TOP
|
特許
|
意匠
|
商標
特許ウォッチ
Twitter
他の特許を見る
10個以上の画像は省略されています。
公開番号
2025143809
公報種別
公開特許公報(A)
公開日
2025-10-02
出願番号
2024043250
出願日
2024-03-19
発明の名称
着色剤及び着色硬化性樹脂組成物
出願人
住友化学株式会社
代理人
弁理士法人アスフィ国際特許事務所
主分類
C08F
2/44 20060101AFI20250925BHJP(有機高分子化合物;その製造または化学的加工;それに基づく組成物)
要約
【課題】本発明は、赤色の明度がより良好なカラーフィルタを形成可能な着色剤及び着色硬化性樹脂組成物を提供することを課題とする。
【解決手段】着色剤、樹脂、重合性化合物、及び重合開始剤を含有し、前記着色剤が、C.I.ピグメントバイオレット19、式(I)で表される化合物、並びにアゾ基及び水酸基を有するイミダゾール2分子が2価の芳香族炭化水素基を介して結合した2量体化合物を含む、着色硬化性樹脂組成物。
<com:Image com:imageContentCategory="Drawing"> <com:ImageFormatCategory>TIFF</com:ImageFormatCategory> <com:FileName>2025143809000055.tif</com:FileName> <com:HeightMeasure com:measureUnitCode="Mm">58</com:HeightMeasure> <com:WidthMeasure com:measureUnitCode="Mm">110</com:WidthMeasure> </com:Image>
【選択図】なし
特許請求の範囲
【請求項1】
着色剤、樹脂、重合性化合物、及び重合開始剤を含有し、
前記着色剤が、C.I.ピグメントバイオレット19、式(I)で表される化合物、及び式(II)で表される化合物を含む、着色硬化性樹脂組成物。
TIFF
2025143809000051.tif
57
110
[式(I)中、
X
1
は、水素原子、置換基を有していてもよい芳香族炭化水素基、又は置換基を有していてもよい複素環基を表す。
X
2
は、水素原子、ハロゲン原子、置換基を有していてもよい炭素数1~20の炭化水素基、-OR
1
、又は-COOR
2
を表す。
X
3
は、ハロゲン原子、シアノ基、ニトロ基、置換基を有していてもよい炭素数1~20の炭化水素基、-OR
3
、-COOR
4
、-CONR
5
R
6
、又は-SO
2
NR
7
R
8
を表す。
R
1
~R
8
は、互いに独立に、水素原子、又は炭素数1~20の炭化水素基を表す。
nは、1又は2を表し、
mは、0~5のいずれかの整数を表し、
mとnとの和は6以下の整数である。
X
1
、X
2
、又はX
3
が複数存在する場合、それらは同一であっても異なっていてもよい。]
TIFF
2025143809000052.tif
27
112
[式(II)中、
L
1
は、置換基を有していてもよい2価の芳香族炭化水素基を表す。
X
11
~X
14
は、互いに独立に、水素原子、又は置換基を有していてもよい炭素数1~20の炭化水素基を表す。]
続きを表示(約 980 文字)
【請求項2】
さらに溶剤を含む、請求項1に記載の着色硬化性樹脂組成物。
【請求項3】
請求項1又は2に記載の着色硬化性樹脂組成物から形成される、カラーフィルタ。
【請求項4】
請求項3に記載のカラーフィルタを含む、表示装置。
【請求項5】
C.I.ピグメントバイオレット19、式(I)で表される化合物、及び式(II)で表される化合物を含む、着色剤。
TIFF
2025143809000053.tif
57
110
[式(I)中、
X
1
は、水素原子、置換基を有していてもよい芳香族炭化水素基、又は置換基を有していてもよい複素環基を表す。
X
2
は、水素原子、ハロゲン原子、置換基を有していてもよい炭素数1~20の炭化水素基、-OR
1
、又は-COOR
2
を表す。
X
3
は、ハロゲン原子、シアノ基、ニトロ基、置換基を有していてもよい炭素数1~20の炭化水素基、-OR
3
、-COOR
4
、-CONR
5
R
6
、又は-SO
2
NR
7
R
8
を表す。
R
1
~R
8
は、互いに独立に、水素原子、又は炭素数1~20の炭化水素基を表す。
nは、1又は2を表し、
mは、0~5のいずれかの整数を表し、
mとnとの和は6以下の整数である。
X
1
、X
2
、又はX
3
が複数存在する場合、それらは同一であっても異なっていてもよい。]
TIFF
2025143809000054.tif
27
112
[式(II)中、
L
1
は、置換基を有していてもよい2価の芳香族炭化水素基を表す。
X
11
~X
14
は、互いに独立に、水素原子、又は置換基を有していてもよい炭素数1~20の炭化水素基を表す。]
発明の詳細な説明
【技術分野】
【0001】
本発明は、着色剤、該着色剤を含む着色硬化性樹脂組成物、該着色硬化性樹脂組成物から形成されるカラーフィルタ、及び該カラーフィルタを含む表示装置に関するものである。
続きを表示(約 3,800 文字)
【背景技術】
【0002】
液晶表示装置、エレクトロルミネッセンス表示装置、及びプラズマディスプレイ等の表示装置や、CCD、CMOSセンサ等の固体撮像素子に使用されるカラーフィルタは、着色樹脂組成物から製造される。このような着色樹脂組成物としては、種々の着色剤が使用されており、例えば、着色剤としてC.I.ピグメントバイオレット19、C.I.ピグメントレッド269、及びC.I.ピグメントイエロー139を使用することが知られている(特許文献1)。
【先行技術文献】
【特許文献】
【0003】
特開2021-103295号公報
【発明の概要】
【発明が解決しようとする課題】
【0004】
カラーフィルタにおいては、色性能を高めるために、目的とする色度座標での明度を高めることが求められる。例えば、赤色カラーフィルタとしては、C光源の特性関数を用いたCIEのXYZ表色系における色度座標が、x=0.640~0.720、y=0.280~0.360の範囲において(より具体的には、x=0.680、y=0.320の色度座標において)、明度が高い方が好ましい。
本発明は上記のような事情に着目してなされたものであって、赤色の明度がより良好なカラーフィルタを形成可能な着色剤及び着色硬化性樹脂組成物を提供することを課題とする。
【課題を解決するための手段】
【0005】
本発明の要旨は、以下の通りである。
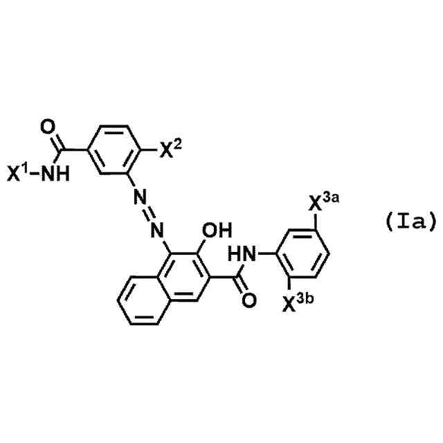
[1] 着色剤、樹脂、重合性化合物、及び重合開始剤を含有し、
前記着色剤が、C.I.ピグメントバイオレット19、式(I)で表される化合物、及び式(II)で表される化合物を含む、着色硬化性樹脂組成物。
TIFF
2025143809000001.tif
57
110
[式(I)中、
X
1
は、水素原子、置換基を有していてもよい芳香族炭化水素基、又は置換基を有していてもよい複素環基を表す。
X
2
は、水素原子、ハロゲン原子、置換基を有していてもよい炭素数1~20の炭化水素基、-OR
1
、又は-COOR
2
を表す。
X
3
は、ハロゲン原子、シアノ基、ニトロ基、置換基を有していてもよい炭素数1~20の炭化水素基、-OR
3
、-COOR
4
、-CONR
5
R
6
、又は-SO
2
NR
7
R
8
を表す。
R
1
~R
8
は、互いに独立に、水素原子、又は炭素数1~20の炭化水素基を表す。
nは、1又は2を表し、
mは、0~5のいずれかの整数を表し、
mとnとの和は6以下の整数である。
X
1
、X
2
、又はX
3
が複数存在する場合、それらは同一であっても異なっていてもよい。]
TIFF
2025143809000002.tif
27
112
[式(II)中、
L
1
は、置換基を有していてもよい2価の芳香族炭化水素基を表す。
X
11
~X
14
は、互いに独立に、水素原子、又は置換基を有していてもよい炭素数1~20の炭化水素基を表す。]
[2] さらに溶剤を含む、[1]に記載の着色硬化性樹脂組成物。
[3] [1]又は[2]に記載の着色硬化性樹脂組成物から形成される、カラーフィルタ。
[4] [3]に記載のカラーフィルタを含む、表示装置。
[5] C.I.ピグメントバイオレット19、式(I)で表される化合物、及び式(II)で表される化合物を含む、着色剤。
TIFF
2025143809000003.tif
57
110
[式(I)中、
X
1
は、水素原子、置換基を有していてもよい芳香族炭化水素基、又は置換基を有していてもよい複素環基を表す。
X
2
は、水素原子、ハロゲン原子、置換基を有していてもよい炭素数1~20の炭化水素基、-OR
1
、又は-COOR
2
を表す。
X
3
【発明の効果】
【0006】
本発明の着色剤及び着色硬化性樹脂組成物によれば、得られるカラーフィルタの特定の色度座標における明度を高めることが可能となる。また好ましい態様において、得られるカラーフィルタの530nmにおける透過率を抑制することができる。また好ましい態様において、着色硬化性樹脂組成物の固形分の総量中の着色剤の含有率を抑制することができる。
【発明を実施するための形態】
【0007】
本発明の着色剤(以下、着色剤(A)とも称する)は、C.I.ピグメントバイオレット19、下記式(I)で表される化合物(以下、化合物(I)とも称する)、及び下記式(II)で表される化合物(以下、化合物(II)とも称する)を含む。本発明の着色剤は、以下の着色硬化性樹脂組成物に着色剤成分として含まれてもよい。
本発明の着色硬化性樹脂組成物は、着色剤(A)、樹脂(以下、樹脂(B)とも称する)、重合性化合物(以下、重合性化合物(C)とも称する)、及び重合開始剤(以下、重合開始剤(D)とも称する)を含有し、前記着色剤が、C.I.ピグメントバイオレット19、化合物(I)、及び化合物(II)を含む。
また本発明に係る着色硬化性樹脂組成物は、さらに溶剤(以下、溶剤(E)とも称する)を含むことが好ましい。
また本発明に係る着色硬化性樹脂組成物は、さらに重合開始助剤(以下、重合開始助剤(D1)とも称する)を含んでいてもよい。
また本発明に係る着色硬化性樹脂組成物は、さらにレベリング剤(以下、レベリング剤(F)とも称する)を含んでいてもよい。
なお本明細書において、各成分として例示する化合物は特に断りのない限り、単独で又は複数種を組み合わせて使用することができる。
【0008】
<着色剤(A)>
着色剤(A)は、C.I.ピグメントバイオレット19、化合物(I)、及び化合物(II)を含む。着色剤(A)がC.I.ピグメントバイオレット19、化合物(I)、及び化合物(II)を含むことにより、該着色剤及び該着色剤を含む着色硬化性樹脂組成物によれば、得られるカラーフィルタの特定の色度座標における明度を高めることが可能である。具体的には、C光源の特性関数を用いたCIEのXYZ表色系における色度座標が、x=0.640~0.720、y=0.280~0.360の範囲において(より具体的には、x=0.680、y=0.320の色度座標において)、明度が良好なカラーフィルタを形成することができる。このため、該着色剤及び該着色剤を含む着色硬化性樹脂組成物によれば、特に赤色の色特性が良好なカラーフィルタを得られる。
【0009】
またカラーフィルタにおいては、色性能を高めるために、特定の波長の透過率を抑制することが求められる。例えば、赤色カラーフィルタとしては、530nmにおける透過率が低いことが好ましい。530nmにおける透過率が高いと、緑色の光が漏れることにより、所望の色特性が得られない恐れがある。着色剤(A)がC.I.ピグメントバイオレット19、化合物(I)、及び化合物(II)を含むことにより、該着色剤及び該着色剤を含む着色硬化性樹脂組成物によれば、好ましくは、得られるカラーフィルタの530nmにおける透過率を抑制することができ、より色性能が良好なカラーフィルタを得られる。
【0010】
またカラーフィルタにおいては、所望の色性能を達成するために、着色硬化性樹脂組成物の固形分の総量中の着色剤含有率を高めることが一般的に知られている。しかしながら、着色硬化性樹脂組成物中の着色剤の含有率を高めると、硬化成分の含有率を低下させることになるため、カラーフィルタ形成時に残渣が発生したり、パターン形状が悪くなったりする恐れがある。このため、着色剤以外の成分(例えば、樹脂や重合性化合物)の含有率を向上させることによりカラーフィルタ形成時の不良発生を抑制できる点、及び着色硬化性樹脂組成物の設計上の自由度を高めることができる点から、着色硬化性樹脂組成物の固形分の総量中の着色剤含有率は低い方が好ましい。着色剤(A)がC.I.ピグメントバイオレット19、化合物(I)、及び化合物(II)を含むことにより、好ましくは、該着色剤を含む着色硬化性樹脂組成物は、固形分の総量中の着色剤の含有率を抑制しながらも所望の色性能を有するカラーフィルタを形成することが可能である。
(【0011】以降は省略されています)
この特許をJ-PlatPat(特許庁公式サイト)で参照する
関連特許
住友化学株式会社
偏光板
1か月前
住友化学株式会社
偏光板
1か月前
住友化学株式会社
着色剤
13日前
住友化学株式会社
化合物
13日前
住友化学株式会社
体液に由来する試料
3日前
住友化学株式会社
芳香族ポリスルホン
13日前
住友化学株式会社
成形原料及びフィルム
1か月前
住友化学株式会社
積層体の製造方法及び積層体
1か月前
住友化学株式会社
複合偏光板及び画像表示装置
1日前
住友化学株式会社
光学積層体及びその製造方法
15日前
住友化学株式会社
粘着剤付き偏光板及び表示装置
23日前
住友化学株式会社
着色剤及び着色硬化性樹脂組成物
今日
住友化学株式会社
接着剤組成物及び偏光板の製造方法
23日前
住友化学株式会社
高分子化合物、組成物、及び発光素子
29日前
住友化学株式会社
非水電解液二次電池用積層セパレータ
3日前
住友化学株式会社
芳香族ポリスルホン及び耐熱フィルム
13日前
住友化学株式会社
リチウム二次電池用正極活物質の製造方法
24日前
住友化学株式会社
膜、積層体、素子、デバイス、及び、構造体
27日前
住友化学株式会社
リチウム二次電池用負極及びリチウム二次電池
24日前
住友化学株式会社
除草剤耐性作物の栽培地における雑草の防除方法
13日前
住友化学株式会社
化合物、樹脂組成物、光学フィルタ及び固体撮像素子
27日前
住友化学株式会社
カラーフィルタ及び該カラーフィルタを含む表示装置
24日前
住友化学株式会社
ジホスファイト系化合物、その製造方法およびその用途
13日前
住友化学株式会社
レジスト組成物及びレジストパターンの製造方法並びに化合物
1か月前
住友化学株式会社
レジスト組成物及びレジストパターンの製造方法並びに化合物
1か月前
住友化学株式会社
塩、酸発生剤、レジスト組成物及びレジストパターンの製造方法
3日前
住友化学株式会社
着色樹脂組成物
1か月前
住友化学株式会社
酸発生剤、塩、レジスト組成物及びレジストパターンの製造方法
27日前
住友化学株式会社
化合物、組成物、カラーフィルタ、表示装置、及び固体撮像素子
1日前
住友化学株式会社
酸発生剤、塩、レジスト組成物及びレジストパターンの製造方法
22日前
住友化学株式会社
酸発生剤、塩、レジスト組成物及びレジストパターンの製造方法
3日前
住友化学株式会社
塩、酸発生剤、レジスト組成物及びレジストパターンの製造方法
3日前
住友化学株式会社
窒化ガリウム単結晶基板および窒化ガリウム単結晶基板の製造方法
1か月前
住友化学株式会社
窒化ガリウム単結晶基板および窒化ガリウム単結晶基板の製造方法
1か月前
住友化学株式会社
窒化物半導体基板
23日前
住友化学株式会社
窒化ガリウム単結晶基板および窒化ガリウム単結晶基板の製造方法
1か月前
続きを見る
他の特許を見る