TOP
|
特許
|
意匠
|
商標
特許ウォッチ
Twitter
他の特許を見る
10個以上の画像は省略されています。
公開番号
2025167542
公報種別
公開特許公報(A)
公開日
2025-11-07
出願番号
2024072290
出願日
2024-04-26
発明の名称
カソード反応のための装置およびその応用
出願人
国立研究開発法人海洋研究開発機構
代理人
弁理士法人特許事務所サイクス
主分類
C02F
1/461 20230101AFI20251030BHJP(水,廃水,下水または汚泥の処理)
要約
【課題】種々の環境下で、外部電源を要せずに、カソード反応を長期間にわたり安定的に維持できる装置およびその応用を提供する。
【解決手段】カソード反応のための装置であって、アノードおよびカソードを含み、上記アノードと上記カソードとが、電気抵抗器を介して、かつ外部電源を介さずに、互いに電気的に接続されている装置、ならびに上記装置を用いて、アノードとカソードとを海、河川、または湖沼中に浸漬しカソード反応を行う方法、アノードを電解液に浸漬し、かつカソードを微生物が生息している水に浸漬することを含む微生物培養方法または微生物スクリーニング方法、および上記装置を複数含み、上記複数の装置において互いに上記電気抵抗器の抵抗値が異なる装置アレイ。
【選択図】図1
特許請求の範囲
【請求項1】
カソード反応のための装置であって、
アノードおよびカソードを含み、
前記アノードと前記カソードとが、電気抵抗器を介して、かつ外部電源を介さずに、互いに電気的に接続されており、
前記カソード反応において、前記アノードが腐食することにより前記カソードに電子が供給される、装置。
続きを表示(約 750 文字)
【請求項2】
前記アノードが鉄、亜鉛、アルミニウム、マグネシウム、およびこれらいずれかを含む金属の合金からなる群より選択され、
前記カソードが、炭素材料、導電性ポリマー、金属、合金、金属酸化物、および金属硫化物からなる群より選択される、請求項1に記載の装置。
【請求項3】
前記カソードが、カーボンペーパー、カーボンフェルト、およびカーボンクロスからなる群より選択される、請求項2に記載の装置。
【請求項4】
前記アノードを収容するアノード槽を含み、前記のアノード槽は内部と外部との液絡部を有する、請求項1に記載の装置。
【請求項5】
前記液絡部がイオン交換膜である、請求項4に記載の装置。
【請求項6】
請求項1に記載の装置であって、
さらに参照電極を含んでいてもよく、
電極間の電位差を測定するための電圧計および電極間の電流を測定するための電流計の少なくとも1つを含む装置。
【請求項7】
前記電気抵抗器が可変抵抗器である、請求項1~6のいずれか1項に記載の装置。
【請求項8】
海水の処理のための請求項1~6のいずれか1項に記載の装置であって、
前記アノードの有効面積が前記カソードの有効面積以上である、装置。
【請求項9】
請求項1~6のいずれか1項に記載の装置を用い、
前記アノードと前記カソードとを海、河川、または湖沼中に浸漬し、前記海、河川、または湖沼の水をカソード電解液として前記カソード反応を行う方法。
【請求項10】
前記カソード反応を深海で行う、請求項9に記載の方法。
(【請求項11】以降は省略されています)
発明の詳細な説明
【技術分野】
【0001】
本発明は、カソード反応のための装置およびその応用に関する。本発明は特に、外部電源不要な上記装置およびその応用に関する。
続きを表示(約 4,500 文字)
【背景技術】
【0002】
電気化学反応は、物質エネルギー生産等様々な技術の基盤である。特に、近年、電気合成微生物探索や汚染浄化などを目的として、カソード反応が利用されている。例えば、特許文献1では、カソード反応で微生物が集積した沈殿物を形成させるとともに該沈殿物に坑廃水などの被処理水中の重金属イオンを濃集する方法が開示されている。
【0003】
上記の電気化学反応を系統電源やバッテリー等の外部電源利用が困難な環境下でも維持できる技術が検討されている。
非特許文献1は太陽光発電で電力供給を行う野外型定電位制御電気化学システムが開示している。
非特許文献2は深海底の微生物を利用した燃料電池による水中探査機のセンサーと音響通信への電力供給を開示している。
特許文献2は海底面から、海底下に存在する熱水溜まりにまで至る掘削孔、および海底面上のガイドベースを介して当該掘削孔内に設置されたケーシングを有する熱水井と、前記熱水井による熱水の流路上に設けられるアノードと、前記熱水井による熱水の流路以外の海水中に設けられるカソードと、前記アノードと前記カソードとにそれぞれ接続され、生じた電力を取り出す電力取出手段と、を備える発電システムを開示している。
【先行技術文献】
【特許文献】
【0004】
特開2023-130005号公報
特許第5842703号
【非特許文献】
【0005】
Biosensors and Bioelectronics 32.1 (2012): 309-313.
Journal of Atmospheric and Oceanic Technology 33.3 (2016): 607-617
【発明の概要】
【発明が解決しようとする課題】
【0006】
非特許文献1に記載のシステムは太陽光を利用できない深海底などの環境下では使用できない。また、特許文献1に記載のシステムは熱水井周辺で実現できるに過ぎない。非特許文献2のシステムは得られる電流・電位差が小さすぎるという課題がある。
本発明は、種々の環境下で、外部電源を要せずに、カソード反応を長期間にわたり安定的に維持できる装置および方法を提供することを課題とする。
【課題を解決するための手段】
【0007】
本発明者は防食技術や腐食電池(海水電池)の原理として知られる異種金属接触によるガルバニック腐食反応に着目し、この反応を、外部電源に頼らずカソード反応に必要な自発的な電子の流れを作り出す機構と捉え、検討を重ねた。その結果、腐食電池並みの電流電位差を長期間にわたり作り出す新たな電気化学システムの構築に成功し、本発明を完成させた。
【0008】
具体的には、本発明は代表的な実施態様として、以下を提供する。
<1>カソード反応のための装置であって、アノードおよびカソードを含み、上記アノードと上記カソードとが、電気抵抗器を介して、かつ外部電源を介さずに、互いに電気的に接続されており、上記カソード反応において、上記アノードが腐食することにより上記カソードに電子が供給される、装置。
<2>上記アノードが鉄、亜鉛、アルミニウム、マグネシウム、およびこれらいずれかを含む金属の合金からなる群より選択され、上記カソードが、炭素材料、導電性ポリマー、金属、合金、金属酸化物、および金属硫化物からなる群より選択される、<1>に記載の装置。
<3>上記カソードが、カーボンペーパー、カーボンフェルト、およびカーボンクロスからなる群より選択される、<1>または<2>に記載の装置。
<4>上記アノードを収容するアノード槽を含み、上記のアノード槽は内部と外部との液絡部を有する、<1>~<3>のいずれかに記載の装置。
<5>上記液絡部がイオン交換膜である、<4>に記載の装置。
<6><1>~<5>のいずれかに記載の装置であって、さらに参照電極を含んでいてもよく、電極間の電位差を測定するための電圧計および電極間の電流を測定するための電流計の少なくとも1つを含む装置。
<7>上記電気抵抗器が可変抵抗器である、<1>~<6>のいずれかに記載の装置。
<8>海水の処理のための<1>~<7>のいずれかに記載の装置であって、上記アノードの有効面積が上記カソードの有効面積以上である、装置。
<9><1>~<7>のいずれかに記載の装置を用い、上記アノードと上記カソードとを海、河川、または湖沼中に浸漬し、上記海、河川、または湖沼の水をカソード電解液として上記カソード反応を行う方法。
<10>上記カソード反応を深海で行う、<9>に記載の方法。
<11><1>~<7>のいずれかに記載の装置を用いる微生物培養方法または微生物スクリーニング方法であって、上記アノードを電解液に浸漬し、かつ上記カソードを微生物が生息している水に浸漬することを含む方法。
<12>重金属イオンを含みかつ重金属代謝能を有する微生物が生息している被処理水から重金属イオンを回収する方法であって、<1>~<7>のいずれかに記載の装置を用い、上記アノードを電解液に浸漬し、かつ上記カソードを上記被処理水に浸漬し、上記カソード反応により、上記微生物が集積している沈殿物を形成させるとともに上記沈殿物に上記重金属イオンを濃集することを含む、方法。
<13><1>~<7>のいずれかに記載の装置を複数含み、上記の複数の装置において互いに上記電気抵抗器の抵抗値が異なる、装置アレイ。
<14>微生物培養または微生物スクリーニングに用いるための、<13>に記載の装置アレイ。
【発明の効果】
【0009】
本発明により、外部電源を要せずに、電気化学反応、特に、カソード反応を長期間にわたり安定的に維持できる装置およびこの装置を応用した方法等が提供される。
【図面の簡単な説明】
【0010】
(a)本発明の装置の原理を模式的に示す。(b)金属腐食アノードと不活性カソードとの間に配した電気抵抗器の抵抗値を変化させたときのカソードとアノードそれぞれの電位を示す。
(a)電気抵抗器の抵抗値を変化させたときのカソードおよびアノードの電位および二電極間に流れる電流を示す。それぞれの電位-電流データポイントに添えた表記は二電極間の抵抗値、および開回路状態(OPEN)を示す。(b)実測した電流値と抵抗値および二極間電位差からオームの法則を用いて算出された算出電流値とをプロットしたグラフである。それぞれのデータポイントに添えた表記は二電極間の抵抗値を示す。
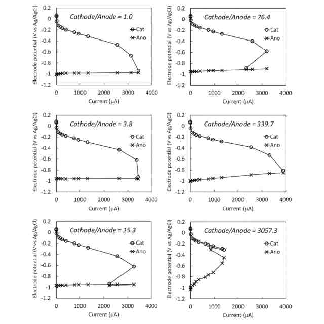
カソード/アノード有効面積比の異なる二電極系の分極曲線を示す。
窒素バブリング条件下および空気バブリング条件下における分極特性の差を示す。それぞれの電位-電流データポイントに添えた表記は二電極間の抵抗値、および開回路状態(OPEN)を示す。
代表的な無機・有機電極材料をカソードとしたときの分極特性を示す。(a)炭素材料をカソードとしたときの分極特性を示す。CClothはカーボンクロス、CFeltはカーボンフェルト、CPaperはカーボンペーパー、Graphiteはグラファイトシート、GCarbonはグラッシーカーボンをそれぞれカソードとしたときの分極特性を示す。(b)金属および金属酸化物をカソードとしたときの分極特性を示す。Ptはプラチナ、SSはステンレススチール(SUS304)、SSOxideはステンレススチール(SUS304)の熱処理酸化物、ITOはITO(Indium-Tin Oxide)薄膜ガラス、Tiはチタンをそれぞれカソードとしたときの分極特性を示す。(c)鉱物片および岩石片をカソードとしたときの分極特性を示す。Sulfide Rockは硫化鉱物岩石片、Chalcopyriteはカルコパイライト片をそれぞれカソードとしたときの分極特性を示す。
代表的な腐食金属をアノードとしたときの分極特性を示す。
塩濃度の異なる電解液における、電気抵抗器の抵抗値を変化させたときのカソードおよびアノードの電位および二電極間に流れる電流を示す。
アノードおよびカソードの各電極反応への溶液電解質濃度の影響と陰イオン交換膜を介した溶液電解質の移動特性を示す。(a)陰イオン交換膜を隔てて模擬海水電解液(SW)および模擬淡水電解液(FW)を各電極槽に充填した2槽式電解セルでのガルバニック腐食スタンドアローン電極系(電極間抵抗10Ωで約1か月運転)のカソードおよびアノードの電位の推移を示す。(b)同実験での各電極槽の電気伝導度の推移を示す。
浅海実海洋環境でのガルバニック腐食スタンドアローン電極系の2週間の実証実験結果を示す。(a)開回路(非通電)、4水準の電極間抵抗器(5kΩ、2kΩ、750Ω、および12Ω)でガルバニック腐食電流強度を制御した電極系のアノードおよびカソード電位の推移を示す。(b)各電極系の電流の推移を示す。
浅海環境での2週間の実証実験後のカソード電極の様相を示す。(a)カーボンフェルト電極およびPVC電極治具の様子である。(b)カーボンフェルト電極の走査型電子顕微鏡(SEM)像である。
浅海環境での実証実験でカソード分極電極上で形成された微生物集団および付着物の様相を示す。(a)、(b)炭素繊維電極表面の周囲に形成された桿菌バイオフィルムの走査型電子顕微鏡(SEM)像である。(c)、(d)付着物と電極繊維の切削断面の走査型電子顕微鏡像である。
浅海環境での実証実験でカソード電極上で形成された微生物集団の群集構造を示す。(a)浅海実証実験での現場海水、PVC電極治具表面、開回路対照電極、各種カソード分極電極の原核微生物群集構造である(16S rRNA遺伝子のアンプリコンシーケンス解析)。(b)各種カソード分極電極の16S rRNA遺伝子のアンプリコンシーケンス解析で得た優占系統配列、および既知近縁配列の最尤法系統樹である。図中の数値は各枝のブートストラップ値である。
人工海水中で長期運転したガルバニック腐食スタンドアローン電極系の分極カソード表面に形成された沈殿物の様相である。(a)4℃の人工海水中で6か月間運転した電極系の分極カソード(5kΩ、750Ω、2Ωの電極間抵抗運転)表面に確認された白色沈殿物の写真である。(b)粉末X線回折法によるカソード電極表面から剥離させた沈殿物相の解析結果を示す。
【発明を実施するための形態】
(【0011】以降は省略されています)
この特許をJ-PlatPat(特許庁公式サイト)で参照する
関連特許
株式会社げんき
液体活性化装置
17日前
株式会社ウィズアクア
水質浄化装置
1か月前
三浦工業株式会社
汚泥乾燥加熱釜
1か月前
株式会社ライトアース
水循環式水質浄化システム
24日前
三浦工業株式会社
精製水供給システム
1か月前
栗田工業株式会社
電気イオン濃縮装置
28日前
名古屋メッキ工業株式会社
溶存金属析出装置
28日前
スタンレー電気株式会社
流体除菌装置
22日前
栗田工業株式会社
逆浸透膜装置の運転方法
17日前
オルガノ株式会社
UV照射装置
16日前
栗田工業株式会社
超純水製造装置の制御方法
1か月前
栗田工業株式会社
電気脱イオン装置の運転方法
29日前
WOTA株式会社
液性判定システム及び液性判定方法
28日前
有限会社フリーウェー
浄水装置
16日前
株式会社神鋼環境ソリューション
貯留槽
1か月前
ジヤトコ株式会社
排水回収システム
1日前
個人
海水の塩分除去装置と淡水製造方法
2日前
株式会社ヘルスカンパニー
浴用剤の使用方法
28日前
竹鶴油業株式会社
残渣処理プラント及び成形物の製造方法
16日前
有限会社エコルネサンス・エンテック
環境負荷の低減化を図る方法
1か月前
株式会社医道メディカル
水素及び水素溶解エクソソーム液発生装置
15日前
三菱化工機株式会社
電界ろ過装置及び電界ろ過装置のろ材の製造方法
9日前
王子ホールディングス株式会社
排水処理方法
25日前
株式会社セルマップ
油吸着用の吸着体、及び油吸着用の吸着体の製造方法
25日前
栗田工業株式会社
水・蒸気サイクル中の有機系溶存物質の除去方法
23日前
キヤノン株式会社
液体中に溶存するガスの回収システム
15日前
荏原実業株式会社
防臭システム、防臭装置及び防臭方法
14日前
公立大学法人 富山県立大学
アンモニア含有水の処理装置
1か月前
ガス・ウォーター株式会社
海水淡水化・塩分製造プラント
29日前
株式会社ササクラ
被処理液の膜処理方法および装置
1日前
メタウォーター株式会社
消化システム及び加熱制御方法
14日前
メタウォーター株式会社
消化システム及び加熱制御方法
14日前
オルガノ株式会社
水処理システム
1日前
メタウォーター株式会社
消化システム及び加熱制御方法
14日前
株式会社東芝
スカム発生抑制システム及びスカム発生抑制方法
14日前
メタウォーター株式会社
消化システム及び配管設置方法
14日前
続きを見る
他の特許を見る