TOP
|
特許
|
意匠
|
商標
特許ウォッチ
Twitter
他の特許を見る
公開番号
2025159537
公報種別
公開特許公報(A)
公開日
2025-10-21
出願番号
2024062178
出願日
2024-04-08
発明の名称
感光性樹脂組成物、感光性エレメント、半導体装置、及びレジストパターンの形成方法
出願人
株式会社レゾナック
代理人
個人
,
個人
,
個人
,
個人
主分類
G03F
7/038 20060101AFI20251014BHJP(写真;映画;光波以外の波を使用する類似技術;電子写真;ホログラフイ)
要約
【課題】誘電正接を低減可能な感光性樹脂組成物を提供すること。
【解決手段】本開示に係る感光性樹脂組成物は、(A)フェノール樹脂を含むベース樹脂と、(B)メチロール基及びアルコキシアルキル基からなる群より選択される少なくとも1種を有する架橋剤と、(C)溶解促進剤と、(D)光酸発生剤と、(G)ブロックイソシアネートとを含有する。
【選択図】なし
特許請求の範囲
【請求項1】
(A)フェノール樹脂を含むベース樹脂と、
(B)メチロール基及びアルコキシアルキル基からなる群より選択される少なくとも1種を有する架橋剤と、
(C)溶解促進剤と、
(D)光酸発生剤と、
(G)ブロックイソシアネートと、を含有する、感光性樹脂組成物。
続きを表示(約 840 文字)
【請求項2】
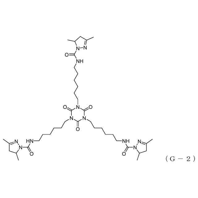
前記ブロックイソシアネートが、イミダゾール化合物、ピラゾール化合物、ラクタム化合物、オキシム化合物、アルコール化合物、及びジエステル化合物からなる群より選ばれる少なくとも1種のブロック剤に由来するブロック構造を有する、請求項1に記載の感光性樹脂組成物。
【請求項3】
前記光酸発生剤が、オニウム塩化合物を含む、請求項1に記載の感光性樹脂組成物。
【請求項4】
前記溶解促進剤が、グリシジルエーテル基を有する化合物、オキセタニルアルキルエーテル基を有する化合物、ビニルエーテル基を有する化合物、アクリロイルオキシ基を有する化合物、メタクリロイルオキシ基を有する化合物、及び多価アルコール化合物からなる群より選ばれる少なくとも1種を含む、請求項1に記載の感光性樹脂組成物。
【請求項5】
支持体と、当該支持体上に設けられた感光層と、を備え、
前記感光層が、請求項1~4のいずれか一項に記載の感光性樹脂組成物を含む、感光性エレメント。
【請求項6】
請求項1~4のいずれか一項に記載の感光性樹脂組成物の硬化物を備える、半導体装置。
【請求項7】
請求項1~4のいずれか一項に記載の感光性樹脂組成物を基材上に塗布し、前記感光性樹脂組成物を乾燥して感光層を形成する工程と、
前記感光層を所定のパターンに露光し、露光後加熱処理を行う工程と、
前記加熱処理後の前記感光層を現像し、得られた樹脂パターンを加熱処理する工程と、を含む、レジストパターンの形成方法。
【請求項8】
請求項5に記載の感光性エレメントの前記感光層を基材上に配置する工程と、
前記感光層を所定のパターンに露光し、露光後加熱処理を行う工程と、
前記加熱処理後の前記感光層を現像し、得られた樹脂パターンを加熱処理する工程と、を含む、レジストパターンの形成方法。
発明の詳細な説明
【技術分野】
【0001】
本発明は、感光性樹脂組成物、感光性エレメント、半導体装置、及びレジストパターンの形成方法に関する。
続きを表示(約 2,900 文字)
【背景技術】
【0002】
半導体素子又はプリント配線板の製造においては、微細なパターンを形成するために、例えば、ネガ型感光性樹脂組成物が使用されている。この方法では、感光性樹脂組成物の塗布等によって基材(例えば、半導体素子の場合はチップ、プリント配線板の場合は基板)上に感光層を形成し、所定のパターンを通して活性光線を照射することで露光部を硬化させる。さらに、現像液を用いて未露光部を選択的に除去することで、感光性樹脂組成物の硬化物であるレジストパターンを基材上に形成する。感光性樹脂組成物としては、ノボラック樹脂、エポキシ樹脂、及び光酸発生剤を含有する感光性樹脂組成物、カルボキシ基を有するアルカリ可溶性エポキシ化合物及び光カチオン重合開始剤を含有する感光性樹脂組成物、ポリイミド前駆体を含有する感光性樹脂組成物等が知られている(例えば、特許文献1~3)。
【先行技術文献】
【特許文献】
【0003】
特開平09-087366号公報
国際公開第2008/010521号
特開2021-196482号公報
【発明の概要】
【発明が解決しようとする課題】
【0004】
再配線層を有する半導体パッケージにおいて、配線の微細化、高密度化に伴い再配線層に用いられる感光材料には、低誘電化が求められ、特に誘電正接をより低減することが求められる。本開示の一側面は、誘電正接を低減可能な感光性樹脂組成物を提供することを目的とする。また、本開示の他の一側面は、上記感光性樹脂組成物を用いて得られる感光性エレメント及び半導体装置、並びに、上記感光性樹脂組成物を用いたレジストパターンの形成方法を提供することを目的とする。
【課題を解決するための手段】
【0005】
本開示の一態様は、以下の感光性樹脂組成物、感光性エレメント、半導体装置、及びレジストパターンの形成方法に関する。
[1](A)フェノール樹脂を含むベース樹脂と、(B)メチロール基及びアルコキシアルキル基からなる群より選択される少なくとも1種を有する架橋剤と、(C)溶解促進剤と、(D)光酸発生剤と、(G)ブロックイソシアネートと、を含有する、感光性樹脂組成物。
[2]前記ブロックイソシアネートが、イミダゾール化合物、ピラゾール化合物、ラクタム化合物、オキシム化合物、アルコール化合物、及びジエステル化合物からなる群より選ばれる少なくとも1種のブロック剤に由来するブロック構造を有する、上記[1]に記載の感光性樹脂組成物。
[3]前記光酸発生剤が、オニウム塩化合物を含む、上記[1]又は[2]に記載の感光性樹脂組成物。
[4]前記溶解促進剤が、グリシジルエーテル基を有する化合物、オキセタニルアルキルエーテル基を有する化合物、ビニルエーテル基を有する化合物、アクリロイルオキシ基を有する化合物、メタクリロイルオキシ基を有する化合物、及び多価アルコール化合物からなる群より選ばれる少なくとも1種を含む、上記[1]~[3]のいずれかに記載の感光性樹脂組成物。
[5]支持体と、当該支持体上に設けられた感光層と、を備え、前記感光層が、上記[1]~[4]のいずれかに記載の感光性樹脂組成物を含む、感光性エレメント。
[6]上記[1]~[4]のいずれかに記載の感光性樹脂組成物の硬化物を備える、半導体装置。
[7]上記[1]~[4]のいずれかに記載の感光性樹脂組成物を基材上に塗布し、前記感光性樹脂組成物を乾燥して感光層を形成する工程と、前記感光層を所定のパターンに露光し、露光後加熱処理を行う工程と、前記加熱処理後の前記感光層を現像し、得られた樹脂パターンを加熱処理する工程と、を含む、レジストパターンの形成方法。
[8]上記[5]に記載の感光性エレメントの前記感光層を基材上に配置する工程と、前記感光層を所定のパターンに露光し、露光後加熱処理を行う工程と、前記加熱処理後の前記感光層を現像し、得られた樹脂パターンを加熱処理する工程と、を含む、レジストパターンの形成方法。
【発明の効果】
【0006】
本開示の一側面によれば、誘電正接を低減可能な感光性樹脂組成物を提供することができる。また、本開示の他の一側面によれば、該感光性樹脂組成物を含む感光層を備える感光性エレメントを提供できる。さらに、本開示の他の一側面によれば、上述の感光性樹脂組成物又は上述の感光性エレメントを用いたレジストパターンの製造方法を提供できる。
【図面の簡単な説明】
【0007】
多層プリント配線板の製造方法の一例を示す模式図である。
【発明を実施するための形態】
【0008】
以下、本開示について、詳細に説明する。ただし、本開示は以下の実施形態に限定されるものではない。本明細書において、「工程」との語は、独立した工程だけではなく、他の工程と明確に区別できない場合であってもその工程の所期の作用が達成されれば、本用語に含まれる。本明細書において、「層」との語は、平面図として観察したときに、全面に形成されている形状の構造に加え、一部に形成されている形状の構造も包含される。
【0009】
本明細書において、「~」を用いて示された数値範囲は、「~」の前後に記載される数値をそれぞれ最小値及び最大値として含む範囲を示す。また、本明細書中に段階的に記載されている数値範囲において、ある段階の数値範囲の上限値又は下限値は、他の段階の数値範囲の上限値又は下限値に置き換えてもよい。本明細書中に記載されている数値範囲において、その数値範囲の上限値又は下限値は、実施例に示されている値に置き換えてもよい。本明細書において組成物中の各成分の量について言及する場合、組成物中に各成分に該当する物質が複数存在する場合には、特に断らない限り、組成物中に存在する当該複数の物質の合計量を意味する。本明細書において、「固形分」とは、感光性樹脂組成物に含まれる水、溶剤等の揮発する物質を除いた不揮発分を指し、室温(25℃付近)で液状、水飴状、及びワックス状の成分も含む。
【0010】
[感光性樹脂組成物]
一実施形態に係る感光性樹脂組成物は、(A)フェノール樹脂を含むベース樹脂(以下、「(A)成分」という場合がある。)と、(B)メチロール基及びアルコキシアルキル基からなる群より選択される少なくとも1種を有する架橋剤(以下、「(B)成分」という場合がある。)と、(C)溶解促進剤(以下、「(C)成分」という場合がある。)と、(D)光酸発生剤(以下、「(D)成分」という場合がある。)と、(G)ブロックイソシアネート(以下、「(G)成分」という場合がある。)と、を含有する。本実施形態に係る感光性樹脂組成物は、ネガ型の感光性樹脂組成物として用いることができる。以下、感光性樹脂組成物が含有する各成分について、詳細に説明する。
(【0011】以降は省略されています)
この特許をJ-PlatPat(特許庁公式サイト)で参照する
関連特許
個人
表示装置
9日前
個人
雨用レンズカバー
7日前
株式会社シグマ
絞りユニット
1か月前
キヤノン株式会社
撮像装置
1か月前
日本精機株式会社
車両用投射装置
15日前
キヤノン株式会社
撮像装置
今日
キヤノン株式会社
撮像装置
今日
キヤノン株式会社
撮像装置
今日
キヤノン株式会社
撮像装置
29日前
株式会社リコー
画像形成装置
25日前
キヤノン株式会社
画像形成装置
10日前
株式会社オプトル
プロジェクタ
28日前
キヤノン株式会社
トナー
21日前
キヤノン株式会社
トナー
16日前
キヤノン株式会社
トナー
3日前
キヤノン株式会社
レンズキャップ
8日前
アイホン株式会社
カメラシステム
15日前
スタンレー電気株式会社
照明装置
17日前
沖電気工業株式会社
画像形成装置
7日前
キヤノン株式会社
現像装置
14日前
古野電気株式会社
装置
7日前
株式会社リコー
画像形成装置
25日前
ブラザー工業株式会社
画像形成装置
14日前
株式会社電気印刷研究所
静電印刷用積層体
21日前
ブラザー工業株式会社
画像形成装置
14日前
キヤノン株式会社
画像形成装置
22日前
キヤノン株式会社
画像形成装置
22日前
キヤノン株式会社
画像形成装置
25日前
コニカミノルタ株式会社
画像形成装置
7日前
キヤノン株式会社
画像形成装置
1か月前
古野電気株式会社
監視装置
7日前
沖電気工業株式会社
画像形成装置
25日前
アイホン株式会社
カメラ装置の保持構造
15日前
ニデックプレシジョン株式会社
カメラ装置
29日前
ブラザー工業株式会社
画像形成装置
14日前
ニデックプレシジョン株式会社
カメラ装置
29日前
続きを見る
他の特許を見る