TOP
|
特許
|
意匠
|
商標
特許ウォッチ
Twitter
他の特許を見る
10個以上の画像は省略されています。
公開番号
2025161621
公報種別
公開特許公報(A)
公開日
2025-10-24
出願番号
2024064966
出願日
2024-04-12
発明の名称
重合体および重合体の製造方法
出願人
三菱ケミカル株式会社
代理人
弁理士法人特許事務所サイクス
主分類
C08F
210/02 20060101AFI20251017BHJP(有機高分子化合物;その製造または化学的加工;それに基づく組成物)
要約
【課題】 環状ケテンアセタールとオレフィンを重合させて得られる重合体等の分岐構造のポリオレフィン構造を有する重合体、ならびに、その製造方法を提供する。
【解決手段】 式(1-A)で表される構造単位および式(1-B)で表される構成単位を含み、重量平均分子量(Mw)が20,000~1,000,000である、重合体。
lおよびmは、0.01≦l/(l+m)≦0.20を満たす整数を表し、nは1~3の整数を表す。R
1
およびR
2
は、それぞれ独立に、水素原子、または、置換基を有していてもよい炭素数1~20の炭化水素基を表す。Zは式(2)で表される構造を含む。式(2)中、R
3
~R
6
は、それぞれ独立に、水素原子、または、置換基を有していてもよい炭素数1~20の炭化水素基を表す。m個のZに含まれる、R
3
~R
6
の少なくとも1つは、置換基を有していてもよい炭素数2~20の炭化水素基である。
<com:Image com:imageContentCategory="Drawing"> <com:ImageFormatCategory>JPEG</com:ImageFormatCategory> <com:FileName>2025161621000047.jpg</com:FileName> <com:HeightMeasure com:measureUnitCode="Mm">36</com:HeightMeasure> <com:WidthMeasure com:measureUnitCode="Mm">170</com:WidthMeasure> </com:Image> 【選択図】 なし
特許請求の範囲
【請求項1】
式(1-A)で表される構造単位および式(1-B)で表される構成単位を含み、重量平均分子量(Mw)が20,000~1,000,000である、重合体。
JPEG
2025161621000032.jpg
35
170
(式(1-A)および式(1-B)中、lおよびmは、0.01≦l/(l+m)≦0.20を満たす整数を表し、nは1~3の整数を表す。R
1
およびR
2
は、それぞれ独立に、水素原子、または、置換基を有していてもよい炭素数1~20の炭化水素基を表す。隣接するR
1
とR
2
は、互いに結合して、環状構造を形成していてもよい。Zは式(2)で表される構造を含む。)
JPEG
2025161621000033.jpg
27
170
(式(2)中、R
3
~R
6
は、それぞれ独立に、水素原子、または、置換基を有していてもよい炭素数1~20の炭化水素基を表す。m個のZに含まれる、R
3
~R
6
の少なくとも1つは、置換基を有していてもよい炭素数2~20の炭化水素基である。)
続きを表示(約 1,900 文字)
【請求項2】
前記式(2)中、R
3
~R
6
のうち少なくとも1つは、置換基を有してもよい炭素数2~20の直鎖アルキル基、置換基を有してもよい炭素数3~20の分岐アルキル基、または、置換基を有してもよい炭素数3~20のシクロアルキル基である、請求項1に記載の重合体。
【請求項3】
前記式(1-A)で表される構成単位が、ラジカル重合性単量体に由来する、請求項1に記載の重合体。
【請求項4】
前記ラジカル重合性単量体が、エチレンおよび炭素数3~12のオレフィンからなる群より選択される少なくとも1種を含む、請求項3に記載の重合体。
【請求項5】
前記式(1-B)で表される構成単位が、環状ケテンアセタールに由来する、請求項1に記載の重合体。
【請求項6】
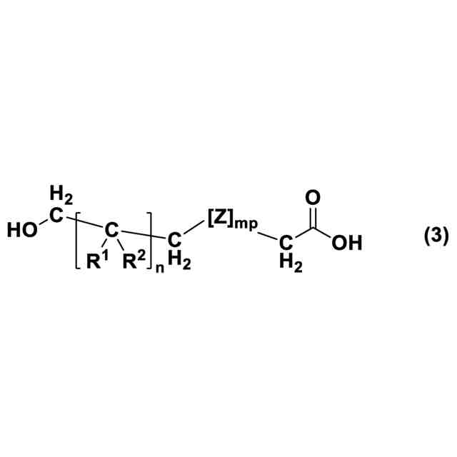
前記環状ケテンアセタールが、式(3)で表される、請求項5に記載の重合体。
JPEG
2025161621000034.jpg
35
170
(式(3)中、R
1
およびR
2
は、それぞれ独立に、水素原子、または、置換基を有していてもよい炭素数1~20の炭化水素基を表す。隣接するR
1
とR
2
は、互いに結合して、環状構造を形成していてもよい。nは1~3の整数を表す。)
【請求項7】
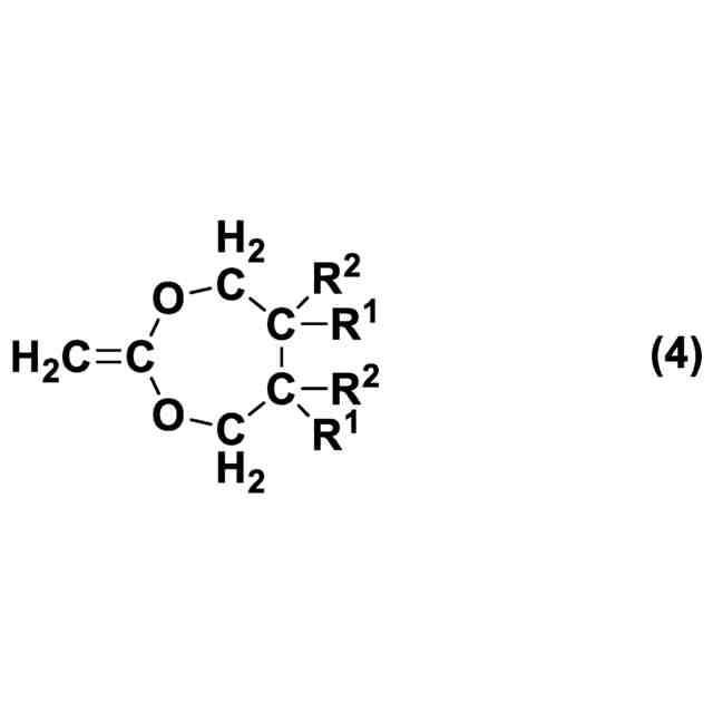
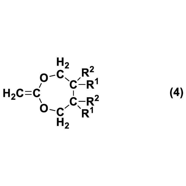
前記環状ケテンアセタールが、式(4)で表される、請求項5に記載の重合体。
JPEG
2025161621000035.jpg
46
170
(式(4)中、R
1
およびR
2
は、それぞれ独立に、水素原子、または、置換基を有していてもよい炭素数1~20の炭化水素基を表す。隣接するR
1
とR
2
は、互いに結合して、環状構造を形成していてもよい。)
【請求項8】
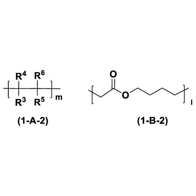
前記式(1-A)で表される構造単位および式(1-B)で表される構成単位が、それぞれ独立に、式(1-A-2)で表される構造単位および式(1-B-2)で表される構成単位である、請求項1に記載の重合体。
JPEG
2025161621000036.jpg
35
170
(式(1-A-1)および式(1-B-2)中、lおよびmは、0.01≦l/(l+m)≦0.20を満たす整数を表す。R
3
~R
6
は、それぞれ独立に、水素原子、または、置換基を有していてもよい炭素数1~20の炭化水素基を表す。m個のR
3
~R
6
の少なくとも1つは、置換基を有していてもよい炭素数2~20の炭化水素基である。)
【請求項9】
式(1-A)で表される構造単位および式(1-B)で表される構成単位を含む重合体の製造方法であって、少なくともラジカル重合性単量体と環状ケテンアセタールとを、ラジカル重合開始剤の存在下で、1MPa~20MPaの圧力下で加熱して重合させることを含む、重合体の製造方法。
JPEG
2025161621000037.jpg
35
170
(式(1-A)および式(1-B)中、lおよびmは、0.01≦l/(l+m)≦0.20を満たす整数を表し、nは1~3の整数を表す。R
1
およびR
2
は、それぞれ独立に、水素原子、または、置換基を有していてもよい炭素数1~20の炭化水素基を表す。隣接するR
1
とR
2
は、互いに結合して、環状構造を形成していてもよい。Zは式(2)で表される構造を含む。)
JPEG
2025161621000038.jpg
27
170
(式(2)中、R
3
~R
6
は、それぞれ独立に、水素原子、または、置換基を有していてもよい炭素数1~20の炭化水素基を表す。m個のZに含まれる、R
3
~R
6
の少なくとも1つは、置換基を有していてもよい炭素数2~20の炭化水素基である。)
【請求項10】
前記ラジカル重合性単量体が、エチレンおよび炭素数3~12のオレフィンからなる群より選択される少なくとも1種を含む、請求項9に記載の重合体の製造方法。
(【請求項11】以降は省略されています)
発明の詳細な説明
【技術分野】
【0001】
本発明は、重合体および重合体の製造方法に関する。
続きを表示(約 4,100 文字)
【背景技術】
【0002】
ポリエチレン等のポリオレフィン系重合体は耐候性、耐薬品性や力学物性に優れたポリマーであり、日常生活において多くのポリオレフィン系重合体を含む製品が使用されている。特に、ポリエチレン系重合体はその安定性と軽量性から、食品包材、電子部品包材や様々な日常生活品の包装材料などに使用され、我々の日常生活を豊かにしている。
【0003】
しかしながら、ポリエチレン系重合体はその安定性から物理的に可能な限り小さくしてもほとんど分解されることはない。このため、ポリエチレン系重合体を埋め立て処分した場合は、半永久的に地中に存在し続ける。また、ポリエチレン系重合体を投棄した場合、海洋ゴミとなり、海洋生物に悪影響を及ぼす可能性がある。
【0004】
そこで、廃棄物等に含まれるポリエチレン等のポリオレフィン系重合体を再利用するために、ポリオレフィン系重合体を分解して得た原料モノマーを再利用する、ケミカルリサイクル法が用いられている。
しかし、多くのポリオレフィン系重合体は、その分子量の大きさから、元の原料モノマーに分解するために膨大なエネルギーを必要とする。そこで、ケミカルリサイクル法の中でも、サーマルリサイクル法が用いられるが、この方法は、二酸化炭素の発生が不可避であり、環境負荷が大きいため、地球環境保全の観点において好ましい方法ではない。
【0005】
そこで、環境に負荷をかけることなくケミカルリサイクルすることが容易なポリオレフィン系重合体が提案されている。例えば、特許文献1~5および非特許文献1および2には、主鎖中にケテンアセタール由来の構造単位を含むポリオレフィン系重合体が開示されている。
【先行技術文献】
【特許文献】
【0006】
特開平04-081450号公報
特開昭58-015508号公報
特開平04-081450号公報
特表平06-504086号公報
米国特許第5281681号明細書
【非特許文献】
【0007】
iScience.,Volume23,Issue3,27/March/2020,100904
J.Environ.Polym.Degrad.,Volume6,p23-29(1998)
【発明の概要】
【発明が解決しようとする課題】
【0008】
ここで、上記文献に記載の明記されている主鎖中に環状ケテンアセタール由来の構造単位を含むポリオレフィン系重合体は、いずれも、明示されているポリオレフィンが直鎖構造である。重合体の成形性等を向上させるためには、ポリオレフィン鎖が分岐構造である重合体が望まれる。
一方、本発明者らが検討を行ったところ、上記文献に記載の方法では、いずれも、超高圧で原料を重合させていることが分かった。環状ケテンアセタールとエチレンを超高圧で重合させ、直鎖構造のポリエチレンが得られることは記載されているものの、分岐構造については何ら言及されていなかった。
本発明は、かかる状況のもと、例えば、環状ケテンアセタールとオレフィンを重合させて得られる重合体であって、分岐構造のポリオレフィン構造を有する重合体のような、分岐構造を有する重合体、ならびに、その製造方法を提供することを目的とする。
【課題を解決するための手段】
【0009】
上記課題のもと、本発明者が検討を行った結果、ラジカル重合性単量体と環状ケテンアセタールとを、ラジカル重合開始剤の存在下で、1MPa~20MPaの圧力下で加熱することにより、上記課題を解決しうることを見出した。
具体的には、下記手段により、上記課題は解決された。
[1]式(1-A)で表される構造単位および式(1-B)で表される構成単位を含み、重量平均分子量(Mw)が20,000~1,000,000である、重合体。
JPEG
2025161621000001.jpg
35
170
(式(1-A)および式(1-B)中、lおよびmは、0.01≦l/(l+m)≦0.20を満たす整数を表し、nは1~3の整数を表す。R
1
およびR
2
は、それぞれ独立に、水素原子、または、置換基を有していてもよい炭素数1~20の炭化水素基を表す。隣接するR
1
とR
2
は、互いに結合して、環状構造を形成していてもよい。Zは式(2)で表される構造を含む。)
JPEG
2025161621000002.jpg
27
170
(式(2)中、R
3
~R
6
は、それぞれ独立に、水素原子、または、置換基を有していてもよい炭素数1~20の炭化水素基を表す。m個のZに含まれる、R
3
~R
6
の少なくとも1つは、置換基を有していてもよい炭素数2~20の炭化水素基である。)
[2]前記式(2)中、R
3
~R
6
のうち少なくとも1つは、置換基を有してもよい炭素数2~20の直鎖アルキル基、置換基を有してもよい炭素数3~20の分岐アルキル基、または、置換基を有してもよい炭素数3~20のシクロアルキル基である、[1]に記載の重合体。
[3]前記式(1-A)で表される構成単位が、ラジカル重合性単量体に由来する、[1]または[2]に記載の重合体。
[4]前記ラジカル重合性単量体が、エチレンおよび炭素数3~12のオレフィンからなる群より選択される少なくとも1種を含む、[3]に記載の重合体。
[5]前記式(1-B)で表される構成単位が、環状ケテンアセタールに由来する、[1]~[4]のいずれか1つに記載の重合体。
[6]前記環状ケテンアセタールが、式(3)で表される、[5]に記載の重合体。
JPEG
2025161621000003.jpg
35
170
(式(3)中、R
1
およびR
2
は、それぞれ独立に、水素原子、または、置換基を有していてもよい炭素数1~20の炭化水素基を表す。隣接するR
1
とR
2
は、互いに結合して、環状構造を形成していてもよい。nは1~3の整数を表す。)
[7]前記環状ケテンアセタールが、式(4)で表される、[5]に記載の重合体。
JPEG
2025161621000004.jpg
46
170
(式(4)中、R
1
およびR
2
は、それぞれ独立に、水素原子、または、置換基を有していてもよい炭素数1~20の炭化水素基を表す。隣接するR
1
とR
2
は、互いに結合して、環状構造を形成していてもよい。)
[8]前記式(1-A)で表される構造単位および式(1-B)で表される構成単位が、それぞれ独立に、式(1-A-2)で表される構造単位および式(1-B-2)で表される構成単位である、[1]~[7]のいずれか1つに記載の重合体。
JPEG
2025161621000005.jpg
35
170
(式(1-A-1)および式(1-B-2)中、lおよびmは、0.01≦l/(l+m)≦0.20を満たす整数を表す。R
3
~R
6
は、それぞれ独立に、水素原子、または、置換基を有していてもよい炭素数1~20の炭化水素基を表す。m個のR
3
~R
6
の少なくとも1つは、置換基を有していてもよい炭素数2~20の炭化水素基である。)
[9]式(1-A)で表される構造単位および式(1-B)で表される構成単位を含む重合体の製造方法であって、少なくともラジカル重合性単量体と環状ケテンアセタールとを、ラジカル重合開始剤の存在下で、1MPa~20MPaの圧力下で加熱して重合させることを含む、重合体の製造方法。
JPEG
2025161621000006.jpg
35
170
(式(1-A)および式(1-B)中、lおよびmは、0.01≦l/(l+m)≦0.20を満たす整数を表し、nは1~3の整数を表す。R
1
およびR
2
は、それぞれ独立に、水素原子、または、置換基を有していてもよい炭素数1~20の炭化水素基を表す。隣接するR
1
とR
2
は、互いに結合して、環状構造を形成していてもよい。Zは式(2)で表される構造を含む。)
JPEG
2025161621000007.jpg
27
170
(式(2)中、R
3
~R
6
は、それぞれ独立に、水素原子、または、置換基を有していてもよい炭素数1~20の炭化水素基を表す。m個のZに含まれる、R
3
~R
【発明の効果】
【0010】
本発明により、分岐構造を有する重合体およびその製造方法を提供可能になった。
例えば、環状ケテンアセタールとオレフィンを重合させて得られる重合体であって、分岐構造のポリオレフィン構造を有する重合体、ならびに、その製造方法を提供可能になった。
【発明を実施するための形態】
(【0011】以降は省略されています)
この特許をJ-PlatPat(特許庁公式サイト)で参照する
関連特許
三菱ケミカル株式会社
積層体
3日前
三菱ケミカル株式会社
包装体
5日前
三菱ケミカル株式会社
重合体および重合体の製造方法
1か月前
三菱ケミカル株式会社
硬化性組成物及びポリウレタン
1か月前
三菱ケミカル株式会社
共重合体及び熱硬化性樹脂組成物
1か月前
三菱ケミカル株式会社
モーター用絶縁フィルム及びモーター
18日前
三菱ケミカル株式会社
樹脂組成物、ペレット、および、成形品
18日前
三菱ケミカル株式会社
樹脂組成物、ペレット、および、成形品
18日前
三菱ケミカル株式会社
触媒およびそれを用いるメタノールの製造方法
18日前
三菱ケミカル株式会社
樹脂組成物及びその成形品並びに透明樹脂改質剤
1か月前
三菱ケミカル株式会社
吸放湿性を有する高分子組成物、及び、調湿材料
3日前
三菱ケミカル株式会社
熱電変換材料、熱電変換モジュール、および熱流センサ
1か月前
三菱ケミカル株式会社
活性エネルギー線硬化性剥離型粘着剤組成物および粘着シート
1か月前
三菱ケミカル株式会社
オリゴマー、オリゴマーの製造方法、および、重合体の製造方法
4日前
三菱ケミカル株式会社
画像表示用導光板
10日前
三菱ケミカル株式会社
包装材用フィルム、包装材、積層体及び包装材用フィルムの製造方法
10日前
三菱ケミカル株式会社
粘着剤用樹脂組成物
3日前
三菱ケミカル株式会社
非水系電解液二次電池
3日前
三菱ケミカル株式会社
コーティング組成物、コーティング層を有する構造体、及びその製造方法
1か月前
国立大学法人 東京大学
熱電変換材料、熱電変換モジュール、および熱流センサ
1か月前
三菱ケミカル株式会社
シリカゾルの製造方法及び研磨方法
24日前
三菱ケミカル株式会社
ポリエステルフィルム、及びその製造方法
24日前
三菱ケミカル株式会社
ポリエステルフィルム、及びその製造方法
24日前
三菱ケミカル株式会社
ポリエステルフィルム、及びその製造方法
24日前
公立大学法人北九州市立大学
有機化合物含有高分子粒子の製造方法及び希土類元素分離精製方法
5日前
三菱ケミカル株式会社
シートモールディングコンパウンドの製造方法およびシートモールディングコンパウンド製造装置
18日前
三菱ケミカル株式会社
テレフタル酸と1,4-ブタンジオールの組成物とそれを用いたポリブチレンテレフタレートの製造方法
4日前
三菱ケミカル株式会社
自己組織化炭素繊維束及びその製造方法と、プリプレグ及びその製造方法
26日前
三菱ケミカル株式会社
金属積層用フィルム、フィルム箔、電池集電体用フィルム箔、及び電池集電体
10日前
三菱ケミカル株式会社
テレフタル酸と1,4-ブタンジオールのスラリー組成物及びその製造方法とそれを用いたポリブチレンテレフタレートの製造方法
1か月前
三菱ケミカル株式会社
触媒、触媒の製造方法、並びにα,β-不飽和アルデヒド、α,β-不飽和カルボン酸、及びα,β-不飽和カルボン酸エステルの製造方法
20日前
株式会社カネカ
断熱材
1か月前
東ソー株式会社
ペレット
1か月前
ユニチカ株式会社
透明シート
2か月前
ユニチカ株式会社
透明シート
3か月前
株式会社コバヤシ
成形体
2か月前
続きを見る
他の特許を見る