TOP
|
特許
|
意匠
|
商標
特許ウォッチ
Twitter
他の特許を見る
10個以上の画像は省略されています。
公開番号
2025160961
公報種別
公開特許公報(A)
公開日
2025-10-24
出願番号
2024063732
出願日
2024-04-11
発明の名称
がん関連アミノ酸輸送体ASCTの機能を測定するための検査薬
出願人
国立大学法人金沢大学
代理人
個人
,
個人
,
個人
,
個人
,
個人
主分類
C07C
237/04 20060101AFI20251017BHJP(有機化学)
要約
【課題】ASCTの機能測定及びがん細胞検出に利用可能な化合物、並びに前記化合物を含む、ASCTの機能を測定するための検査薬及びがん細胞検出薬の提供。
【解決手段】一般式(1)で表される化合物又はその薬学的に許容される塩。また、前記化合物又はその薬学的に許容される塩を含む、ASCTの機能を測定するための検査薬。また、前記化合物又はその薬学的に許容される塩を含む、がん細胞検出薬。式(1)中、Xは放射性核種を表し、Arは置換基を有してもよい芳香族炭化水素基を表し、R
1
~R
4
は、それぞれ独立に、水素原子又は炭素原子数1~5のアルキル基を表し、n1は1~3の整数を表す。
[化1]
<com:Image com:imageContentCategory="Drawing"> <com:ImageFormatCategory>TIFF</com:ImageFormatCategory> <com:FileName>2025160961000016.tif</com:FileName> <com:HeightMeasure com:measureUnitCode="Mm">37</com:HeightMeasure> <com:WidthMeasure com:measureUnitCode="Mm">170</com:WidthMeasure> </com:Image> 【選択図】なし
特許請求の範囲
【請求項1】
下記一般式(1)で表される化合物又はその薬学的に許容される塩。
TIFF
2025160961000013.tif
37
170
[式中、Xは放射性核種を表す。Arは置換基を有してもよい芳香族炭化水素基を表す。R
1
~R
4
は、それぞれ独立に、水素原子又は炭素原子数1~5のアルキル基を表す。n1は1~3の整数を表す。]
続きを表示(約 890 文字)
【請求項2】
前記一般式(1)で表される化合物が下記一般式(2)で表される化合物である、請求項1に記載の化合物又はその薬学的に許容される塩。
TIFF
2025160961000014.tif
52
170
[式中、Xは放射性核種を表す。R
1
~R
4
は、それぞれ独立に、水素原子又は炭素原子数1~5のアルキル基を表す。R
5
は放射性核種以外の置換基を表す。n1は1~3の整数を表し、n2は0~4の整数を表し、n1+n2≦5である。]
【請求項3】
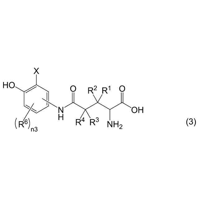
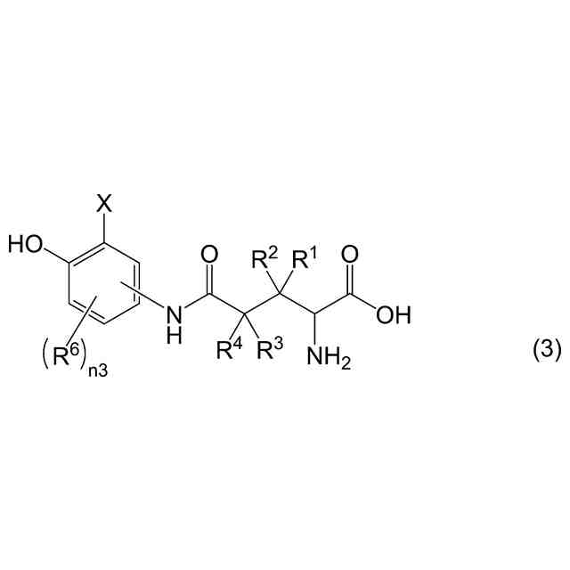
前記一般式(2)で表される化合物が下記一般式(3)で表される化合物である、請求項2に記載の化合物又はその薬学的に許容される塩。
TIFF
2025160961000015.tif
52
170
[式中、Xは放射性核種を表す。R
1
~R
4
は、それぞれ独立に、水素原子又は炭素原子数1~5のアルキル基を表す。R
6
は炭素原子数1~5のアルキル基を表す。n3は0~3の整数を表す。]
【請求項4】
前記一般式(1)中のXが、放射性ハロゲンである、請求項1に記載の化合物又はその薬学的に許容される塩。
【請求項5】
請求項1~4のいずれか一項に記載の化合物又はその薬学的に許容される塩を含む、ASCTの機能を測定するための検査薬。
【請求項6】
ASCTを介した細胞内へのアミノ酸輸送を測定するための検査薬である、請求項5に記載の検査薬。
【請求項7】
請求項1~4のいずれか一項に記載の化合物又はその薬学的に許容される塩を含む、がん細胞検出薬。
【請求項8】
前記がん細胞が、ASCTを発現しているがん細胞である、請求項7に記載のがん細胞検出薬。
【請求項9】
がんの核医学画像診断薬である、請求項7に記載のがん細胞検出薬。
発明の詳細な説明
【技術分野】
【0001】
本発明は、がん関連アミノ酸輸送体ASCTの機能を測定するための検査薬に関する。また、がん細胞検出薬及び化合物に関する。
続きを表示(約 2,300 文字)
【背景技術】
【0002】
がんの画像診断薬として、がん細胞に特異的に取り込まれる放射性化合物が利用されている。がん細胞は、正常細胞と比較して、細胞増殖を盛んに行うため、多くのエネルギーを必要とする。エネルギー産生に重要な栄養素の1つがグルコースである。グルコース誘導体である2-deoxy-2-[
18
F]fluoro-D-glucose(
18
F-FDG)を用いたPositron emission tomography(PET)が、臨床画像検査として行われている。
18
F-FDG PET検査は、全身のがんを一度に検出できるため、がん検診としても使用されている。しかしながら、
18
F-FDGは、脳、腎臓及び膀胱等の正常組織に集積するため、これらの組織に生じるがんを
18
F-FDGを用いて検出することは困難である。
【0003】
一方、アミノ酸は、がん細胞の増殖において、グルコースと同様に重要な栄養素である。がん細胞におけるアミノ酸の取り込みに関し、がん細胞において特異的に高発現するがん関連アミノ酸輸送体が存在する。がん関連アミノ酸輸送体の種類としては、LAT1/3、ASCT2、xCT、ATB
0,+
等が報告されている(非特許文献1)。主に、LAT1/3を標的としたがんの核医学画像診断薬として、チロシン類縁体、及びメチオニン類縁体等を利用した放射性化合物が報告されている(非特許文献2、3)。また、LAT1/3及びASCT2等の複数のがん関連アミノ酸輸送体を標的としたがん核医学画像診断薬が報告されている(非特許文献4)。
【先行技術文献】
【非特許文献】
【0004】
Lieu EL, Nguyen T, Rhyne S, et al. Amino acids in cancer. Exp Mol Med. 2020;52(1):15-30.
Shikano N, Ogura M, Okudaira H, et al. Uptake of 3-[125I]iodo-α-methyl-l-tyrosine into colon cancer DLD-1 cells: characterization and inhibitory effect of natural amino acids and amino acid-like drugs. Nucl Med Biol. 2010;37(2):197-204.
Kobayashi M, Hashimoto F, Ohe K, et al. Transport mechanism of 11C-labeled L- and D-methionine in human-derived tumor cells. Nucl Med Biol. 2012;39(8):1213-8.
Okudaira et al. Putative Transport Mechanism and Intracellular Fate of Trans-1-Amino-3-18F-Fluorocyclobutanecarboxylic Acid in Human Prostate Cancer. J Nucl Med. 2011 May;52(5):822-9.
【発明の概要】
【発明が解決しようとする課題】
【0005】
LAT1/3を主な標的とするがん画像診断薬では、LAT1/3を発現していないがん細胞を検出することは難しい。複数のがん関連アミノ酸輸送体を標的とするがん画像診断薬では、がん細胞において発現しているがん関連アミノ酸輸送体を特定することが難しい。がん関連アミノ酸輸送体であるASCTは、がん細胞の増殖に寄与していると考えられる。そのため、ASCTを特異的に標的とする検査薬等の開発が望まれる。
【0006】
そこで、本発明は、がん関連アミノ酸輸送体としてASCTを特異的に標的とし得る化合物、並びに前記化合物を含む、ASCTの機能を測定するための検査薬及びがん細胞検出薬を提供することを目的とする。
【課題を解決するための手段】
【0007】
本発明は以下の態様を含む。
[1]下記一般式(1)で表される化合物又はその薬学的に許容される塩。
【0008】
TIFF
2025160961000001.tif
37
170
[式中、Xは放射性核種を表す。Arは置換基を有してもよい芳香族炭化水素基を表す。R1~R4は、それぞれ独立に、水素原子又は炭素原子数1~5のアルキル基を表す。n1は1~3の整数を表す。]
【0009】
[2]前記一般式(1)で表される化合物が下記一般式(2)で表される化合物である、[1]に記載の化合物又はその薬学的に許容される塩。
【0010】
TIFF
2025160961000002.tif
52
170
[式中、Xは放射性核種を表す。R1~R4は、それぞれ独立に、水素原子又は炭素原子数1~5のアルキル基を表す。R5は放射性核種以外の置換基を表す。n1は1~3の整数を表し、n2は0~4の整数を表し、n1+n2≦5である。]
(【0011】以降は省略されています)
この特許をJ-PlatPat(特許庁公式サイト)で参照する
関連特許
国立大学法人金沢大学
燃料電池システム
1か月前
国立大学法人金沢大学
微粒子の製造装置
2か月前
国立大学法人金沢大学
腫瘍治療用医薬組成物
2か月前
国立大学法人金沢大学
聴覚器官用の状態評価装置
16日前
国立大学法人金沢大学
双性イオンを含む植物成長抑制剤
26日前
国立大学法人金沢大学
金属錯体及び金属錯体の製造方法
2か月前
国立大学法人金沢大学
パターニングされた酸化物膜の形成方法
22日前
国立大学法人金沢大学
情報処理システム、合成装置、情報処理方法及びプログラム
1か月前
国立大学法人金沢大学
がん関連アミノ酸輸送体ASCTの機能を測定するための検査薬
1日前
国立大学法人金沢大学
点滅領域検出方法、プログラム、点滅領域検出装置、及び自律移動体
1か月前
石川県
姿勢保持具、移乗器具、支持用ベルト、及び、支持ベルトの設置方法
1か月前
国立大学法人金沢大学
薄膜デバイス、薄膜デバイスモジュール、電極付き封止材及び薄膜デバイスの製造方法
2か月前
学校法人東海大学
トランスフェリンレセプターを認識する物質を含む治療剤の用法用量
1日前
国立大学法人金沢大学
ペロブスカイト膜、薄膜太陽電池、ペロブスカイト膜の製造方法及び薄膜太陽電池の製造方法
2か月前
東ソー株式会社
タンパク質の発現方法
1か月前
株式会社半導体エネルギー研究所
有機化合物
2か月前
栗田工業株式会社
ギ酸の回収方法
18日前
東ソー株式会社
イソシアネート化合物の製造方法
1か月前
株式会社トクヤマ
チオラクトン誘導体の製造方法
26日前
株式会社トクヤマ
ホルムアミド化合物の製造方法
2か月前
国立大学法人東京農工大学
深共晶溶媒
2か月前
本田技研工業株式会社
CO2変換方法
22日前
大阪瓦斯株式会社
メタン製造システム
22日前
三菱ケミカル株式会社
アルコールの製造方法
1か月前
キヤノン株式会社
有機化合物及び有機発光素子
26日前
JNC株式会社
有機ケイ素化合物およびこれを用いた重合体
1か月前
株式会社トクヤマ
アシル化ベンゼン誘導体の酸塩の製造方法
2か月前
東ソー株式会社
免疫グロブリン結合性タンパク質の製造方法
1か月前
キヤノン株式会社
有機金属錯体及び有機発光素子
22日前
個人
IL-17産生誘導能を有する化合物及びその用途
23日前
株式会社半導体エネルギー研究所
有機金属錯体、発光デバイス
2か月前
デンカ株式会社
有機酸又はその塩の製造方法
1か月前
国立大学法人京都大学
抗がん剤
2か月前
株式会社 MTG
ツバキ科ツバキ属の若葉からのエラグ酸製造方法
1か月前
株式会社成和化成
アスコルビン酸誘導体又はその塩及びその化粧料
8日前
岐阜市
化合物、アジュバント組成物および医薬組成物
23日前
続きを見る
他の特許を見る