TOP
|
特許
|
意匠
|
商標
特許ウォッチ
Twitter
他の特許を見る
10個以上の画像は省略されています。
公開番号
2025159705
公報種別
公開特許公報(A)
公開日
2025-10-21
出願番号
2025036323
出願日
2025-03-07
発明の名称
液晶材料、薄膜、及び有機エレクトロルミネッセンスデバイス
出願人
株式会社カネカ
代理人
個人
,
個人
主分類
H10K
50/11 20230101AFI20251014BHJP()
要約
【課題】直線偏光又は円偏光発光性有機エレクトロルミネッセンスデバイスを構成するのに好適な液晶材料を提供する。
【解決手段】本発明に係る液晶材料は、所定のトリカルバゾール構造を有する化合物を含み、25℃において、(i)ネマチック液晶相又はキラルネマチック液晶相を呈する;又は、(ii)ネマチック液晶相又はキラルネマチック液晶相を反映した分子配向性を有し、かつ、ガラス状態を発現する;の条件を満たす。
【選択図】図1
特許請求の範囲
【請求項1】
下記式(1)の構造を有する化合物を2種以上含む液晶材料であって、
25℃において下記(i)又は(ii):
(i)ネマチック液晶相又はキラルネマチック液晶相を呈する;
(ii)ネマチック液晶相又はキラルネマチック液晶相を反映した分子配向性を有し、かつ、ガラス状態を発現する;
の条件を満たす、液晶材料。
TIFF
2025159705000036.tif
37
134
[式中、R
1
は-(CH
2
)
n
CH
3
で表される基を示し、nは0以上の整数を示す。R
2
は下記式(4)又は(5)で表される基を示す。]
TIFF
2025159705000037.tif
43
134
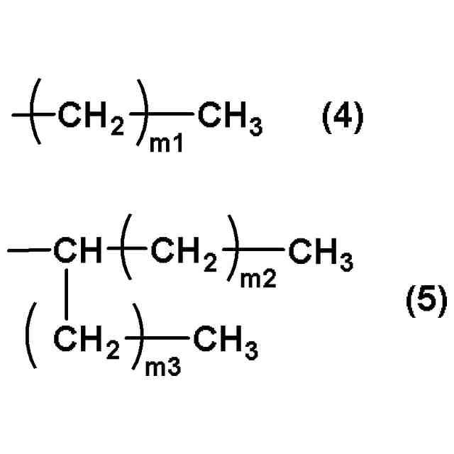
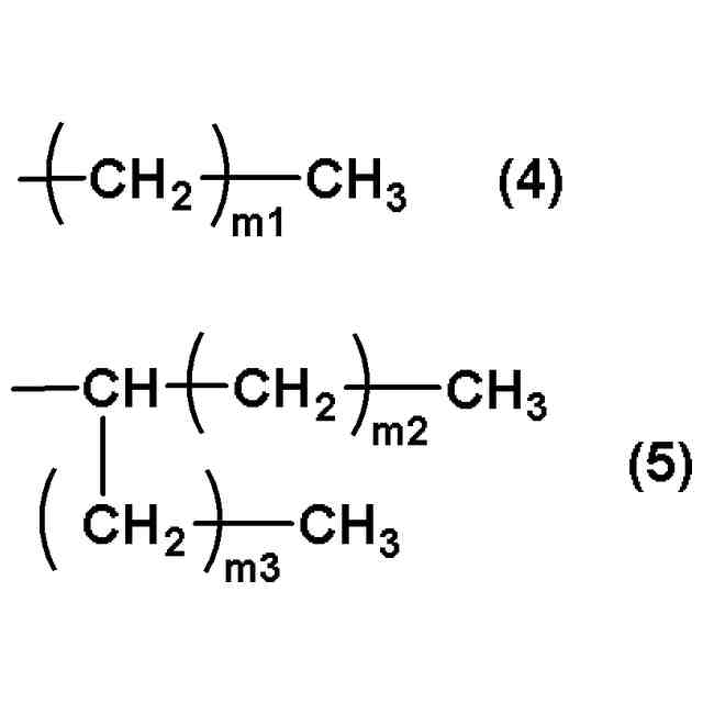
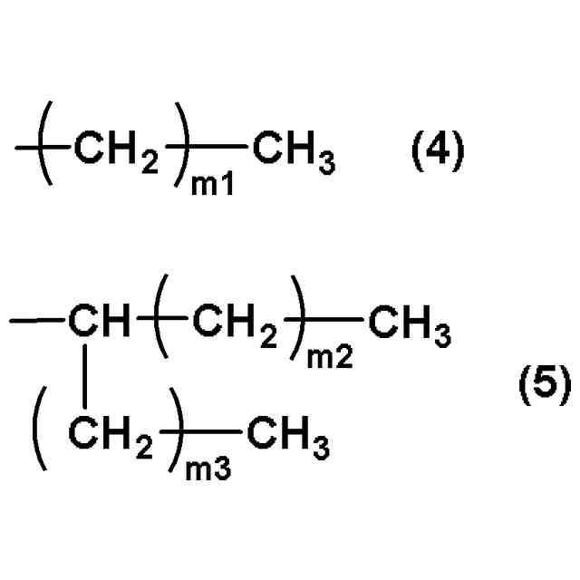
[式中、m1は2以上7以下の整数を示し、m2は0以上4以下の整数を示し、m3は0以上2以下の整数を示す。]
続きを表示(約 1,300 文字)
【請求項2】
下記式(1)の構造を有する化合物を含む有機エレクトロルミネッセンスデバイス用の液晶材料であって、
25℃において下記(i)又は(ii):
(i)ネマチック液晶相又はキラルネマチック液晶相を呈する;
(ii)ネマチック液晶相又はキラルネマチック液晶相を反映した分子配向性を有し、かつ、ガラス状態を発現する;
の条件を満たす、液晶材料。
TIFF
2025159705000038.tif
37
134
[式中、R
1
は-(CH
2
)
n
CH
3
で表される基を示し、nは0以上の整数を示す。R
2
は下記式(4)又は(5)で表される基を示す。]
TIFF
2025159705000039.tif
44
134
[式中、m1は2以上7以下の整数を示し、m2は0以上4以下の整数を示し、m3は0以上2以下の整数を示す。]
【請求項3】
前記式(1)中のR
2
が前記式(5)で表される基である化合物を含む、請求項1に記載の液晶材料。
【請求項4】
前記式(1)の構造を有しない化合物(B)を、前記式(1)の構造を有する化合物に対して0.01モル%以上50モル%以下の割合で含み、
25℃において下記(i-1)又は(ii-1):
(i-1)ネマチック液晶相を呈する;
(ii-1)ネマチック液晶相を反映した分子配向性を有し、かつ、ガラス状態を発現する;
の条件を満たす、請求項1に記載の液晶材料。
【請求項5】
前記化合物(B)がキラル構造を有し、
前記化合物(B)がネマチック液晶に対するキラルドーパントとして機能することにより、25℃において下記(i-2)又は(ii-2):
(i-2)キラルネマチック液晶相を呈する;
(ii-2)キラルネマチック液晶相を反映した分子配向性を有し、かつ、ガラス状態を発現する;
の条件を満たす、請求項4に記載の液晶材料。
【請求項6】
前記化合物(B)が、400nm以上1200nm以下の波長領域において、蛍光発光特性、燐光発光特性、又はTADF(熱活性化遅延蛍光)発光特性を示す発光材料である、請求項4に記載の液晶材料。
【請求項7】
直線偏光発光特性又は円偏光発光特性を示す、請求項1に記載の液晶材料。
【請求項8】
請求項1~7のいずれか1項に記載の液晶材料を含み、膜厚が10nm以上500nm以下である、薄膜。
【請求項9】
直線偏光発光特性又は円偏光発光特性を示す、請求項8に記載の薄膜。
【請求項10】
直線偏光発光特性を示し、直線偏光二色比が2.0以上である、請求項8に記載の薄膜。
(【請求項11】以降は省略されています)
発明の詳細な説明
【技術分野】
【0001】
本発明は、液晶材料、並びにこの液晶材料を用いた薄膜及び有機エレクトロルミネッセンスデバイスに関する。
続きを表示(約 2,000 文字)
【背景技術】
【0002】
有機エレクトロルミネッセンス技術は、スマートフォン、テレビ、ヘッドマウントディスプレイ、照明など、幅広い用途で実用化されている。多くの有機エレクトロルミネッセンスディスプレイにおいて、視認性改善や光学制御のために、偏光板及び1/4位相差板を用いた偏光及び円偏光への位相変換が行われている。
【0003】
しかし、偏光板を用いた位相変換は、原理的に50%の光強度の減衰が生じる。この光強度の減衰は、デバイス全体のエネルギー効率低下につながり、ディスプレイデバイス開発における大きな課題となっている。
【0004】
この課題の解決のために、偏光板レスのデバイス構造や偏光発光性有機エレクトロルミネッセンスデバイスの提案がなされてきた。前者は、偏光を利用したときのメリットである視野角改善や反射光防止の機能を別の部材へ搭載する必要があるため、コスト面で不利となる。後者は、高分子有機エレクトロルミネッセンス発光材料では盛んに検討されていたが、エネルギー効率が高い三重項励起状態を利用した発光材料では偏光特性の付与が難しく、実用化には至っていない。
【0005】
また、高分子有機エレクトロルミネッセンス発光材料を用いた円偏光発光については、円偏光発光特性と電気特性及び外部量子収率とを両立させた形では実現されていない。このため、偏光及び円偏光発光特性を付与した発光材料の開発は、有機エレクトロルミネッセンス技術のさらなる発展に寄与すると期待される。
【0006】
発光材料に円偏光特性を付与させるためにキラルネマチック液晶のらせん構造を利用することは、その円偏光純度の高さから期待されている技術である。キラルネマチック液晶は、配向に関する秩序を持つネマチック液晶に光学活性分子が含まれることによって隣接分子間にねじれが生じることで、分子軸に垂直な方向にらせん周期構造が発現しているものである。この周期構造は長距離相関を取り、数cmにわたって周期が持続することがある。また、周期構造のピッチ(すなわち、らせんピッチp)は、数百nmから無限大まで分布する。
【0007】
ところで、円偏光発光材料を有機エレクトロルミネッセンスデバイスの発光層として用いるためには、駆動電圧を低く抑えるために薄膜(フィルム状)にする必要があり、膜厚をnmオーダーに抑える必要がある。一般的に、キラルネマチック液晶を用いた円偏光発光材料の殆どは、膜厚がnmオーダー以下になると円偏光特性が失われることが知られている。
【0008】
nmオーダー以下で円偏光特性を発現しているものの例として、例えば、非特許文献1においては、液晶性共役系高分子であるF8BTに対してキラル誘起材としてヘリセンを組み合わせることで、特殊なキラル構造を誘起し、薄膜での円偏光発光を実現している。これは、限定的な組み合わせのみで生じるキラル構造であり、より汎用性の高い円偏光発光の手法が望まれている。一方、非特許文献2においては、液晶の一部を配向させたキラルネマチック液晶とすることで、理想的な位相変化を引き起こすことにより円偏光発光を達成している。ただし、この手法は、デバイスに配向膜を形成する必要があり、有機エレクトロルミネッセンス駆動時の電気特性を悪化させるため、配向膜を用いない手法が望まれている。
【0009】
非特許文献3においては、有機エレクトロルミネッセンスデバイスの電荷輸送層としてトリカルバゾール型の液晶化合物を用いており、液晶相を形成することによって分子間の配向性を制御することにより電荷輸送特性を向上させている。ただし、この化合物は、ホスト材料としては用いられていない上に、直線配向やキラルネマチック液晶を形成していないため、直線偏光発光特性又は円偏光発光特性は示されていない。液晶化合物をホスト材料として用いて直線偏光発光特性又は円偏光発光特性を付与するためには、薄膜形成した後も液晶相に由来する配向状態を安定して維持していることが必要であり、これを達成する手法が望まれている。
【0010】
一般的に、円偏光発光材料としては、純粋な円偏光が得られるものは無く、右及び左の円偏光が混在した楕円偏光が得られるものしか報告されていない。円偏光の純度を示す指標として、左右円偏光の偏り度合いを表すg値が広く用いられている。g値は左円偏光強度IL及び右円偏光強度IRにより、g=2(IL-IR)/(IL+IR)で表される。g値は-2以上2以下の値をとり、g=0であれば非円偏光、|g|=2であれば純粋な円偏光であることを示す。
【先行技術文献】
【非特許文献】
(【0011】以降は省略されています)
この特許をJ-PlatPat(特許庁公式サイト)で参照する
関連特許
株式会社カネカ
断熱材
16日前
株式会社カネカ
自動植毛装置
4日前
株式会社カネカ
シーリング材
1か月前
株式会社カネカ
通報システム
16日前
株式会社カネカ
重量物載置架台
1か月前
株式会社カネカ
積層体の製造方法
11日前
株式会社カネカ
可塑性油脂組成物
11日前
株式会社カネカ
自動車用バンパー芯材
1か月前
株式会社カネカ
積層体、及びその製造方法
11日前
株式会社カネカ
太陽電池パネルの検査装置
1か月前
株式会社カネカ
熱可塑性フィルムの製造方法
1か月前
株式会社クラレ
樹脂組成物
1か月前
株式会社カネカ
メタクリル樹脂組成物及び樹脂フィルム
1か月前
株式会社カネカ
有機エレクトロルミネッセンスデバイス
1か月前
株式会社カネカ
チルド麺類用油脂組成物及びチルド麺類
1か月前
株式会社カネカ
熱伝導シート及び熱伝導シートの製造方法
1か月前
株式会社カネカ
熱伝導シート及び熱伝導シートの製造方法
1か月前
株式会社カネカ
熱伝導シート及び熱伝導シートの製造方法
16日前
株式会社カネカ
熱伝導シート及び熱伝導シートの製造方法
16日前
株式会社カネカ
水系コーティング組成物およびその製造方法
1か月前
株式会社カネカ
成膜方法、太陽電池の製造方法および太陽電池
1か月前
株式会社カネカ
リサイクル発泡性スチレン系樹脂粒子の製造方法
1か月前
株式会社カネカ
リサイクル発泡性スチレン系樹脂粒子の製造方法
1か月前
株式会社カネカ
液晶材料、薄膜、及び有機エレクトロルミネッセンスデバイス
1か月前
株式会社カネカ
情報処理システム、情報処理装置、情報処理方法、及びプログラム
1か月前
株式会社カネカ
情報処理システム、情報処理装置、情報処理方法、及びプログラム
1か月前
株式会社カネカ
常温流通用ホイップドクリーム向け起泡性水中油型乳化油脂組成物
1か月前
株式会社カネカ
ペロブスカイト太陽電池の製造方法、及びペロブスカイト前駆体液
1か月前
株式会社カネカ
情報処理システム、情報処理装置、情報処理方法、及びプログラム
1か月前
株式会社カネカ
ケービング抑制剤、該ケービング抑制剤を含有するパン生地及びパン
1か月前
株式会社カネカ
偏光子保護フィルム、偏光板、液晶パネルおよびアクリル樹脂組成物
1か月前
株式会社カネカ
偏光子保護フィルム、偏光板、液晶パネルおよびアクリル樹脂組成物
1か月前
株式会社カネカ
多液型硬化性組成物および硬化物
1か月前
株式会社カネカ
発泡性スチレン系樹脂粒子、スチレン系樹脂発泡粒子、及びスチレン系樹脂発泡成形体
19日前
株式会社カネカ
積層体、片面金属張積層板および多層プリント配線板
16日前
株式会社カネカ
発泡性ポリカーボネート系樹脂粒子、ポリカーボネート系発泡粒子、ポリカーボネート系発泡成形体および発泡性ポリカーボネート系樹脂粒子の製造方法
1か月前
続きを見る
他の特許を見る