TOP
|
特許
|
意匠
|
商標
特許ウォッチ
Twitter
他の特許を見る
公開番号
2025155973
公報種別
公開特許公報(A)
公開日
2025-10-14
出願番号
2025035345
出願日
2025-03-06
発明の名称
偏光子保護フィルム、偏光板、液晶パネルおよびアクリル樹脂組成物
出願人
株式会社カネカ
代理人
個人
,
個人
主分類
G02B
5/30 20060101AFI20251002BHJP(光学)
要約
【課題】液晶パネルの斜め方向から視認した場合の黄色度を低減させるとともに、透明性を維持することが可能な偏光子保護フィルムを提供する。
【解決手段】偏光子保護フィルムは、アクリル樹脂組成物を含み、波長590nmにおける厚さ方向位相差Rthが-35.0nm以上-5.0nm以下である。アクリル樹脂組成物は、主鎖に環構造を有するアクリル樹脂と、(メタ)アクリロニトリル単位および芳香族ビニル単位を含む共重合体とを含み、ガラス転移温度が120℃以上である。共重合体は、(メタ)アクリロニトリル単位の含有率が22重量%以上28重量%以下である。偏光子保護フィルムは、外部ヘイズが0.8%以下である。
【選択図】なし
特許請求の範囲
【請求項1】
アクリル樹脂組成物を含み、
波長590nmにおける厚さ方向位相差Rthが-35.0nm以上-5.0nm以下であり、
前記アクリル樹脂組成物は、主鎖に環構造を有するアクリル樹脂と、(メタ)アクリロニトリル単位および芳香族ビニル単位を含む共重合体とを含み、ガラス転移温度が120℃以上であり、
前記共重合体は、前記(メタ)アクリロニトリル単位の含有率が22重量%以上28重量%以下であり、
外部ヘイズが0.8%以下である、偏光子保護フィルム。
続きを表示(約 1,000 文字)
【請求項2】
アクリル樹脂組成物を含み、
波長590nmにおける厚さ方向位相差Rthが-35.0nm以上-5.0nm以下であり、
前記アクリル樹脂組成物は、主鎖に環構造を有するアクリル樹脂と、(メタ)アクリロニトリル単位および芳香族ビニル単位を含む共重合体とを含み、ガラス転移温度が120℃以上であり、
前記共重合体は、前記(メタ)アクリロニトリル単位の含有率が22重量%以上28重量%以下であり、
内部ヘイズが0.5%以下である、偏光子保護フィルム。
【請求項3】
前記主鎖に環構造を有するアクリル樹脂は、グルタルイミド環、ラクトン環、無水マレイン酸環、マレイミド環および無水グルタル酸環からなる群より選択される一種以上の環構造を主鎖に含む構成単位を有する、請求項1または2に記載の偏光子保護フィルム。
【請求項4】
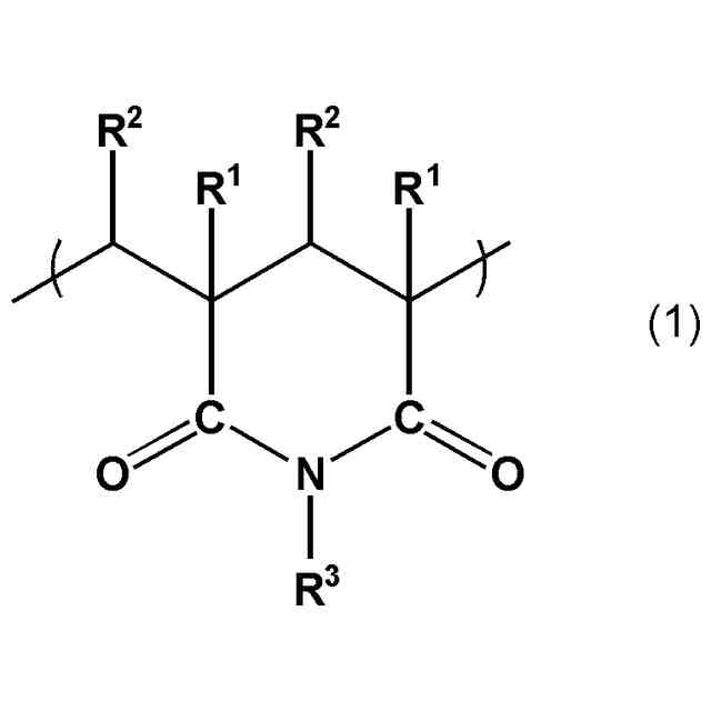
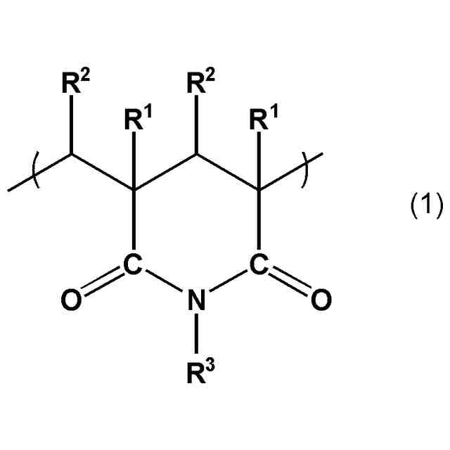
前記主鎖に環構造を有するアクリル樹脂は、下記式(1)で表される構成単位を有する、請求項3に記載の偏光子保護フィルム。
TIFF
2025155973000006.tif
42
134
(式中、R
1
およびR
2
は、それぞれ独立に、水素原子または炭素数1以上8以下のアルキル基であり、R
3
は、水素原子、炭素数1以上18以下のアルキル基または炭素数3以上12以下のシクロアルキル基である。)
【請求項5】
前記アクリル樹脂組成物は、前記(メタ)アクリロニトリル単位の含有率が0.3重量%以上4.0重量%以下であり、前記芳香族ビニル単位の含有率が2.0重量%以上10.0重量%以下である、請求項1または2に記載の偏光子保護フィルム。
【請求項6】
紫外線吸収剤を含まない、請求項1または2に記載の偏光子保護フィルム。
【請求項7】
二軸延伸フィルムである、請求項1または2に記載の偏光子保護フィルム。
【請求項8】
黄色度が0.01以上5.00以下である、請求項1または2に記載の偏光子保護フィルム。
【請求項9】
請求項1または2に記載の偏光子保護フィルムを備える、偏光板。
【請求項10】
請求項9に記載の偏光板を備える、液晶パネル。
(【請求項11】以降は省略されています)
発明の詳細な説明
【技術分野】
【0001】
本発明は、偏光子保護フィルム、偏光板、液晶パネルおよびアクリル樹脂組成物に関する。
続きを表示(約 1,300 文字)
【背景技術】
【0002】
アクリル樹脂は、優れた透明性、色調、外観、耐熱性および加工性を有するため、例えば、偏光子保護フィルムに適用されている(例えば、特許文献1参照)。ここで、偏光子保護フィルムは、偏光子の両面に貼り合わせて偏光板とした後、液晶セルの両面に配置されることにより、液晶パネルに適用される。
【0003】
一方、視野角が広く、色の再現性に優れることから、IPS方式の液晶パネルが、液晶テレビ等の用途で好ましく使用されている。
【先行技術文献】
【特許文献】
【0004】
特開2017-25333号公報
【発明の概要】
【発明が解決しようとする課題】
【0005】
しかしながら、アクリル樹脂を含む偏光子保護フィルムをIPS方式の液晶パネルに適用すると、黒表示した液晶パネルを斜め方向から視認した場合に、僅かながら黄色味がかる場合がある。
【0006】
このとき、液晶パネルの斜め方向から視認した場合の黄色度を低減させるために、芳香族ビニル単位を含む共重合体をさらに含む偏光子保護フィルムを使用することが考えられるが、偏光子保護フィルムの透明性が維持されない場合がある。
【0007】
本発明は、液晶パネルの斜め方向から視認した場合の黄色度を低減させるとともに、透明性を維持することが可能な偏光子保護フィルムおよびアクリル樹脂組成物を提供することを目的とする。
【課題を解決するための手段】
【0008】
[1]アクリル樹脂組成物を含み、波長590nmにおける厚さ方向位相差Rthが-35.0nm以上-5.0nm以下であり、前記アクリル樹脂組成物は、主鎖に環構造を有するアクリル樹脂と、(メタ)アクリロニトリル単位および芳香族ビニル単位を含む共重合体とを含み、ガラス転移温度が120℃以上であり、前記共重合体は、前記(メタ)アクリロニトリル単位の含有率が22重量%以上28重量%以下であり、外部ヘイズが0.8%以下である、偏光子保護フィルム。
【0009】
[2]アクリル樹脂組成物を含み、波長590nmにおける厚さ方向位相差Rthが-35.0nm以上-5.0nm以下であり、前記アクリル樹脂組成物は、主鎖に環構造を有するアクリル樹脂と、(メタ)アクリロニトリル単位および芳香族ビニル単位を含む共重合体とを含み、ガラス転移温度が120℃以上であり、前記共重合体は、前記(メタ)アクリロニトリル単位の含有率が22重量%以上28重量%以下であり、内部ヘイズが0.5%以下である、偏光子保護フィルム。
【0010】
[3]前記主鎖に環構造を有するアクリル樹脂は、グルタルイミド環、ラクトン環、無水マレイン酸環、マレイミド環および無水グルタル酸環からなる群より選択される一種以上の環構造を主鎖に含む構成単位を有する、[1]または[2]に記載の偏光子保護フィルム。
(【0011】以降は省略されています)
この特許をJ-PlatPat(特許庁公式サイト)で参照する
関連特許
株式会社カネカ
飲料
1か月前
株式会社カネカ
飲料
1か月前
株式会社カネカ
抗菌剤
1か月前
株式会社カネカ
塗布装置
1か月前
株式会社カネカ
積層装置
1か月前
株式会社カネカ
医療用具
1か月前
株式会社カネカ
製膜装置
1か月前
株式会社カネカ
製膜装置
1か月前
株式会社カネカ
カテーテル
28日前
株式会社カネカ
カテーテル
28日前
株式会社カネカ
カテーテル
28日前
株式会社カネカ
カテーテル
1か月前
株式会社カネカ
カテーテル
1か月前
株式会社カネカ
カテーテル
1か月前
株式会社カネカ
カテーテル
28日前
株式会社カネカ
カテーテル
29日前
株式会社カネカ
正極活物質
1か月前
株式会社カネカ
カテーテル
27日前
株式会社カネカ
酵母含有菓子
29日前
株式会社カネカ
シーリング材
27日前
株式会社カネカ
硬化性組成物
1か月前
株式会社カネカ
生体内留置具
1か月前
株式会社カネカ
樹脂チューブ
1か月前
株式会社カネカ
医療用具セット
1か月前
株式会社カネカ
顆粒の製造方法
1か月前
株式会社カネカ
重量物載置架台
27日前
株式会社カネカ
油脂の製造方法
1か月前
株式会社カネカ
フィルム延伸装置
1か月前
株式会社カネカ
フィルム延伸装置
1か月前
株式会社カネカ
バルーンカテーテル
1か月前
株式会社カネカ
可撓性ガス拡散電極
1か月前
株式会社カネカ
太陽電池モジュール
1か月前
株式会社カネカ
太陽電池モジュール
27日前
株式会社カネカ
バルーンカテーテル
1か月前
株式会社カネカ
樹脂粒子の製造方法
1か月前
株式会社カネカ
気化装置及び製膜装置
28日前
続きを見る
他の特許を見る