前記計測装置のヨー方向の姿勢を推定する請求項1または2に記載の姿勢推定装置。
【請求項4】
前記推定手段は、異なる前記対象計測点群に基づき前記算出手段が算出した複数の前記線と前記基準線とのなす角を平均化することで、前記計測装置のヨー方向の姿勢を推定する請求項3に記載の姿勢推定装置。
【請求項5】
前記推定手段は、異なる前記対象計測点群に基づき前記算出手段が算出した複数の前記線と前記基準線とのなす角を、当該線の各々の算出に用いた前記点の数に基づき平均化することで、前記計測装置のヨー方向の姿勢を推定する請求項3に記載の姿勢推定装置。
【請求項6】
前記地物は、前記車線の区画線又は縁石である請求項1~5のいずれか一項に記載の姿勢推定装置。
【請求項7】
前記計測装置は、光を走査する光走査装置である請求項1~6のいずれか一項に記載の姿勢推定装置。
【請求項8】
前記基準とする方向は、前記取り付け姿勢のずれが生じていない場合に前記計測装置の座標系において前記移動体の走行方向とみなされる方向であり、前記取り付け姿勢のずれが生じた場合に、当該ずれに応じて前記移動体の走行方向と異なる方向を示す請求項1~7のいずれか一項に記載の姿勢推定装置。
【請求項9】
コンピュータが実行する姿勢推定方法であって、
移動体に取り付けられた計測装置が出力する計測点群から、移動体が走行する車線の走行路面と平行となる被計測面を有し、前記車線に沿って形成された地物が存在すると推定される範囲を計測した対象計測点群を取得する取得工程と、
前記対象計測点群から前記計測装置の走査線ごとに抽出した複数の点に基づき、前記移動体の走行方向に沿った前記被計測面上の線を算出する算出工程と、
前記車線に沿った方向を前記移動体の走行方向とみなし、前記計測装置が基準とする方向と前記線の方向とのなす角に基づき、前記計測装置の前記移動体への取り付け姿勢を推定する推定工程と、
を有する姿勢推定方法。
【請求項10】
コンピュータが実行するプログラムであって、
移動体に取り付けられた計測装置が出力する計測点群から、移動体が走行する車線の走行路面と平行となる被計測面を有し、前記車線に沿って形成された地物が存在すると推定される範囲を計測した対象計測点群を取得し、
前記対象計測点群から前記計測装置の走査線ごとに抽出した複数の点に基づき、前記移動体の走行方向に沿った前記被計測面上の線を算出し、
前記車線に沿った方向を前記移動体の走行方向とみなし、前記計測装置が基準とする方向と前記線の方向とのなす角に基づき、前記計測装置の前記移動体への取り付け姿勢を推定する処理を順に前記コンピュータに実行させるプログラム。
(【請求項11】以降は省略されています)
発明の詳細な説明
【技術分野】
【0001】
本発明は、計測装置の姿勢を推定する技術に関する。
続きを表示(約 2,500 文字)
【背景技術】
【0002】
従来から、レーダやカメラなどの計測装置の計測データに基づいて、自車位置推定などを行う技術が知られている。例えば、特許文献1には、計測センサの出力と、予め地図上に登録された地物の位置情報とを照合させることで自己位置を推定する技術が開示されている。また、特許文献2には、カルマンフィルタを用いた自車位置推定技術が開示されている。
【先行技術文献】
【特許文献】
【0003】
特開2013-257742号公報
特開2017-72422号公報
【発明の概要】
【発明が解決しようとする課題】
【0004】
計測装置から得られるデータは、計測装置を基準とした座標系の値であり、車両に対する計測装置の姿勢等に依存したデータとなっているため、車両を基準とした座標系の値に変換する必要がある。従って、計測装置の姿勢にずれが生じた場合には、そのずれを的確に検知して計測装置のデータに反映させたり、計測装置の姿勢を修正したりする必要がある。
【0005】
本発明は、上記のような課題を解決するためになされたものであり、移動体に取り付けられた計測装置の移動体への取り付け姿勢を好適に推定可能な姿勢推定装置を提供することを主な目的とする。
【課題を解決するための手段】
【0006】
請求項に記載の発明は、姿勢推定装置であって、移動体に取り付けられた計測装置が出力する計測点群から、移動体が走行する車線の走行路面と平行となる被計測面を有し、前記車線に沿って形成された地物が存在すると推定される範囲を計測した対象計測点群を取得する取得手段と、前記対象計測点群から前記計測装置の走査線ごとに抽出した複数の点に基づき、前記移動体の走行方向に沿った前記被計測面上の線を算出する算出手段と、前記車線に沿った方向を前記移動体の走行方向とみなし、前記計測装置が基準とする方向と前記線の方向とのなす角に基づき、前記計測装置の前記移動体への取り付け姿勢を推定する推定手段と、を有する。
【0007】
また、請求項に記載の発明は、姿勢推定装置が実行する姿勢推定方法であって、移動体に取り付けられた計測装置が出力する計測点群から、移動体が走行する車線の走行路面と平行となる被計測面を有し、前記車線に沿って形成された地物が存在すると推定される範囲を計測した対象計測点群を取得する取得工程と、前記対象計測点群から前記計測装置の走査線ごとに抽出した複数の点に基づき、前記移動体の走行方向に沿った前記被計測面上の線を算出する算出工程と、前記車線に沿った方向を前記移動体の走行方向とみなし、前記計測装置が基準とする方向と前記線の方向とのなす角に基づき、前記計測装置の前記移動体への取り付け姿勢を推定する推定工程と、を有する。
【0008】
また、請求項に記載の発明は、コンピュータが実行するプログラムであって、移動体に取り付けられた計測装置が出力する計測点群から、移動体が走行する車線の走行路面と平行となる被計測面を有し、前記車線に沿って形成された地物が存在すると推定される範囲を計測した対象計測点群を取得し、前記対象計測点群から前記計測装置の走査線ごとに抽出した複数の点に基づき、前記移動体の走行方向に沿った前記被計測面上の線を算出し、前記車線に沿った方向を前記移動体の走行方向とみなし、前記計測装置が基準とする方向と前記線の方向とのなす角に基づき、前記計測装置の前記移動体への取り付け姿勢を推定する処理を順に前記コンピュータに実行させる。
【図面の簡単な説明】
【0009】
車両システムの概略構成図である。
車載機の機能的構成を示すブロック図である。
2次元座標により表された車両座標系とライダ座標系との関係を示す図である。
3次元座標により表された車両座標系とライダ座標系との関係を示す図である。
ライダのロール角を推定する際の検出対象地物となる道路標識付近に車両が走行する場合の車両周辺の俯瞰図を示す。
道路標識の被計測面を正面視した場合の道路標識と対象計測点群との位置関係を示す。
ライダ座標系における対象計測点群及び抽出された外縁点群を示す。
外縁点群が形成する四角形の各辺の近似直線を示す。
ロール角推定処理の手順を示すフローチャートである。
ライダのピッチ角を推定する際の検出対象地物となる道路標識付近に車両が走行する場合の車両周辺の俯瞰図を示す。
ピッチ角推定処理の手順を示すフローチャートである。
ライダのヨー角を推定する際の検出対象地物となる区画線に沿って車両が走行する場合の車両周辺の俯瞰図を示す。
検出ウィンドウにおける中心点を丸印により示した図である。
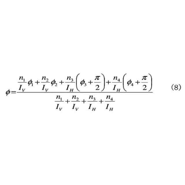
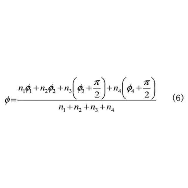
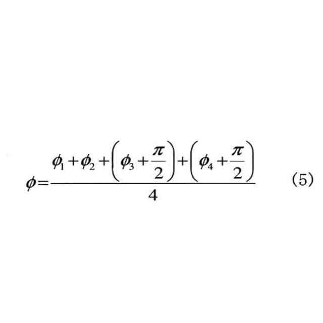
検出ウィンドウごとに算出した区画線の中心線とヨー方向基準角とがなす角度を示す。
ヨー角推定処理の手順を示すフローチャートである。
ロール角、ピッチ角及びヨー角の推定値に基づく処理の具体例を示すフローチャートである。
【発明を実施するための形態】
【0010】
本発明の好適な実施形態によれば、姿勢推定装置は、被計測面が移動体が走行する走行路面と平行であって前記走行路面に沿って形成された地物を、前記移動体に取り付けられた計測装置により計測した計測点群を取得する取得手段と、前記計測点群に基づき、前記移動体の走行方向に沿った前記被計測面上の線を算出する算出手段と、前記計測装置が基準とする方向に対する前記線の方向に基づき、前記計測装置の前記移動体への取り付け姿勢を推定する推定手段と、を有する。姿勢推定装置は、この態様により、被計測面が移動体が走行する走行路面と平行であって走行路面に沿って形成された地物を基準として、計測装置の移動体への取り付け姿勢を好適に推定することができる。
(【0011】以降は省略されています)
この特許をJ-PlatPat(特許庁公式サイト)で参照する
関連特許
パイオニア株式会社
光制御装置
22日前
パイオニア株式会社
光制御装置
22日前
パイオニア株式会社
情報表示装置
10日前
パイオニア株式会社
情報処理装置
1か月前
パイオニア株式会社
情報処理装置
29日前
パイオニア株式会社
情報処理装置
29日前
パイオニア株式会社
複合スピーカ装置
1日前
パイオニア株式会社
情報処理装置、端末装置
29日前
パイオニア株式会社
認識装置、認識方法及び認識プログラム
18日前
パイオニア株式会社
制御装置、制御方法及び制御用プログラム
29日前
パイオニア株式会社
撮影装置、制御方法、プログラム及び記憶媒体
29日前
パイオニア株式会社
情報処理装置、判定方法、プログラム及び記憶媒体
8日前
パイオニア株式会社
表示装置、表示方法、プログラム、及び、記憶媒体
1か月前
パイオニア株式会社
情報記録装置、情報記録方法及び情報記録用プログラム
22日前
パイオニア株式会社
姿勢推定装置、姿勢推定方法、プログラム及び記憶媒体
1日前
パイオニア株式会社
車載装置、情報処理方法、情報管理装置及び情報管理方法
8日前
パイオニア株式会社
携帯端末装置、情報処理装置、連携システム及び表示制御方法
15日前
パイオニア株式会社
視線誘導装置、視線誘導方法、視線誘導プログラム及び記憶媒体
1日前
パイオニア株式会社
通信端末、通信方法、通信プログラム、通信プログラムを格納した記録媒体および情報処理装置
8日前
パイオニア株式会社
情報処理装置、情報処理方法、情報処理プログラム及び情報処理プログラムを記録したコンピュータ読み取り可能な記録媒体
10日前
個人
視触覚センサ
1日前
個人
採尿及び採便具
1か月前
日本精機株式会社
検出装置
1か月前
個人
高精度同時多点測定装置
1か月前
個人
計量機能付き容器
26日前
株式会社カクマル
境界杭
16日前
株式会社ミツトヨ
測定器
1か月前
日本精機株式会社
発光表示装置
9日前
甲神電機株式会社
電流検出装置
1か月前
ユニパルス株式会社
トルク変換器
1日前
ユニパルス株式会社
トルク変換器
1日前
ユニパルス株式会社
トルク変換器
1日前
株式会社トプコン
測量装置
8日前
アズビル株式会社
電磁流量計
1か月前
大成建設株式会社
風洞実験装置
26日前
大和製衡株式会社
組合せ計量装置
1か月前
続きを見る
他の特許を見る