TOP
|
特許
|
意匠
|
商標
特許ウォッチ
Twitter
他の特許を見る
公開番号
2025170549
公報種別
公開特許公報(A)
公開日
2025-11-19
出願番号
2024075214
出願日
2024-05-07
発明の名称
車両用の熱交換器、および、車両
出願人
トヨタ自動車株式会社
代理人
弁理士法人YKI国際特許事務所
主分類
F28F
1/32 20060101AFI20251112BHJP(熱交換一般)
要約
【課題】車載部品の動作音の車外への漏出をより効果的に抑制できる熱交換器を提供する。
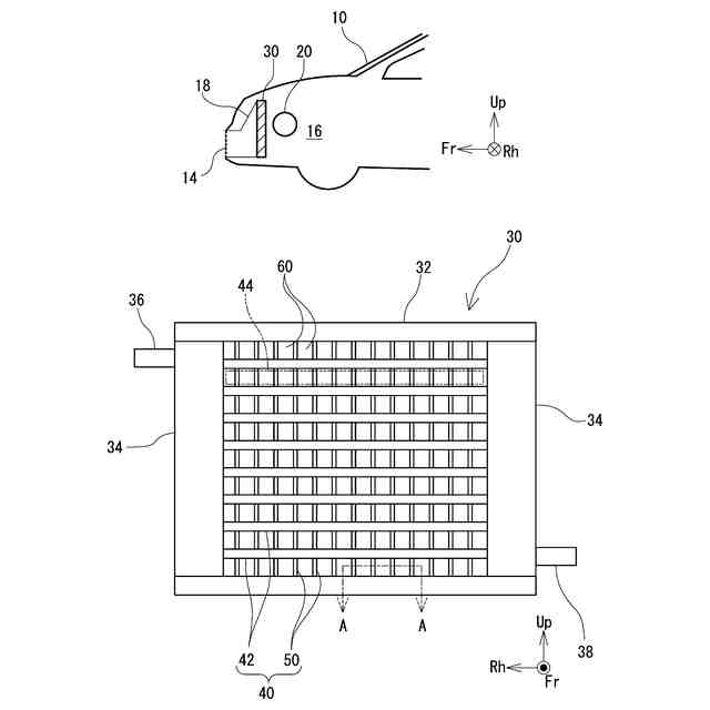
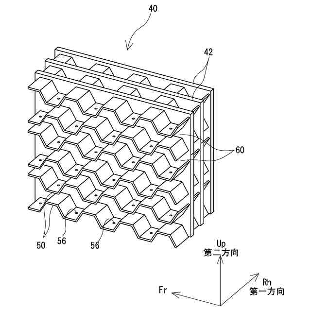
【解決手段】車両用の熱交換器30は、車両上下方向または車幅方向である第一方向に並ぶ複数のチューブ42であって、隣り合う他のチューブ42との間にフィン空間44を形成する複数のチューブ42と、前記フィン空間44において車幅方向または車両上下方向である第二方向に並ぶ複数のフィン50であって、それぞれが車両前後方向に延びて、隣り合う他のフィン50との間に導風通路60を形成する複数のフィン50と、を備え、前記複数のフィン50の少なくとも一つは、前記導風通路60の前記第二方向寸法が局所的に大きくなるように、車両前後方向に進む過程で前記隣り合う他のフィン50から局所的に離れる形状である。
【選択図】図2
特許請求の範囲
【請求項1】
車両用の熱交換器であって、
車両上下方向または車幅方向である第一方向に並ぶ複数のチューブであって、隣り合う他のチューブとの間にフィン空間を形成する複数のチューブと、
前記フィン空間において車幅方向または車両上下方向である第二方向に並ぶ複数のフィンであって、それぞれが車両前後方向に延びて、隣り合う他のフィンとの間に導風通路を形成する複数のフィンと、
を備え、
前記複数のフィンの少なくとも一つは、前記導風通路の前記第二方向寸法が局所的に大きくなるように、車両前後方向に進む過程で前記隣り合う他のフィンから局所的に離れる形状である、
ことを特徴とする車両用の熱交換器。
続きを表示(約 760 文字)
【請求項2】
請求項1に記載の車両用の熱交換器であって、
前記複数のフィンそれぞれは、車両前後方向に進む過程で周期的に前記第二方向に起伏する形状であり、前記隣り合う他のフィンに対して前記第二方向に鏡像となる形状および配置であり、
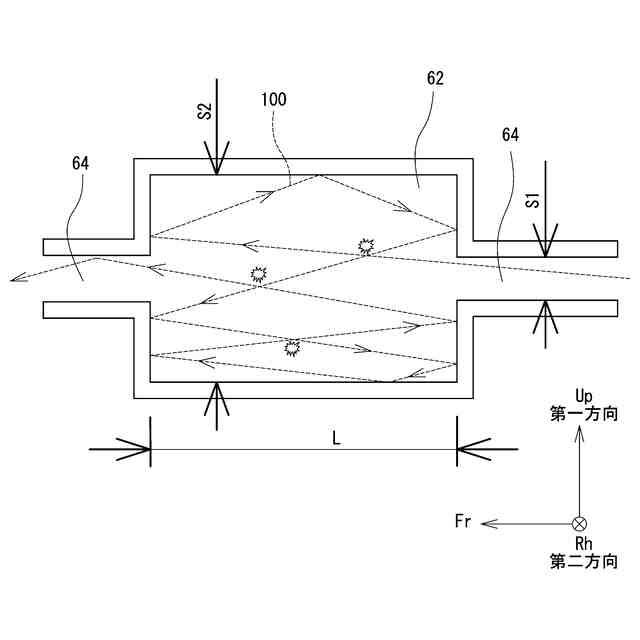
前記導風通路は、管部と、前記管部よりも前記第二方向寸法が大きい拡張室と、が車両前後方向に交互に並ぶ形状である、
ことを特徴とする車両用の熱交換器。
【請求項3】
請求項2に記載の車両用の熱交換器であって、
前記拡張室の前後方向両端部において前記拡張室の前記第二方向寸法が連続的に変化するように、前記フィンの一部が、前記前後方向および前記第二方向に対して傾斜または湾曲している、
ことを特徴とする車両用の熱交換器。
【請求項4】
請求項2に記載の車両用の熱交換器であって、
前記導風通路は、前後方向寸法が互いに異なる複数種類の前記拡張室を含み、
前記熱交換器の前端において、前記複数のフィンの前記第二方向の並び間隔が、互いに等しい、
ことを特徴とする車両用の熱交換器。
【請求項5】
請求項1から4のいずれか1項に記載の熱交換器を有する車両であって、
前記熱交換器は、上端が下端より車両後方に位置するように傾斜して配置されており、
前記チューブは、その上面が、車両前後方向に平行、かつ、前記熱交換器の厚み方向に対して傾斜する姿勢で配置されており、
前記フィンは、車両上下方向と平行な方向に延びる複数のビードを有しており、
前記ビードにより、前記導風通路の前記第二方向寸法が局所的に大きくなっている、
ことを特徴とする車両。
発明の詳細な説明
【技術分野】
【0001】
本明細書は、車両に搭載される熱交換器、および、当該熱交換器を搭載した車両を開示する。
続きを表示(約 1,200 文字)
【背景技術】
【0002】
車両に搭載されたファンや動力源(例えばモータまたはエンジン)は、その動作に伴い騒音を生じる。こうしたファンまたは動力源の動作音の車外への漏出を抑制することが求められている。
【0003】
例えば、特許文献1には、動力源の動作音の車外への漏出を抑制するための熱交換器が開示されている。この熱交換器は、複数のフィンと、各フィンに取り付けられたルーバと、を有する。ルーバは、音源方向を向いている。かかる構成とすることで、音源から生じた音の一部がルーバで反射するため、車外に漏出する音を低減できる。
【先行技術文献】
【特許文献】
【0004】
特開2007-285592号公報
【発明の概要】
【発明が解決しようとする課題】
【0005】
しかし、特許文献1では、音源から生じた音の他の一部は、隣り合うフィンの間に形成される通路を通って、車外に漏出する。そのため、特許文献1の技術では、ファンまたは動力源の動作音を十分に抑制できなかった。
【0006】
そこで、本明細書では、車載部品の動作音の車外への漏出をより効果的に抑制できる熱交換器および車両を開示する。
【課題を解決するための手段】
【0007】
本明細書で開示する熱交換器は、車両用の熱交換器であって、車両上下方向または車幅方向である第一方向に並ぶ複数のチューブであって、隣り合う他のチューブとの間にフィン空間を形成する複数のチューブと、前記フィン空間において車幅方向または車両上下方向である第二方向に並ぶ複数のフィンであって、それぞれが車両前後方向に延びて、隣り合う他のフィンとの間に導風通路を形成する複数のフィンと、を備え、前記複数のフィンの少なくとも一つは、前記導風通路の前記第二方向寸法が局所的に大きくなるように、車両前後方向に進む過程で前記隣り合う他のフィンから局所的に離れる形状である、ことを特徴とする。
【0008】
この場合、前記複数のフィンそれぞれは、車両前後方向に進む過程で周期的に前記第二方向に起伏する形状であり、前記隣り合う他のフィンに対して前記第二方向に鏡像となる形状および配置であり、前記導風通路は、管部と、前記管部よりも前記第二方向寸法が大きい拡張室と、が車両前後方向に交互に並ぶ形状でもよい。
【0009】
また、前記拡張室の前後方向両端部において前記拡張室の前記第二方向寸法が連続的に変化するように、前記フィンの一部が、前記前後方向および前記第二方向に対して傾斜または湾曲してもよい。
【0010】
また、前記導風通路は、前後方向寸法が互いに異なる複数種類の前記拡張室を含み、前記熱交換器の前端において、前記複数のフィンの前記第二方向の並び間隔が、互いに等しい。
(【0011】以降は省略されています)
この特許をJ-PlatPat(特許庁公式サイト)で参照する
関連特許
個人
排熱回収装置
3か月前
個人
冷却装置の蒸発器
28日前
個人
放射冷却装置
1か月前
個人
熱交換装置
6か月前
個人
熱交換装置
1か月前
ホーコス株式会社
熱交換ユニット
10か月前
三恵技研工業株式会社
熱交換器
7か月前
三恵技研工業株式会社
熱交換器
7か月前
アンリツ株式会社
検査装置
6か月前
アンリツ株式会社
検査装置
6か月前
株式会社パイオラックス
熱交換器
9か月前
株式会社ティラド
ラジエータ
10か月前
日産自動車株式会社
熱交換器
9か月前
株式会社アイシン
水噴射冷却システム
10か月前
新光電気工業株式会社
蓄熱装置
2か月前
株式会社アイシン
熱交換器
5か月前
株式会社デンソー
熱交換器
6か月前
サンデン株式会社
熱交換器
7か月前
株式会社デンソー
熱交換器
6か月前
株式会社デンソー
熱交換器
5か月前
株式会社デンソー
熱交換器
5か月前
栗田工業株式会社
冷却塔システム
4か月前
ZACROS株式会社
熱交換装置
7か月前
株式会社アイシン
熱交換器
1日前
サンデン株式会社
熱交換器
7か月前
サンデン株式会社
熱交換器
9か月前
サンデン株式会社
熱交換器
9か月前
栗田工業株式会社
冷却塔システム
9か月前
サンデン株式会社
熱交換器
9か月前
日新電機株式会社
化学蓄熱反応器
11か月前
古河電気工業株式会社
ヒートパイプ
9か月前
中部抵抗器株式会社
密閉構造体用冷却装置
11か月前
株式会社神戸製鋼所
積層型熱交換器
6か月前
株式会社デンソー
熱交換装置
29日前
TPR株式会社
熱電発電機能付き熱交換器
8か月前
愛知製鋼株式会社
化学蓄熱装置
11か月前
続きを見る
他の特許を見る