TOP
|
特許
|
意匠
|
商標
特許ウォッチ
Twitter
他の特許を見る
10個以上の画像は省略されています。
公開番号
2025169225
公報種別
公開特許公報(A)
公開日
2025-11-12
出願番号
2025075295
出願日
2025-04-30
発明の名称
酸発生剤、塩、レジスト組成物及びレジストパターンの製造方法
出願人
住友化学株式会社
代理人
弁理士法人新樹グローバル・アイピー
主分類
G03F
7/004 20060101AFI20251105BHJP(写真;映画;光波以外の波を使用する類似技術;電子写真;ホログラフイ)
要約
【課題】良好なCD均一性を有するレジストパターンを製造することができる塩、酸発生剤、レジスト組成物を提供すること。
【解決手段】式(I)で表される塩を含有する酸発生剤、レジスト組成物。
<com:Image com:imageContentCategory="Drawing"> <com:ImageFormatCategory>TIFF</com:ImageFormatCategory> <com:FileName>2025169225000185.tif</com:FileName> <com:HeightMeasure com:measureUnitCode="Mm">54</com:HeightMeasure> <com:WidthMeasure com:measureUnitCode="Mm">161</com:WidthMeasure> </com:Image>
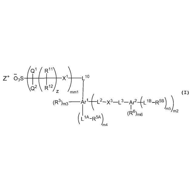
[式中、Q
1
、Q
2
、R
11
及びR
12
は其々H原子、F原子等;zは0~6の整数;X
1
及びX
3
は其々-O-、-CO-等;X
1A
は-CO-O-、-O-CO-等;mm1は0又は1;L
10
は単結合又は置換/非置換の炭化水素基;R
5A
及びR
5B
は其々-X
1
-R
10
等;R
10
は塩基不安定基;Z
+
は有機カチオンを表す。]
【選択図】なし
特許請求の範囲
【請求項1】
式(I)で表される塩を含有する酸発生剤。
TIFF
2025169225000176.tif
54
161
[式(I)中、
Q
1
、Q
2
、R
11
及びR
12
は、それぞれ独立に、水素原子、フッ素原子、炭素数1~6のアルキル基又は炭素数1~6のペルフルオロアルキル基を表す。
zは、0~6のいずれかの整数を表し、zが2以上のとき、複数のR
11
及びR
12
は互いに同一であっても異なってもよい。
X
1
は、-O-、-CO-、-S-、-SO-、-SO
2
-、-NR
7
-又はこれらを組み合わせた基を表す。
mm1は、0又は1を表す。
L
10
は、単結合又は置換基を有してもよい炭素数1~40の炭化水素基を表し、該炭化水素基に含まれる-CH
2
-は、-O-、-S-、-SO
2
-、-SO-、-NR
7
-又は-CO-に置き換わっていてもよい。
R
7
は、水素原子又は炭素数1~6のアルキル基を表す。
R
5A
及びR
5B
は、それぞれ独立に、-X
1A
-R
10
又は-X
2A
-L
11
-X
1A
-R
10
を表す。
X
1A
は、それぞれ独立に、*-CO-O-、*-O-CO-、*-O-CO-O-又は*-O-(但し、*は、L
1A
もしくはAr
1
、L
1B
もしくはAr
2
又はL
11
との結合部位を表す。)を表す。
X
2A
は、それぞれ独立に、*-CO-O-、*-O-CO-、*-O-CO-O-又は*-O-(但し、*は、L
1A
もしくはAr
1
又はL
1B
もしくはAr
2
との結合部位を表す。)を表す。
L
11
は、置換基を有してもよい炭素数1~28の炭化水素基を表し、該炭化水素基に含まれる-CH
2
-は、-O-、-S-、-SO
2
-、-SO-、-NR
7
-又は-CO-に置き換わっていてもよい。
R
続きを表示(約 3,000 文字)
【請求項2】
L
1A
、L
1B
、L
2
及びL
3
は、それぞれ独立に、単結合又はハロゲン原子を有してもよい炭素数1~4のアルカンジイル基である請求項1に記載の酸発生剤。
【請求項3】
m3が1以上の整数であり、R
3
がフッ素原子、ヨウ素原子、ヒドロキシ基、カルボキシ基、炭素数1~4のヒドロキシアルキル基、炭素数1~4のアルコキシ基又は炭素数1~3のペルフルオロアルキル基である請求項1に記載の酸発生剤。
【請求項4】
m6が1以上の整数であり、R
6
がフッ素原子、ヒドロキシ基、カルボキシ基、炭素数1~4のヒドロキシアルキル基、炭素数1~4のアルコキシ基又は炭素数1~3のペルフルオロアルキル基である請求項1に記載の酸発生剤。
【請求項5】
(m2+m4)が、1又は2である請求項1に記載の酸発生剤。
【請求項6】
Ar
1
及びAr
2
が、それぞれ独立に、炭素数6~14の芳香族炭化水素基である請求項1に記載の酸発生剤。
【請求項7】
L
10
が、単結合、置換基を有してもよい炭素数1~10の鎖式炭化水素基、置換基を有してもよい炭素数3~24の環状炭化水素基又は置換基を有してもよい炭素数1~8の鎖式炭化水素基と置換基を有してもよい炭素数3~24の環状炭化水素基とを組み合わせてなる基であり、
前記鎖式炭化水素基及び前記環状炭化水素基に含まれる-CH
2
-は、-O-、-S-、-SO
2
-又は-CO-に置き換わっていてもよい請求項1に記載の酸発生剤。
【請求項8】
R
10
の塩基不安定基が、式(1b)で表される基である請求項1に記載の酸発生剤。
TIFF
2025169225000177.tif
20
56
[式(1b)中、
R
ba1
及びR
ba2
は、それぞれ独立に、水素原子、フッ素原子又はフッ素原子を有する炭素数1~6のアルキル基を表す。
R
ba3
は、フッ素原子又はフッ素原子を有する炭素数1~6のアルキル基を表す。
*は結合部位を表す。]
【請求項9】
請求項1~8のいずれかに記載の酸発生剤を含有するレジスト組成物。
【請求項10】
さらに、酸不安定基を有する構造単位を含む樹脂を含有し、
前記酸不安定基を有する構造単位が、式(a1-0)で表される構造単位、式(a1-1)で表される構造単位、式(a1-2)で表される構造単位、式(a1-4)で表される構造単位、式(a1-5)で表される構造単位及び式(a1-6)で表される構造単位からなる群より選ばれる少なくとも1種を含む請求項9に記載のレジスト組成物。
TIFF
2025169225000178.tif
44
143
[式(a1-0)、式(a1-1)及び式(a1-2)中、
L
a01
、L
a1
及びL
a2
は、それぞれ独立に、-O-又は*-O-(CH
2
)
k1
-CO-O-を表し、k1は1~7のいずれかの整数を表し、*は-CO-との結合部位を表す。
R
a01
、R
a4
及びR
a5
は、それぞれ独立に、水素原子、ハロゲン原子又はハロゲン原子を有していてもよい炭素数1~6のアルキル基を表す。
R
a02
、R
a03
及びR
a04
は、それぞれ独立に、炭素数1~8のアルキル基、炭素数3~18の脂環式炭化水素基、炭素数6~18の芳香族炭化水素基又はこれらを組み合わせた基を表し、該アルキル基、該脂環式炭化水素基及び該芳香族炭化水素基は、ハロゲン原子を有してもよい。
R
a6
及びR
a7
は、それぞれ独立に、炭素数1~8のアルキル基、炭素数2~8のアルケニル基、炭素数3~18の脂環式炭化水素基、炭素数6~18の芳香族炭化水素基又はこれらを組合せることにより形成される基を表し、該アルキル基、該アルケニル基、該脂環式炭化水素基及び該芳香族炭化水素基は、ハロゲン原子を有してもよい。
m1’は0~14のいずれかの整数を表す。
n1は0~10のいずれかの整数を表す。
n1’は0~3のいずれかの整数を表す。]
TIFF
2025169225000179.tif
31
119
[式(a1-4)中、
R
a1
は、水素原子、ハロゲン原子、又は、ハロゲン原子を有していてもよい炭素数1~6のアルキル基を表す。
R
a17
は、ハロゲン原子、ヒドロキシ基、カルボキシ基、ハロゲン原子を有していてもよい炭素数1~6のアルキル基、炭素数1~6のアルコキシ基、炭素数2~12のアルコキシアルキル基、炭素数2~12のアルコキシアルコキシ基、炭素数2~4のアルキルカルボニル基、炭素数2~4のアルキルカルボニルオキシ基、アクリロイルオキシ基又はメタクリロイルオキシ基を表す。
A
a11
は、単結合又は炭素数1~12のアルカンジイル基を表し、該アルカンジイル基に含まれる-CH
2
-は、-O-、-CO-又は-NR
a18
-に置き換わってもよい。
R
a18
は、水素原子又は炭素数1~6のアルキル基を表す。
X
a1
は、単結合又はカルボニル基を表す。
R
a34
及びR
a35
は、それぞれ独立に、水素原子又は炭素数1~12の炭化水素基を表し、R
a36
は、炭素数1~20の炭化水素基を表すか、R
a35
及びR
a36
は互いに結合してそれらが結合する-C-O-とともに炭素数2~20の2価の炭化水素基を形成し、該炭化水素基及び該2価の炭化水素基に含まれる-CH
2
-は、-O-又は-S-で置き換わってもよい。
na1は、1~5のいずれかの整数を表し、na1が2以上のとき、複数の括弧内の基は、互いに同一であっても異なっていてもよい。
na11は、0~4のいずれかの整数を表し、na11が2以上のとき、複数のR
a17
は、互いに同一であっても異なっていてもよい。
mcは、0~2のいずれかの整数を表す。]
TIFF
2025169225000180.tif
45
58
[式(a1-5)中、
R
(【請求項11】以降は省略されています)
発明の詳細な説明
【技術分野】
【0001】
本発明は、塩、酸発生剤、レジスト組成物及びレジストパターンの製造方法に関する。
続きを表示(約 7,600 文字)
【背景技術】
【0002】
特許文献1には、下記式で表される塩及び該塩を酸発生剤として含有するレジスト組成物が記載されている。
TIFF
2025169225000001.tif
46
67
【先行技術文献】
【特許文献】
【0003】
特開2023-117395号公報
【発明の概要】
【発明が解決しようとする課題】
【0004】
上記塩を含有するレジスト組成物から形成されたレジストパターンよりも、CD均一性(CDU)が良好なレジストパターンを形成するレジスト組成物を提供することを課題とする。
【課題を解決するための手段】
【0005】
本発明は、以下の発明を含む。
〔1〕式(I)で表される塩を含有する酸発生剤。
TIFF
2025169225000002.tif
54
161
[式(I)中、
Q
1
、Q
2
、R
11
及びR
12
は、それぞれ独立に、水素原子、フッ素原子、炭素数1~6のアルキル基又は炭素数1~6のペルフルオロアルキル基を表す。
zは、0~6のいずれかの整数を表し、zが2以上のとき、複数のR
11
及びR
12
は互いに同一であっても異なってもよい。
X
1
は、-O-、-CO-、-S-、-SO-、-SO
2
-、-NR
7
-又はこれらを組み合わせた基を表す。
mm1は、0又は1を表す。
L
10
は、単結合又は置換基を有してもよい炭素数1~40の炭化水素基を表し、該炭化水素基に含まれる-CH
2
-は、-O-、-S-、-SO
2
-、-SO-、-NR
7
-又は-CO-に置き換わっていてもよい。
R
7
は、水素原子又は炭素数1~6のアルキル基を表す。
R
5A
及びR
5B
は、それぞれ独立に、-X
1A
-R
10
又は-X
2A
-L
11
-X
1A
-R
10
を表す。
X
1A
は、それぞれ独立に、*-CO-O-、*-O-CO-、*-O-CO-O-又は*-O-(但し、*は、L
1A
もしくはAr
1
、L
1B
もしくはAr
2
又はL
11
との結合部位を表す。)を表す。
X
2A
は、それぞれ独立に、*-CO-O-、*-O-CO-、*-O-CO-O-又は*-O-(但し、*は、L
1A
もしくはAr
1
又はL
1B
もしくはAr
2
との結合部位を表す。)を表す。
L
11
は、置換基を有してもよい炭素数1~28の炭化水素基を表し、該炭化水素基に含まれる-CH
2
-は、-O-、-S-、-SO
2
-、-SO-、-NR
7
-又は-CO-に置き換わっていてもよい。
【発明の効果】
【0006】
本発明の酸発生剤を含有するレジスト組成物を用いることにより、良好なCD均一性(CDU)でレジストパターンを製造することができる。
【発明を実施するための形態】
【0007】
本明細書において、「(メタ)アクリル系モノマー」とは、「アクリル系モノマー及びメタクリル系モノマーの少なくとも1種」を意味する。「(メタ)アクリレート」及び「(メタ)アクリル酸」等の記載も同様の意味を表す。本明細書中に記載する基において、直鎖構造と分岐構造の両方をとり得るものについては、そのいずれでもよい。炭化水素基等に含まれる-CH
2
-が-O-、-S-、-CO-、-SO-、-NR
X
-(Xは任意の符号)又は-SO
2
-で置き換わる場合、各基において同様の例を適用するものとし、置き換わる前の炭素数を炭化水素基等の炭素数とする。「組み合わせた基」とは、例示した基を2種以上結合させた基を意味し、それら基の価数は結合形態によって適宜変更してもよい。「由来する」又は「誘導される」とは、その分子中に含まれる重合性C=C結合が重合により-C-C-基(単結合)となることを指す。立体異性体が存在する場合は、全ての立体異性体を含む。各基は、置換基の数等によって、その基に含まれる任意の位置及び数の水素原子が結合部位に置き換わることがある。置換基における炭素数は、被置換基の炭素数には含めない。「酸不安定基」とは、酸(例えば、トリフルオロメタンスルホン酸等)と接触すると、脱離基が脱離して、親水性基(例えば、ヒドロキシ基又はカルボキシ基等)を形成する基を意味する。「塩基不安定基」とは、塩基(例えば、トリメチルアミン、テトラメチルアンモニウムヒドロキシド等)と接触すると、脱離基が脱離して、親水性基(例えば、カルボキシ基又はヒドロキシ基等)を形成する基を意味する。
本明細書において、「レジスト組成物の固形分」とは、レジスト組成物の総量から、後述する溶剤(E)を除いた成分の合計を意味する。
【0008】
<式(I)で表される塩>
本発明は、式(I)で表される塩(以下「塩(I)」という場合がある)に関する。
塩(I)のうち、負電荷を有する側を「アニオン(I)」、正電荷を有する側を「カチオン(I)」と称することがある。
【0009】
〔アニオン(I)〕
式(I)において、Q
1
、Q
2
、R
11
及びR
12
のペルフルオロアルキル基としては、トリフルオロメチル基、ペルフルオロエチル基、ペルフルオロプロピル基、ペルフルオロイソプロピル基、ペルフルオロブチル基、ペルフルオロsec-ブチル基、ペルフルオロtert-ブチル基、ペルフルオロペンチル基、ペルフルオロヘキシル基などが挙げられる。ペルフルオロアルキル基の炭素数は、好ましくは1~4であり、より好ましくは1~3である。
Q
1
、Q
2
、R
11
及びR
12
のアルキル基としては、メチル基、エチル基、プロピル基、イソプロピル基、ブチル基、sec-ブチル基、tert-ブチル基、ペンチル基、ヘキシル基等が挙げられる。アルキル基の炭素数は、好ましくは1~4であり、より好ましくは1~3である。
塩(I)は、例えば、フッ素原子含有の塩であることが好ましく、Q
1
及びQ
2
は、少なくとも一方に、フッ素原子又はペルフルオロアルキル基を含むことが好ましく、少なくとも一方が、フッ素原子又はペルフルオロアルキル基であることがより好ましく、それぞれ独立に、トリフルオロメチル基又はフッ素原子であることがさらに好ましく、ともにフッ素原子であることがさらにより好ましい。
R
11
及びR
12
は、それぞれ独立に、好ましくは水素原子、フッ素原子、メチル基又はトリフルオロメチル基であり、より好ましくは水素原子又はフッ素原子であり、さらに好ましくは水素原子である。
zは、0~4のいずれかの整数であることが好ましく、0~3のいずれかの整数であることがより好ましく、0~2のいずれかの整数であることがさらに好ましく、0又は1であることがより一層好ましい。
X
1
は、-O-、-CO-、-NR
7
-又はこれらを組み合わせた基であることが好ましく、*-CO-O-、*-O-CO-、*-O-、*-O-CO-O-、*-NR
7
-、*-CO-NR
7
-、*-NR
7
-CO-、*-NR
7
-CO-O-又は*-O-CO-NR
7
-であることがより好ましく、*-CO-O-、*-O-CO-又は*-O-CO-O-であることがさらに好ましく、*-CO-O-又は*-O-CO-であることがより一層好ましい(*はC(R
11
)(R
12
)又はC(Q
1
)(Q
2
)との結合部位を表す。)。
R
7
のアルキル基としては、メチル基、エチル基、プロピル基、イソプロピル基、ブチル基、sec-ブチル基、tert-ブチル基、ペンチル基、ヘキシル基等が挙げられる。
【0010】
L
10
における炭化水素基としては、アルカンジイル基等の直鎖状又は分岐状の鎖式炭化水素基、単環式又は多環式(スピロ環、縮合環又は橋掛け環等を含む)の脂環式炭化水素基、芳香族炭化水素基が挙げられ、これらの基のうち2種以上を組み合わせた基(例えば脂環式炭化水素基又は芳香族炭化水素基と鎖式炭化水素基とから形成される炭化水素基)でもよい。鎖式炭化水素基及び脂環式炭化水素基を脂肪族炭化水素基、脂環式炭化水素基及び芳香族炭化水素基を環状炭化水素基ともいう。炭化水素基の炭素数は、好ましくは1~36であり、より好ましくは1~24であり、さらに好ましくは1~20であり、一層好ましくは1~18であり、より一層好ましくは1~12であり、さらに一層好ましくは1~8である。
アルカンジイル基としては、メチレン基、エチレン基、プロパン-1,3-ジイル基、ブタン-1,4-ジイル基、ペンタン-1,5-ジイル基、ヘキサン-1,6-ジイル基、ヘプタン-1,7-ジイル基、オクタン-1,8-ジイル基、ノナン-1,9-ジイル基、デカン-1,10-ジイル基、ウンデカン-1,11-ジイル基、ドデカン-1,12-ジイル基、トリデカン-1,13-ジイル基、テトラデカン-1,14-ジイル基、ペンタデカン-1,15-ジイル基、ヘキサデカン-1,16-ジイル基及びヘプタデカン-1,17-ジイル基等の直鎖状アルカンジイル基及び
エタン-1,1-ジイル基、プロパン-1,1-ジイル基、プロパン-1,2-ジイル基、プロパン-2,2-ジイル基、ペンタン-2,4-ジイル基、2-メチルプロパン-1,3-ジイル基、2-メチルプロパン-1,2-ジイル基、ペンタン-1,4-ジイル基、2-メチルブタン-1,4-ジイル基等の分岐状アルカンジイル基が挙げられる。分岐状のアルカンジイル基の末端はメチル基等のアルキル基であってもよい。
鎖式炭化水素基の炭素数は、1~24であってもよく、好ましくは1~18であり、より好ましくは1~12であり、さらに好ましくは1~10であり、一層好ましくは1~8であり、より一層好ましくは1~6であり、さらに一層好ましくは1~4である。
単環式又は多環式の脂環式炭化水素基としては、以下の基等が挙げられる。結合部位は任意の位置とすることができる。
TIFF
2025169225000009.tif
41
165
具体的に、脂環式炭化水素基としては、シクロブタン-1,3-ジイル基、シクロペンタン-1,3-ジイル基、シクロヘキサン-1,4-ジイル基、シクロオクタン-1,5-ジイル基等の単環式シクロアルカンジイル基である単環式の2価の脂環式炭化水素基及び
ノルボルナン-1,4-ジイル基、ノルボルナン-2,5-ジイル基、アダマンタン-1,5-ジイル基、アダマンタン-2,6-ジイル基、スピロシクロヘキサン-1,2’-シクロペンタン基、スピロアダマンタン-2,3’-シクロペンタン基等のシクロアルキル基、ノルボルニル基もしくはアダマンチル基とそれぞれにスピロで結合したシクロアルキル基を有するスピロ環等の多環式シクロアルカンジイル基である多環式の2価の脂環式炭化水素基が挙げられる。脂環式炭化水素基の炭素数は、3~24であってもよく、好ましくは3~18であり、より好ましくは3~16であり、さらに好ましくは3~12である。
芳香族炭化水素基としては、フェニレン基、ナフチレン基、アントリレン基、ビフェニレン基、フェナントリレン基等のアリーレン基等の芳香族炭化水素基が挙げられる。芳香族炭化水素基の炭素数は、6~24であってもよく、好ましくは6~18であり、より好ましくは6~14であり、さらに好ましくは6~10である。
2種以上を組み合わせた基としては、脂環式炭化水素基と鎖式炭化水素基とを組み合わせた基、芳香族炭化水素基と鎖式炭化水素基とを組み合わせた基、脂環式炭化水素基と芳香族炭化水素基とを組み合わせた基、脂環式炭化水素基と鎖式炭化水素基と芳香族炭化水素基とを組み合わせた基等が挙げられる。組み合わせにおいて、脂環式炭化水素基、芳香族炭化水素基、鎖式炭化水素基は、それぞれ2種以上を組み合わせてもよい。また、いずれの基がX
1
に結合していてもよい。
脂環式炭化水素基と鎖式炭化水素基とを組み合わせた基としては、例えば、-脂環式炭化水素基-鎖式炭化水素基-、-鎖式炭化水素基-脂環式炭化水素基-鎖式炭化水素基-、-鎖式炭化水素基-脂環式炭化水素基-等が挙げられる。
芳香族炭化水素基と鎖式炭化水素基とを組み合わせた基としては、例えば、-芳香族炭化水素基-鎖式炭化水素基-、-鎖式炭化水素基-芳香族炭化水素基-鎖式炭化水素基-、-鎖式炭化水素基-芳香族炭化水素基-等が挙げられる。
脂環式炭化水素基と芳香族炭化水素基とを組み合わせた基としては、-芳香族炭化水素基-脂環式炭化水素基-、-脂環式炭化水素基-芳香族炭化水素基-、-脂環式炭化水素基-芳香族炭化水素基-脂環式炭化水素基-、脂環式炭化水素基と芳香族炭化水素基とが縮合した基等が挙げられる。
なかでも、脂環式炭化水素基とアルカンジイル基とを組み合わせた基、芳香族炭化水素基とアルカンジイル基とを組み合わせた基及び脂環式炭化水素基と芳香族炭化水素基とを組み合わせた基が好ましい。組み合わせにおいて、脂環式炭化水素基、芳香族炭化水素基、鎖式炭化水素基は、それぞれ2種以上を組み合わせてもよい。また、いずれの基がX
1
に結合していてもよい。
脂環式炭化水素基とアルカンジイル基とを組み合わせた基としては、例えば、-2価の脂環式炭化水素基-アルカンジイル基-、-アルカンジイル基-2価の脂環式炭化水素基-アルカンジイル基-、-アルカンジイル基-2価の脂環式炭化水素基-等が挙げられる。
芳香族炭化水素基とアルカンジイル基とを組み合わせた基としては、例えば、-2価の芳香族炭化水素基-アルカンジイル基-、-アルカンジイル基-2価の芳香族炭化水素基-アルカンジイル基-、-アルカンジイル基-2価の芳香族炭化水素基-等が挙げられる。
脂環式炭化水素基と芳香族炭化水素基とを組み合わせた基としては、-芳香族炭化水素基-脂環式炭化水素基-、-脂環式炭化水素基-芳香族炭化水素基-、-脂環式炭化水素基-芳香族炭化水素基-脂環式炭化水素基-等が挙げられる。
L
10
の炭素数1~40の炭化水素基に含まれる-CH
2
-は、-O-、-S-、-SO
2
-、-SO-、-NR
7
-又は-CO-に置き換わっていてもよい。
L
10
の炭素数1~40の炭化水素基に含まれる-CH
2
-が-O-、-S-、-SO
2
-、-SO-、-NR
7
-又は-CO-に置き換わっている場合、置き換わる前の炭素数を該炭化水素基の炭素数とする。
R
7
のアルキル基としては、メチル基、エチル基、プロピル基、イソプロピル基、ブチル基、sec-ブチル基、tert-ブチル基、ペンチル基、ヘキシル基等が挙げられる。
炭化水素基に含まれる-CH
2
-が、-O-、-S-、-SO
2
-、-SO-、-NR
7
-又は-CO-に置き換わった基としては、ヒドロキシ基(メチル基中に含まれる-CH
2
-が、-O-に置き換わった基)、カルボキシ基(エチル基中に含まれる-CH
2
-CH
2
-が、-O-CO-に置き換わった基)、チオール基(メチル基中に含まれる-CH
2
-が、-S-に置き換わった基)、アミノ基(メチル基中に含まれる-CH
2
-が、-NR
7
-に置き換わった基)、オキシ基(メチレン基中に含まれる-CH
2
-が、-O-に置き換わった基)、カルボニル基(メチレン基中に含まれる-CH
2
-が、-CO-に置き換わった基)、チオ基(メチレン基中に含まれる-CH
2
-が、-S-に置き換わった基)、スルホニル基(メチレン基中に含まれる-CH
2
-が、-SO
2
-に置き換わった基)、ペプチド基(エチレン基中に含まれる-CH
2
-CH
2
-が、-CO-NR
7
-に置き換わった基)、アルコキシ基(アルキル基中に含まれる任意の位置の-CH
2
-が、-O-に置き換わった基)、アルキルチオ基(アルキル基中に含まれる任意の位置の-CH
(【0011】以降は省略されています)
この特許をJ-PlatPat(特許庁公式サイト)で参照する
関連特許
住友化学株式会社
偏光板
1か月前
住友化学株式会社
偏光板
1か月前
住友化学株式会社
積層体
1か月前
住友化学株式会社
偏光板
1か月前
住友化学株式会社
発光素子
1か月前
住友化学株式会社
発光素子
1か月前
住友化学株式会社
発光素子
1か月前
住友化学株式会社
熱分解装置
21日前
住友化学株式会社
熱分解装置
7日前
住友化学株式会社
フィルター
1か月前
住友化学株式会社
フィルター
1か月前
住友化学株式会社
光学積層体
1か月前
住友化学株式会社
偏光積層体
1か月前
住友化学株式会社
樹脂組成物
2か月前
住友化学株式会社
垂直偏光板
1か月前
住友化学株式会社
フィルター
1か月前
住友化学株式会社
電気化学センサ
1か月前
住友化学株式会社
金属有機構造体
1か月前
住友化学株式会社
組成物及び発光素子
19日前
住友化学株式会社
積層体および表示装置
1か月前
住友化学株式会社
プロピレンの製造方法
29日前
住友化学株式会社
偏光板及び画像表示装置
1か月前
住友化学株式会社
膜エレメントの製造方法
1か月前
住友化学株式会社
光学積層体及び偏光積層体
1か月前
住友化学株式会社
ポリオレフィン樹脂組成物
21日前
住友化学株式会社
装置、方法及びプログラム
1か月前
住友化学株式会社
組成物、硬化物および成形体
13日前
住友化学株式会社
複合偏光板及び画像表示装置
2か月前
住友化学株式会社
無機アルミニウム化合物粉末
1か月前
住友化学株式会社
粘着剤組成物および粘着剤層
1か月前
株式会社ユタックス
冷感生地
5日前
住友化学株式会社
組成物、硬化物、および成形体
13日前
住友化学株式会社
複合成形体、及びその製造方法
26日前
住友化学株式会社
位相差層積層体及び光学積層体
26日前
住友化学株式会社
偏光板およびこれを含む円偏光板
1か月前
住友化学株式会社
着色剤及び着色硬化性樹脂組成物
2か月前
続きを見る
他の特許を見る