TOP
|
特許
|
意匠
|
商標
特許ウォッチ
Twitter
他の特許を見る
10個以上の画像は省略されています。
公開番号
2025150875
公報種別
公開特許公報(A)
公開日
2025-10-09
出願番号
2024052019
出願日
2024-03-27
発明の名称
聴覚器官用の状態評価装置
出願人
国立大学法人金沢大学
代理人
弁理士法人平和国際特許事務所
主分類
A61B
5/12 20060101AFI20251002BHJP(医学または獣医学;衛生学)
要約
【課題】聴覚器官の状態を適切に評価する。
【解決手段】聴覚器官用の状態評価装置40は、被験者200の聴覚器官のインピーダンスを示す被験者200の外耳道210内に向けて刺激音を出力したときに外耳道210内の圧力変動として計測される音圧レベルの周波数特性に関する情報を取得するデータ取得部42と、周波数特性に関する情報が入力されたときに聴覚器官の状態に関する情報を出力するように構成された機械学習により作成された学習済みモデル43を含む状態情報算出部44と、被験者200に係る周波数特性に応じて状態情報算出部44の出力に関する情報に基づいて、被験者200の聴覚器官の状態に関する情報を作成する後処理部45と、後処理部45が作成した情報を出力する出力部46とを備える。
【選択図】図2
特許請求の範囲
【請求項1】
被験者の聴覚器官のインピーダンスを示す前記被験者の外耳道内に向けて刺激音を出力したときに前記外耳道内の圧力変動として計測される音圧レベルの周波数特性に関する情報を取得するデータ取得部と、
前記周波数特性に関する情報が入力されたときに聴覚器官の状態に関する情報を出力するように構成された機械学習により作成された学習済みモデルを含む状態情報算出部と、
前記被験者に係る前記周波数特性に応じて前記状態情報算出部の出力に関する情報に基づいて、前記被験者の聴覚器官の状態に関する情報を作成する後処理部と、
前記後処理部が作成した情報を出力する出力部と
を備える聴覚器官用の状態評価装置。
続きを表示(約 1,000 文字)
【請求項2】
前記データ取得部は、前記周波数特性の特徴量に関する情報を取得するように構成されており、
前記状態情報算出部には、前記特徴量に関する情報が入力されるように構成されている、
請求項1に記載の状態評価装置。
【請求項3】
前記状態情報算出部は、中耳の状態が異なる各集団との前記特徴量を変量とするマハラノビス距離の算出に関する処理を行うように構成されている、請求項2に記載の状態評価装置。
【請求項4】
前記状態情報算出部は、前記マハラノビス距離を用いて、前記被験者の中耳が所定の状態である確率に関する指数を算出するように構成されている、請求項3に記載の状態評価装置。
【請求項5】
前記状態情報算出部は、前記所定の状態である確率に関する指数に基づいて、当該所定の状態であるか否かを判別するように構成されている、請求項4に記載の状態評価装置。
【請求項6】
前記学習済みモデルは、サポートベクターマシンを用いて構成されている、請求項2に記載の状態評価装置。
【請求項7】
前記状態情報算出部は、前記特徴量に関する情報に対して主成分分析を行い、前記主成分分析の結果を前記学習済みモデルに入力するように構成されている、請求項6に記載の状態評価装置。
【請求項8】
前記状態情報算出部は、2クラスサポートベクターマシンを用いて、前記被験者の中耳が所定の状態であるか否かを判別するように構成されている、請求項6に記載の状態評価装置。
【請求項9】
前記特徴量は、前記被験者において計測された前記音圧レベルの周波数特性を示すSPLカーブの極小値と、極大値と、前記極小値を示す周波数と前記極大値を示す周波数とから求まる中耳の共振に関する周波数であるRFと、前記極小値と前記極大値との差から求まるΔSPLと、前記極小値、前記極大値、前記RF又は前記ΔSPLの外耳道内の静圧に応じた変化に基づく値とのうち少なくとも何れかに関する値を含む、請求項2乃至8の何れかに記載の状態評価装置。
【請求項10】
前記聴覚器官の状態に関する情報は、前記被験者の中耳に関して、正常、耳小骨の固着、耳小骨の離断、中耳炎、鼓膜の菲薄化、鼓膜の接着に関する情報のうち少なくとも何れかを含む、請求項1乃至8の何れかに記載の状態評価装置。
(【請求項11】以降は省略されています)
発明の詳細な説明
【技術分野】
【0001】
本発明は、聴覚器官用の状態評価装置に関し、特に非侵襲的な中耳の状態評価のための装置等に関する。
続きを表示(約 3,800 文字)
【背景技術】
【0002】
非侵襲的に中耳状態を検査する種々の方法が知られている。ティンパノメトリもそのような方法の一つである。ティンパノメトリは、特に滲出性中耳炎の検査では有効であることが知られている。例えば特許文献1には、ティンパノメトリ等に用いられ得るイヤープローブに係る技術が開示されている。中耳疾患には、滲出性中耳炎に限らず、耳小骨連鎖の固着や離断など様々ある。様々な状態であり得る中耳を含む聴覚器官の状態を非侵襲的に適切に把握したいという要求がある。
【先行技術文献】
【特許文献】
【0003】
特開2023-108617号公報
【発明の概要】
【発明が解決しようとする課題】
【0004】
本発明は、聴覚器官の状態を適切に評価することを目的とする。
【課題を解決するための手段】
【0005】
本発明の一態様によれば、聴覚器官用の状態評価装置は、被験者の聴覚器官のインピーダンスを示す前記被験者の外耳道内に向けて刺激音を出力したときに前記外耳道内の圧力変動として計測される音圧レベルの周波数特性に関する情報を取得するデータ取得部と、前記周波数特性に関する情報が入力されたときに聴覚器官の状態に関する情報を出力するように構成された機械学習により作成された学習済みモデルを含む状態情報算出部と、前記被験者に係る前記周波数特性に応じて前記状態情報算出部の出力に関する情報に基づいて、前記被験者の聴覚器官の状態に関する情報を作成する後処理部と、前記後処理部が作成した情報を出力する出力部とを備える。
【発明の効果】
【0006】
本発明によれば、聴覚器官の状態を適切に評価できる。
【図面の簡単な説明】
【0007】
図1は、一実施形態に係る聴覚器官用の状態評価システムの構成例の概略を示す模式図である。
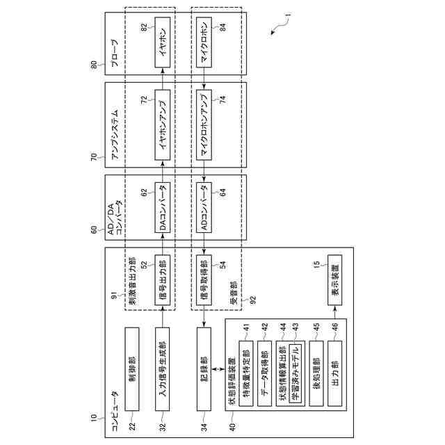
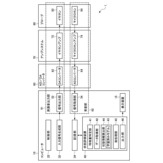
図2は、一実施形態に係る聴覚器官用の状態評価システムの構成例の概略を示す機能ブロック図である。
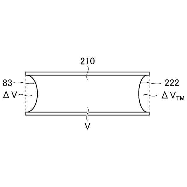
図3Aは、外耳道内の音圧について説明するための図である。
図3Bは、外耳道内の音圧について説明するための図である。
図4は、成人を被験者として、状態評価システムを用いて取得される音圧レベルの周波数特性の測定結果の一例である。
図5は、一実施形態に係る中耳の状態の判別方法の一例の概略を示すフローチャートである。
図6は、一実施形態に係る中耳特性の計測に係るコンピュータの動作の一例の概略を示すフローチャートである。
図7は、一実施形態に係る特徴量の自動特定方法の一例の概略を示すフローチャートである。
図8Aは、局所的な最小値及び最大値が明瞭なSPLカーブの例に関する特徴量の自動特定結果の一例である。
図8Bは、局所的な最小値及び最大値が明瞭なSPLカーブの例に関する特徴量の自動特定結果の一例である。
図9Aは、局所的な最小値及び最大値が不明瞭なSPLカーブの例に関する特徴量の自動特定結果の一例である。
図9Bは、局所的な最小値及び最大値が不明瞭なSPLカーブの例に関する特徴量の自動特定結果の一例である。
図10Aは、何れの極小値及び極大値が中耳の特性を表しているかを手動で選択していたSPLカーブの例に関する特徴量の自動特定結果の一例である。
図10Bは、何れの極小値及び極大値が中耳の特性を表しているかを手動で選択していたSPLカーブの例に関する特徴量の自動特定結果の一例である。
図11は、一実施形態に係る中耳の状態の判別に係る処理の概略を示すフローチャートである。
図12は、マハラノビス距離の一例について説明するための概念図である。
図13は、一実施形態に係るマハラノビス距離の算出に関する処理を行う状態情報算出部の構成例の概略を示す機能ブロック図である。
図14は、マハラノビス距離を利用した一実施形態に係る状態評価装置の動作の一例の概略を示すフローチャートである。
図15Aは、中耳の状態が固着、正常又は離断であることが既知の特徴量から、マハラノビス距離を利用した一実施形態に係る状態評価装置で得られた中耳状態が固着である確率に関する指数P
F
の一例を示す図である。
図15Bは、図15Aに示した算出結果に関して、固着であると判定するための閾値を変化させた場合にそれぞれ得られる、感度、特異度、精度を示す図である。
図15Cは、図15Bに示した感度と特異度との関係を示したROC曲線である。
図16Aは、中耳の状態が固着、正常又は離断であることが既知の特徴量から、マハラノビス距離を利用した一実施形態に係る状態評価装置で得られた中耳状態が離断である確率に関する指数P
S
の一例を示す図である。
図16Bは、図16Aに示した算出結果に関して、離断であると判定するための閾値を変化させた場合にそれぞれ得られる、感度、特異度、精度を示す図である。
図16Cは、図16Bに示した感度と特異度との関係を示したROC曲線である。
図17Aは、比較例として、中耳の状態が固着、正常又は離断であることが既知の被験者に対するティンパノメトリで得られたスタティックコンプライアンスの一例を示す図である。
図17Bは、図17Aに示した計測結果に関して、固着であると判定するための閾値を変化させた場合にそれぞれ得られる、感度、特異度、精度を示す図である。
図17Cは、図17Bに示した感度と特異度との関係を示したROC曲線である。
図17Dは、図17Aに示した計測結果に関して、離断であると判定するための閾値を変化させた場合にそれぞれ得られる、感度、特異度、精度を示す図である。
図17Eは、図17Dに示した感度と特異度との関係を示したROC曲線である。
図18は、一実施形態に係る主成分分析及びサポートベクターマシン(SVM)を用いた状態情報算出部の構成例の概略を示す機能ブロック図である。
図19は、SVMを利用した一実施形態に係る状態評価装置の動作の一例の概略を示すフローチャートである。
図20は、固着、離断、正常のそれぞれのデータについて、主成分分析による第一主成分及び第二主成分についてプロットした一例を示す図である。
図21は、図20に示した主成分分析で得られた第一主成分及び第二主成分のそれぞれの因子負荷量を示した図である。
図22は、SVMによる「離断vs.固着及び正常」の2分類タスクの検証の一例である。
図23は、比較例として、中耳の状態が固着、正常又は離断であることが既知の被験者に対するティンパノメトリで得られたピーク圧(TPP)及びスタティックコンプライアンス(SC)についてプロットした一例を示す図である。
図24は、変形例に係る聴覚器官用の状態評価システムの構成例の概略を示す機能ブロック図である。
【発明を実施するための形態】
【0008】
一実施形態について図面を参照して説明する。本実施形態は、聴覚器官の特性を測定し、聴覚器官の状態を明らかにするためのシステムに関する。本聴覚器官用の状態評価システムは、非侵襲的に測定を行うことができる。本状態評価システムは、被験者の外耳道内に向けて刺激音を出力し、そのときの外耳道内の圧力変動を取得する。本状態評価システムは、この圧力変動を解析することで、被験者の聴覚器官の特性を解析し、聴覚器官の状態を明らかにするように構成されている。本状態評価システムは、特に、聴覚器官のインピーダンスに係る情報を取得できる。このインピーダンスは、特に中耳系の動特性を反映する。得られたインピーダンスに係る情報に基づいて、聴覚器官、特に中耳の状態が評価され得る。例えば、耳小骨連鎖の固着や離断の有無、滲出性中耳炎を含む中耳炎の有無、鼓膜の菲薄化や接着の有無、中耳の奇形の有無などが判別され得る。得られた情報は、中耳の伝音特性に関する評価、中耳疾患や伝音難聴の診断等に用いられ得る。すなわち、この状態評価システムは、聴覚器官のための診断装置として機能し得る。
【0009】
[装置構成]
図1は、本実施形態に係る聴覚器官用の状態評価システム1の構成例の概略を示す模式図である。図2は、本実施形態に係る聴覚器官用の状態評価システム1の構成例の概略を示す機能ブロック図である。図1に示すように、状態評価システム1は、コンピュータ10と、AD/DAコンバータ60と、アンプシステム70と、プローブ80とを備える。
【0010】
プローブ80は、その先端が、被験者200の外耳道210に挿入されるように構成されている。プローブ80は、外耳道210に向けて刺激音を出力するためのイヤホン82と、外耳道210内の圧力変動を取得するためのマイクロホン84とを備える。
(【0011】以降は省略されています)
この特許をJ-PlatPat(特許庁公式サイト)で参照する
関連特許
個人
貼付剤
1日前
個人
短下肢装具
3か月前
個人
嚥下鍛錬装置
3か月前
個人
排尿補助器具
14日前
個人
前腕誘導装置
3か月前
個人
ウォート指圧法
12日前
個人
歯の修復用材料
4か月前
個人
汚れ防止シート
29日前
個人
ホバーアイロン
6か月前
個人
バッグ式オムツ
4か月前
個人
アイマスク装置
2か月前
個人
腰ベルト
4日前
個人
胸骨圧迫補助具
1か月前
個人
矯正椅子
5か月前
個人
歯の保護用シール
5か月前
個人
湿布連続貼り機。
2か月前
個人
陣痛緩和具
3か月前
個人
哺乳瓶冷まし容器
3か月前
個人
シャンプー
6か月前
個人
エア誘導コルセット
1か月前
株式会社大野
骨壷
3か月前
株式会社コーセー
化粧料
11日前
個人
性行為補助具
2か月前
個人
治療用酸化防御装置
1か月前
株式会社八光
剥離吸引管
4か月前
株式会社ニデック
眼科装置
4か月前
株式会社GSユアサ
歩行器
5か月前
個人
手指運動ツール
2か月前
株式会社松風
口腔用組成物
3か月前
個人
形見の製造方法
4か月前
株式会社ニデック
眼科装置
18日前
株式会社ニデック
眼科装置
1か月前
株式会社ダリヤ
毛髪化粧料
1か月前
個人
精力増強キット
1か月前
株式会社ニデック
眼科装置
1か月前
株式会社ニデック
検眼装置
3か月前
続きを見る
他の特許を見る