TOP
|
特許
|
意匠
|
商標
特許ウォッチ
Twitter
他の特許を見る
10個以上の画像は省略されています。
公開番号
2025168563
公報種別
公開特許公報(A)
公開日
2025-11-07
出願番号
2025148478,2024213012
出願日
2025-09-08,2012-05-11
発明の名称
半導体装置
出願人
株式会社半導体エネルギー研究所
代理人
主分類
H10D
30/67 20250101AFI20251030BHJP()
要約
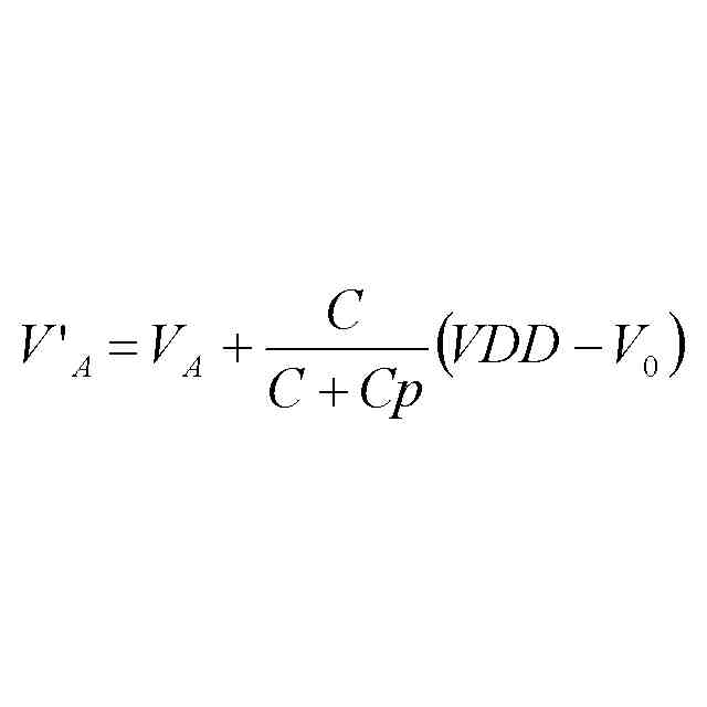
【課題】酸化物半導体層を用いたnチャネルTFTのみを用いてバッファ回路やインバー
タ回路などを構成することを課題の一つとする。
【解決手段】ソース電極及びドレイン電極の両方がゲート電極に重なる第1のトランジス
タと、ソース電極はゲート電極と重ね、且つ、ドレイン電極はゲート電極と重ならない第
2のトランジスタとを組み合わせてバッファ回路やインバータ回路などを構成する。第2
のトランジスタをこのような構造とすることによって、容量Cpを小さくし、電位差VD
D-VSSが小さい場合でもV
A
’が大きくとれるようになる。
【選択図】図1
特許請求の範囲
【請求項1】
チャネル形成領域に酸化物半導体を含む第1のトランジスタ及び第2のトランジスタ、を有し、
前記第1のトランジスタの導通状態と、前記第2のトランジスタの導通状態とに従って、出力する電位を制御する機能を有する半導体装置であって、
前記第1のトランジスタのソース電極又はドレイン電極の一方としての機能を有する第1の導電膜と、
前記第1のトランジスタのソース電極又はドレイン電極の他方としての機能を有し、かつ、前記第2のトランジスタのソース電極又はドレイン電極の一方としての機能を有する第2の導電膜と、
前記第2のトランジスタのソース電極又はドレイン電極の他方としての機能を有する第3の導電膜と、を有し、
前記第2の導電膜が、前記第2のトランジスタのゲート電極としての機能を有する第4の導電膜と重なる領域は、前記第2の導電膜が、前記第1のトランジスタのゲート電極としての機能を有する第5の導電膜と重なる領域よりも大きく、
前記第2のトランジスタの前記チャネル形成領域を有する酸化物半導体膜が、前記第4の導電膜と重なる領域は、前記酸化物半導体膜が前記第3の導電膜と重なる領域と、平面視において離隔しており、
前記電位は、前記第2の導電膜を介して出力される、
半導体装置。
続きを表示(約 1,900 文字)
【請求項2】
チャネル形成領域に酸化物半導体を含む第1のトランジスタ及び第2のトランジスタ、を有し、
前記第1のトランジスタの導通状態と、前記第2のトランジスタの導通状態とに従って、出力する電位を制御する機能を有する半導体装置であって、
前記第1のトランジスタのソース電極又はドレイン電極の一方としての機能を有する第1の導電膜と、
前記第1のトランジスタのソース電極又はドレイン電極の他方としての機能を有し、かつ、前記第2のトランジスタのソース電極又はドレイン電極の一方としての機能を有する第2の導電膜と、
前記第2のトランジスタのソース電極又はドレイン電極の他方としての機能を有する第3の導電膜と、を有し、
前記第2の導電膜が、前記第2のトランジスタのゲート電極としての機能を有する第4の導電膜と重なる領域は、前記第2の導電膜が、前記第1のトランジスタのゲート電極としての機能を有する第5の導電膜と重なる領域よりも大きく、
前記第2のトランジスタの前記チャネル形成領域を有する酸化物半導体膜が、前記第4の導電膜と重なる領域は、前記酸化物半導体膜が前記第3の導電膜と重なる領域と、平面視において離隔しており、
前記第3の導電膜に与えられる第1の電位は、前記第1の導電膜に与えられる第2の電位よりも高く、
前記電位は、前記第2の導電膜を介して出力される、
半導体装置。
【請求項3】
チャネル形成領域に酸化物半導体を含む第1のトランジスタ及び第2のトランジスタ、を有し、
前記第1のトランジスタの導通状態と、前記第2のトランジスタの導通状態とに従って、出力する電位を制御する機能を有する半導体装置であって、
前記第1のトランジスタのソース電極又はドレイン電極の一方としての機能を有する第1の導電膜と、
前記第1のトランジスタのソース電極又はドレイン電極の他方としての機能を有し、かつ、前記第2のトランジスタのソース電極又はドレイン電極の一方としての機能を有する第2の導電膜と、
前記第2のトランジスタのソース電極又はドレイン電極の他方としての機能を有する第3の導電膜と、を有し、
前記第1の導電膜の上面、前記第2の導電膜の上面、及び、前記第3の導電膜の上面のそれぞれは、第1の絶縁膜と接する領域を有し、
前記第2の導電膜が、前記第2のトランジスタのゲート電極としての機能を有する第4の導電膜と重なる領域は、前記第2の導電膜が、前記第1のトランジスタのゲート電極としての機能を有する第5の導電膜と重なる領域よりも大きく、
前記第2のトランジスタの前記チャネル形成領域を有する酸化物半導体膜が、前記第4の導電膜と重なる領域は、前記酸化物半導体膜が前記第3の導電膜と重なる領域と、平面視において離隔しており、
前記電位は、前記第2の導電膜を介して出力される、
半導体装置。
【請求項4】
チャネル形成領域に酸化物半導体を含む第1のトランジスタ及び第2のトランジスタ、を有し、
前記第1のトランジスタの導通状態と、前記第2のトランジスタの導通状態とに従って、出力する電位を制御する機能を有する半導体装置であって、
前記第1のトランジスタのソース電極又はドレイン電極の一方としての機能を有する第1の導電膜と、
前記第1のトランジスタのソース電極又はドレイン電極の他方としての機能を有し、かつ、前記第2のトランジスタのソース電極又はドレイン電極の一方としての機能を有する第2の導電膜と、
前記第2のトランジスタのソース電極又はドレイン電極の他方としての機能を有する第3の導電膜と、を有し、
前記第1の導電膜の上面、前記第2の導電膜の上面、及び、前記第3の導電膜の上面のそれぞれは、第1の絶縁膜と接する領域を有し、
前記第2の導電膜が、前記第2のトランジスタのゲート電極としての機能を有する第4の導電膜と重なる領域は、前記第2の導電膜が、前記第1のトランジスタのゲート電極としての機能を有する第5の導電膜と重なる領域よりも大きく、
前記第2のトランジスタの前記チャネル形成領域を有する酸化物半導体膜が、前記第4の導電膜と重なる領域は、前記酸化物半導体膜が前記第3の導電膜と重なる領域と、平面視において離隔しており、
前記第3の導電膜に与えられる第1の電位は、前記第1の導電膜に与えられる第2の電位よりも高く、
前記電位は、前記第2の導電膜を介して出力される、
半導体装置。
発明の詳細な説明
【技術分野】
【0001】
酸化物半導体を用いる半導体装置及びその作製方法に関する。
続きを表示(約 1,200 文字)
【0002】
なお、本明細書中において半導体装置とは、半導体特性を利用することで機能しうる装
置全般を指し、電気光学装置、半導体回路および電子機器は全て半導体装置である。
【背景技術】
【0003】
絶縁表面を有する基板上に形成された半導体薄膜を用いて薄膜トランジスタ(TFT)を
構成する技術の研究が進められている。薄膜トランジスタはICや電気光学装置のような
電子デバイスに広く応用され、特に画像表示装置(液晶表示装置やEL表示装置)のスイ
ッチング素子として用いられている。
【0004】
薄膜トランジスタを画像表示装置(液晶表示装置やEL表示装置)のスイッチング素子と
して用いた表示装置は、アクティブマトリクス型表示装置と呼ばれ、その利点は、画素部
に信号を伝送する駆動回路として、シフトレジスタ回路、ラッチ回路もしくはバッファ回
路といった回路を同一の絶縁体上にTFTで形成することが可能な点である。
【0005】
しかしながら、アクティブマトリクス型表示装置はTFTの製造工程が複雑であると、
製造コストが高くなるという問題を抱えていた。また、複数のTFTを同時に形成するた
め、製造工程が複雑になると歩留まりを確保することが難しい。特に駆動回路に動作不良
があると画素一列が動作しないといった線状欠陥を引き起こすこともある。
【0006】
画素部及び駆動回路を全てnチャネル型トランジスタで形成する技術が特許文献1に開示
されている。
【0007】
また、表示装置に限らず、インバータ回路(論理否定回路)やバッファ回路などを組み合
わせれば、LSIなどのさまざまな半導体集積回路を作製することができる。通常、イン
バータ回路やバッファ回路などは、nチャネル型TFTとpチャネル型TFTとを組み合
わせたCMOS回路で構成される。
【先行技術文献】
【特許文献】
【0008】
特開2002-49333号公報
【発明の概要】
【発明が解決しようとする課題】
【0009】
酸化物半導体層を用いたnチャネルTFTのみを用いてバッファ回路やインバータ回路な
どを構成することを課題の一つとする。
【課題を解決するための手段】
【0010】
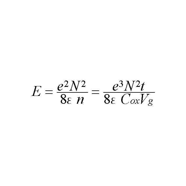
nチャネルTFTのみを用いてバッファ回路や、インバータ回路を構成する際には、ブー
トストラップという手法が用いられる。バッファ回路や、インバータ回路を構成する際に
用いる出力部を図1(A)に示す。
(【0011】以降は省略されています)
この特許をJ-PlatPat(特許庁公式サイト)で参照する
関連特許
個人
積和演算用集積回路
1か月前
サンケン電気株式会社
半導体装置
1か月前
日機装株式会社
半導体発光装置
26日前
ローム株式会社
半導体装置
10日前
三菱電機株式会社
半導体装置
18日前
株式会社半導体エネルギー研究所
表示装置
10日前
三菱電機株式会社
半導体装置
5日前
株式会社東芝
半導体装置
18日前
三菱電機株式会社
半導体装置
1か月前
ローム株式会社
半導体集積回路
1か月前
サンケン電気株式会社
半導体装置
18日前
ローム株式会社
半導体装置
3日前
株式会社半導体エネルギー研究所
発光デバイス
26日前
株式会社半導体エネルギー研究所
発光デバイス
1か月前
ローム株式会社
半導体装置
1か月前
日亜化学工業株式会社
発光素子
1か月前
新電元工業株式会社
半導体素子
3日前
新電元工業株式会社
半導体素子
3日前
新電元工業株式会社
半導体素子
3日前
日亜化学工業株式会社
発光装置
1か月前
日本ゼオン株式会社
構造体
1か月前
日亜化学工業株式会社
発光素子
1か月前
ローム株式会社
半導体装置
18日前
日亜化学工業株式会社
発光装置
1か月前
日亜化学工業株式会社
発光装置
3日前
ローム株式会社
半導体装置
1か月前
株式会社東芝
半導体装置及びウエーハ
1か月前
株式会社東芝
ウエーハ及び半導体装置
11日前
日亜化学工業株式会社
発光装置の製造方法及び発光装置
1か月前
株式会社東芝
ウエーハ及び半導体装置
11日前
住友電気工業株式会社
炭化珪素半導体装置
10日前
シチズン電子株式会社
発光装置
1か月前
住友電気工業株式会社
受光素子
1か月前
京セラ株式会社
配線基板及びLEDモジュール
1か月前
株式会社東芝
半導体装置及びその製造方法
1か月前
株式会社アイシン
ペロブスカイト太陽電池
1か月前
続きを見る
他の特許を見る