TOP
|
特許
|
意匠
|
商標
特許ウォッチ
Twitter
他の特許を見る
10個以上の画像は省略されています。
公開番号
2025172613
公報種別
公開特許公報(A)
公開日
2025-11-26
出願番号
2024078218
出願日
2024-05-13
発明の名称
電気化学反応装置
出願人
株式会社デンソー
代理人
弁理士法人あいち国際特許事務所
主分類
C25B
9/00 20210101AFI20251118BHJP(電気分解または電気泳動方法;そのための装置)
要約
【課題】内周接合部又は外周接合部に作用する応力を適切に抑制することができる電気化学反応装置を提供すること。
【解決手段】電解質層20と第1電極21と第2電極22とを有する電気化学セル2と、支持部31と枠本体部32とを有するフレーム3と、第2空間122と外周空隙11とを気密分離する封止板4と、を有する電気化学反応装置1。封止板4は、外周板部42と内周板部41と連結部43とを有する。電気化学セル2と内周板部41とが接合された内周接合部131と、枠本体部32と外周板部42とが接合された外周接合部132と、における最大想定ストレスが、内周接合部131のストレングスと外周接合部132のストレングスとのうち低い方のストレングスである基準ストレングス以下である。最大想定ストレスは、封止板4の曲げ剛性と、連結部43の高さと、想定される連結部43の長さの最大の変化量と、を含むストレス関係式より導かれる。
【選択図】図1
特許請求の範囲
【請求項1】
電解質層(20)と、前記電解質層における第1面(201)に設けた第1電極(21)と、前記電解質層における前記第1面と反対側の第2面(202)に設けた第2電極(22)と、を有する電気化学セル(2)と、
前記電気化学セルを前記第1面側から支持する支持部(31)と、前記電気化学セルの外周端縁との間に外周空隙(11)を設けつつ囲むように配置された枠本体部(32)と、を有する、フレーム(3)と、
前記第2電極に面する第2空間(122)と、前記外周空隙とを気密分離する封止板(4)と、を有する、電気化学反応装置(1)であって、
前記封止板は、前記枠本体部と接合される外周板部(42)と、前記電気化学セルと接合される内周板部(41)と、前記外周板部と前記内周板部との間を連結する連結部(43)とを有し、
前記電気化学セルと前記内周板部とが接合された内周接合部(131)と、前記枠本体部と前記外周板部とが接合された外周接合部(132)と、における最大想定ストレスが、前記内周接合部のストレングスと前記外周接合部のストレングスとのうち低い方のストレングスである基準ストレングス以下であり、
前記最大想定ストレスは、前記封止板の曲げ剛性と、前記電解質層の法線方向(Z)における前記連結部の高さと、想定される前記連結部の長さの最大の変化量と、を含むストレス関係式より導かれる、電気化学反応装置。
続きを表示(約 390 文字)
【請求項2】
前記連結部は、前記電解質層の法線方向に凸の状態で撓んだ撓み部(430)を有する、請求項1に記載の電気化学反応装置。
【請求項3】
前記封止板は、前記外周板部と前記内周板部とが、前記法線方向にずれて配置されている、請求項1又は2に記載の電気化学反応装置。
【請求項4】
前記内周接合部は、前記内周板部と前記電気化学セルとの間に介在した内周シール部(5)を有する、請求項1又は2に記載の電気化学反応装置。
【請求項5】
前記内周板部を前記内周シール部側へ向かって押さえる内周押さえ部(61)が設けてある、請求項4に記載の電気化学反応装置。
【請求項6】
前記撓み部は前記支持部側に突出しており、前記撓み部を前記支持部側へ向かって押さえる撓み押さえ部(62)が設けてある、請求項2に記載の電気化学反応装置。
発明の詳細な説明
【技術分野】
【0001】
本発明は、電気化学反応装置に関する。
続きを表示(約 3,000 文字)
【背景技術】
【0002】
燃料電池装置、水素生成装置等、電気化学セルを備えた電気化学反応装置が種々提案されている。特許文献1には、燃料電池スタックにおいて、単セル(以下において「電気化学セル」ともいう)にガラスシール部を介して接合されたセパレータ(以下において「封止板」ともいう)を有する構成が記載されている。封止板は、電気化学セルとその外周に配置されたフレームとの間に連結されている。そして、封止板と電気化学セルとの接合部(具体的には、ガラスシール部)に生じる応力を緩和すべく、封止板に撓み部を設けてある。また、封止板の厚みや高さを所定の値等に設定することが、特許文献1には記載されている。
【先行技術文献】
【特許文献】
【0003】
特許第6442364号公報
【発明の概要】
【発明が解決しようとする課題】
【0004】
しかしながら、接合部の損傷を充分に抑制するにあたっては、上述の特許文献1に開示された条件以外にも、考慮すべき事項がある。すなわち、特許文献1に記載の条件を満たしていても、接合部に作用する応力が過大となる場合がある。また、場合によっては、封止板と電気化学セルとの間の接合部(内周接合部)のみならず、封止板とフレームとの間の接合部(外周接合部)における応力を考慮する必要がある場合もある。
【0005】
本発明は、かかる課題に鑑みてなされたものであり、内周接合部又は外周接合部に作用する応力を適切に抑制することができる電気化学反応装置を提供しようとするものである。
【課題を解決するための手段】
【0006】
本発明の一態様は、
電解質層(20)と、前記電解質層における第1面(201)に設けた第1電極(21)と、前記電解質層における前記第1面と反対側の第2面(202)に設けた第2電極(22)と、を有する電気化学セル(2)と、
前記電気化学セルを前記第1面側から支持する支持部(31)と、前記電気化学セルの外周端縁との間に外周空隙(11)を設けつつ囲むように配置された枠本体部(32)と、を有する、フレーム(3)と、
前記第2電極に面する第2空間(122)と、前記外周空隙とを気密分離する封止板(4)と、を有する、電気化学反応装置(1)であって、
前記封止板は、前記枠本体部と接合される外周板部(42)と、前記電気化学セルと接合される内周板部(41)と、前記外周板部と前記内周板部との間を連結する連結部(43)とを有し、
前記電気化学セルと前記内周板部とが接合された内周接合部(131)と、前記枠本体部と前記外周板部とが接合された外周接合部(132)と、における最大想定ストレスが、前記内周接合部のストレングスと前記外周接合部のストレングスとのうち低い方のストレングスである基準ストレングス以下であり、
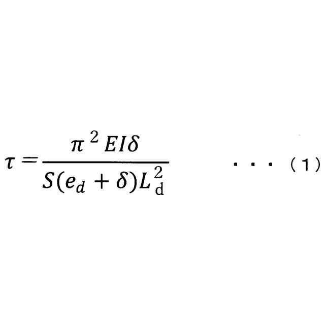
前記最大想定ストレスは、前記封止板の曲げ剛性と、前記電解質層の法線方向(Z)における前記連結部の高さと、想定される前記連結部の長さの最大の変化量と、を含むストレス関係式より導かれる、電気化学反応装置にある。
【発明の効果】
【0007】
上記電気化学反応装置においては、上述の最大想定ストレスが、前記基準ストレングス以下である。そして、最大想定ストレスは、前記封止板の曲げ剛性と、前記電解質層の法線方向における前記連結部の高さと、想定される前記連結部の長さの最大の変化量と、を含むストレス関係式より導かれる値である。これにより、内周接合部又は外周接合部に作用する応力を適切に抑制することができる。
【0008】
以上のごとく、上記態様によれば、内周接合部又は外周接合部に作用する応力を適切に抑制することができる電気化学反応装置を提供することができる。
なお、特許請求の範囲及び課題を解決する手段に記載した括弧内の符号は、後述する実施形態に記載の具体的手段との対応関係を示すものであり、本発明の技術的範囲を限定するものではない。
【図面の簡単な説明】
【0009】
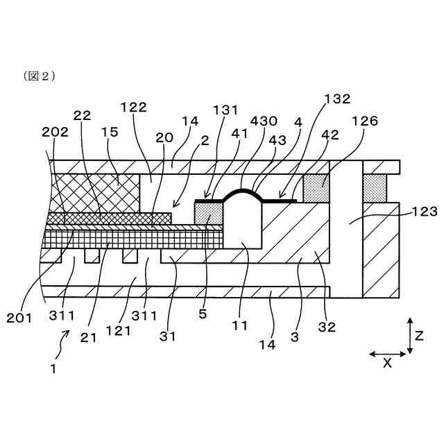
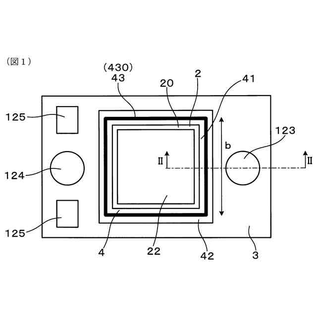
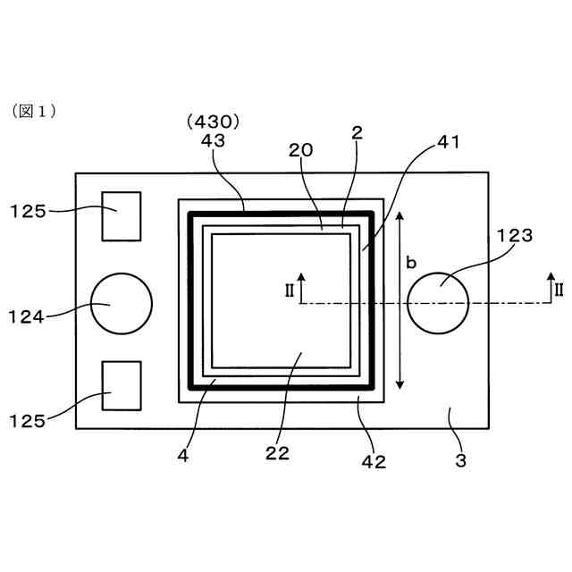
実施形態1における、電気化学反応装置の一部の平面図。
図1のII-II線矢視断面相当の、電気化学反応装置の一部の断面説明図。
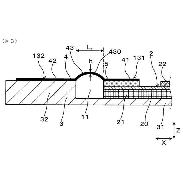
実施形態1における、封止板の周辺の構造を示す断面説明図。
実施形態1における、撓み部の変形前後の状態を示す説明図。
実施形態1における、電気化学セルの昇降温処理および還元処理の説明図。
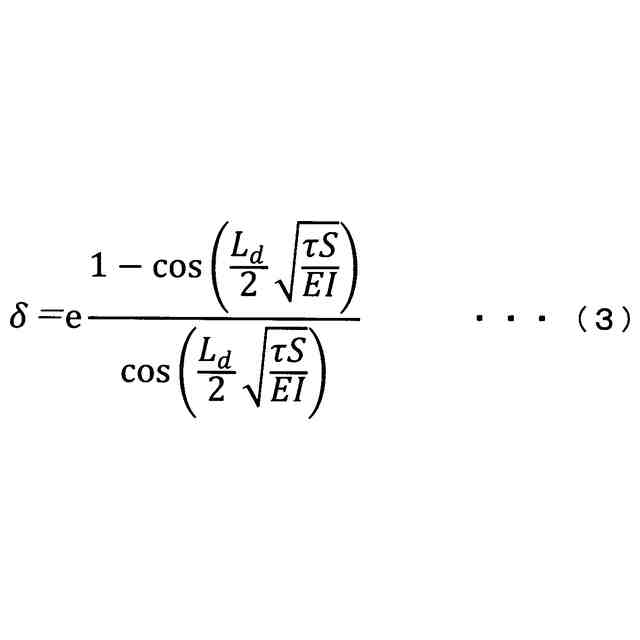
実施形態1における、封止板のヤング率Eと最大想定剪断応力τとの関係マップを示す線図。
実施形態1における、連結部の長さL
d
と最大想定剪断応力τとの関係マップを示す線図。
実施形態1における、範囲を広げた、連結部の長さL
d
と最大想定剪断応力τとの関係マップを示す線図。
実施形態1における、連結部の厚みhと最大想定剪断応力τとの関係マップを示す線図。
実施形態1における、撓み部の高さe
d
と最大想定剪断応力τとの関係マップを示す線図。
実施形態1における、内周接合部の幅wと最大想定剪断応力τとの関係マップを示す線図。
実施形態1の変形形態における、封止板の周辺の構造を示す断面説明図。
実施形態2における、組立体の一部の断面説明図。
実施形態2における、撓み部の形成前後の状態を示す断面説明図。
実施形態2における、連結部の長さLと座屈応力との関係マップを示す線図。
実施形態3における、封止板の周辺の構造を示す断面説明図。
実施形態3における、封止板のヤング率Eと最大想定剪断応力τとの関係マップを示す線図。
実施形態3における、連結部の高さeと最大想定剪断応力τとの関係マップを示す線図。
実施形態3における、連結部の厚みhと最大想定剪断応力τとの関係マップを示す線図。
実施形態3における、連結部の長さL
d
と最大想定剪断応力τとの関係マップを示す線図。
実施形態3における、連結部の高さeと最大想定剪断応力τとの関係マップを示す線図。
実施形態3における、内周接合部の幅wと最大想定剪断応力τとの関係マップを示す線図。
実施形態3の変形形態における、封止板の周辺の構造を示す断面説明図。
実施形態4における、封止板の周辺の構造を示す断面説明図。
実施形態4の変形形態における、封止板の周辺の構造を示す断面説明図。
実施形態5における、封止板の周辺の構造を示す断面説明図。
封止板と内周シール部との剥がれを示す説明図。
実施形態6における、封止板の周辺の構造を示す断面説明図。
撓み部の反転を示す説明図。
【発明を実施するための形態】
【0010】
(実施形態1)
電気化学反応装置に係る実施形態について、図1~図11を参照して説明する。
本形態の電気化学反応装置1は、図1、図2に示すごとく、電気化学セル2と、フレーム3と、封止板4と、を有する。
(【0011】以降は省略されています)
この特許をJ-PlatPat(特許庁公式サイト)で参照する
関連特許
株式会社デンソー
電動弁
20日前
株式会社デンソー
端子台
今日
株式会社デンソー
分離体
6日前
株式会社デンソー
電子装置
20日前
株式会社デンソー
熱交換器
19日前
株式会社デンソー
電気回路
14日前
株式会社デンソー
撮像装置
19日前
株式会社デンソー
撮像装置
19日前
株式会社デンソー
光学部材
6日前
株式会社デンソー
光学部材
6日前
株式会社デンソー
摺動機構
19日前
株式会社デンソー
摺動機構
19日前
株式会社デンソー
熱交換部材
21日前
株式会社デンソー
半導体装置
21日前
株式会社デンソー
半導体装置
19日前
株式会社デンソー
半導体装置
6日前
株式会社デンソー
電気化学セル
19日前
株式会社デンソー
形状検査方法
今日
株式会社デンソー
給電システム
6日前
株式会社デンソーテン
車載表示装置
19日前
株式会社デンソー
電子制御装置
19日前
株式会社デンソー
電気化学セル
19日前
株式会社デンソー
エレクトレット
6日前
株式会社デンソー
ワーク投入装置
19日前
株式会社デンソー
端末及び基地局
7日前
株式会社デンソー
電波透過カバー
19日前
株式会社デンソー
車両用空調装置
6日前
株式会社デンソー
電気化学反応装置
今日
株式会社デンソー
冷凍サイクル装置
7日前
株式会社デンソー
基準電圧生成回路
21日前
株式会社デンソー
液体分離システム
6日前
株式会社デンソー
電圧測定システム
19日前
株式会社デンソー
三相インバータ装置
21日前
株式会社デンソー
コアシートの製造方法
7日前
株式会社デンソー
ダクトおよび電池装置
今日
株式会社デンソー
ステアリング制御装置
6日前
続きを見る
他の特許を見る