TOP
|
特許
|
意匠
|
商標
特許ウォッチ
Twitter
他の特許を見る
10個以上の画像は省略されています。
公開番号
2025154423
公報種別
公開特許公報(A)
公開日
2025-10-10
出願番号
2024057417
出願日
2024-03-29
発明の名称
有機電界発光素子用の組成物、有機電界発光素子とその製造方法、及び表示装置
出願人
三菱ケミカル株式会社
代理人
弁理士法人栄光事務所
主分類
H10K
85/60 20230101AFI20251002BHJP()
要約
【課題】湿式成膜法によって有機電界発光素子の作製が可能であり、従来よりも発光効率が高く、駆動寿命の長い有機電界発光素子を作製するための組成物を提供すること。
【解決手段】有機電界発光素子用の組成物であって、下記式(I)を満たす化合物Aと、下記式(II)を満たす化合物Bとを含み、前記化合物A及び前記化合物Bは、それぞれカルバゾリル基を2つ以上有する、組成物。
4.20<N
A
<5.80 式(I)
1.00<N
B
<2.90 式(II)
式(I)において、N
A
は分子量1000当たりの化合物A中の窒素原子の数を表す。
式(II)において、N
B
は分子量1000当たりの化合物B中の窒素原子の数を表す。
【選択図】図1
特許請求の範囲
【請求項1】
有機電界発光素子用の組成物であって、
下記式(I)を満たす化合物Aと、
下記式(II)を満たす化合物Bとを含み、
前記化合物A及び前記化合物Bは、それぞれカルバゾリル基を2つ以上有する、組成物。
4.20<N
A
<5.80 式(I)
1.00<N
B
<2.90 式(II)
式(I)において、N
A
は分子量1000当たりの化合物A中の窒素原子の数を表す。
式(II)において、N
B
は分子量1000当たりの化合物B中の窒素原子の数を表す。
続きを表示(約 3,300 文字)
【請求項2】
前記化合物Aが下記式(1)で表される、請求項1に記載の組成物。
TIFF
2025154423000074.tif
38
166
(式(1)中、
W
11
、W
12
及びW
13
は、各々独立に、CH又はNを表し、W
11
、W
12
及びW
13
のうち、少なくとも一つは窒素原子であり、
Xa
11
、Ya
11
、及びZa
11
は、各々独立に、置換基を有していてもよい炭素数6~30の二価の芳香族炭化水素基、又は置換基を有していてもよい炭素数3~30の二価の芳香族複素環基を表し、
Xa
12
、Ya
12
及びZa
12
は、各々独立に、水素原子、置換基を有していてもよい炭素数6~30の一価の芳香族炭化水素基、又は置換基を有していてもよい炭素数3~30の一価の芳香族複素環基を表し、
g11、h11、及びj11は各々独立に0~6の整数を表し、
g11、h11、j11の少なくとも一つは1以上の整数であり、
g11が2以上の整数の場合、複数存在するXa
11
は同一であっても異なっていてもよく、
h11が2以上の整数の場合、複数存在するYa
11
は同一であっても異なっていてもよく、
j11が2以上の整数の場合、複数存在するZa
11
は同一であっても異なっていてもよく、
R
11
は水素原子又は置換基を表し、4個のR
11
は同一であっても異なっていてもよく、
但し、g11、h11、又はj11が0の場合、それぞれ対応するXa
12
、Ya
12
、Za
12
は水素原子ではない。)
【請求項3】
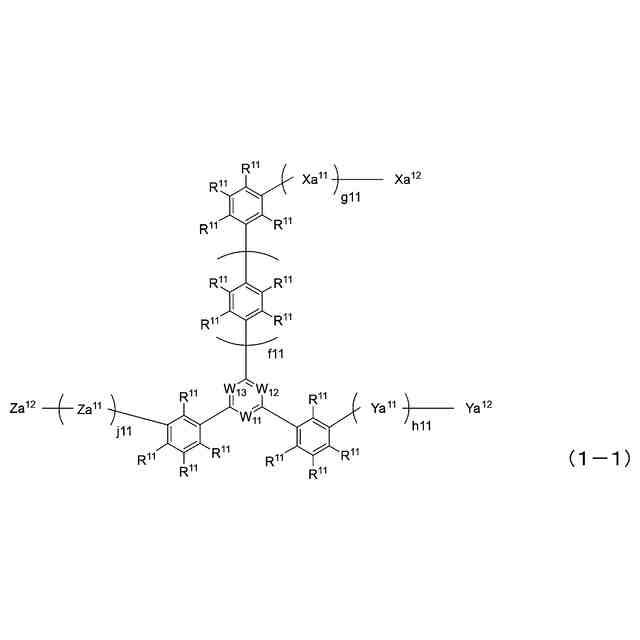
前記式(1)で表される化合物が下記式(1-1)で表される、請求項2に記載の組成物。
TIFF
2025154423000075.tif
79
166
(式(1-1)中、
W
11
、W
12
及びW
13
は、各々独立に、-CH又は窒素原子を表し、W
11
、W
12
及びW
13
のうち、少なくとも一つは窒素原子であり、
Xa
11
、Ya
11
、及びZa
11
は、各々独立に、置換基を有していてもよい1,3-フェニレン基又は置換基を有していてもよい1,4-フェニレン基を表し、
Ya
11
及びZa
11
の少なくとも一つは、置換基を有していてもよい1,3-フェニレン基であり、
Xa
12
は、置換基を有していてもよいフェニル基を表し、
Ya
12
及びZa
12
は、各々独立に、置換基を有していてもよいN-カルバゾリル基を表し、
f11は1又は2であり、
g11は0~5の整数であり、
h11は0~5の整数であり、
j11は0~5の整数であり、
R
11
は、各々独立に、水素原子又は置換基を表す。)
【請求項4】
前記式(1-1)におけるYa
11
の少なくとも一つが1,3-フェニレン基であり、Za
11
の少なくとも一つが1,3-フェニレン基である、請求項3に記載の組成物。
【請求項5】
前記式(1-1)におけるXa
11
の少なくとも一つが1,3-フェニレン基である、請求項3に記載の組成物。
【請求項6】
前記化合物Bが下記式(240)又は下記式(241)で表される、請求項1に記載の組成物。
TIFF
2025154423000076.tif
51
166
(式(240)中、
Ar
611
、Ar
612
は、各々独立に、置換基を有していてもよい炭素数6~50の1価の芳香族炭化水素基を表す。
R
611
、R
612
は、各々独立に、水素原子、重水素原子、ハロゲン原子、又は置換基を有していてもよい炭素数6~50の1価の芳香族炭化水素基を表す。
Gは、単結合、又は、置換基を有していてもよい炭素数6~50の2価の芳香族炭化水素基を表す。
n
611
、n
612
は、各々独立に、0~4の整数である。)
TIFF
2025154423000077.tif
74
166
(式(241)中、
Ar
613
~Ar
615
は、各々独立に、置換基を有していてもよい炭素数6~50の1価の芳香族炭化水素基を表す。
R
613
、R
614
は、各々独立に、水素原子、重水素原子、ハロゲン原子、又は置換基を有していてもよい炭素数6~50の1価の芳香族炭化水素基を表す。
Gは、各々独立に、単結合、又は、置換基を有していてもよい炭素数6~50の2価の芳香族炭化水素基を表す。
n
613
、n
614
は、各々独立に、0~4の整数である。)
【請求項7】
前記化合物Bが下記式(240-1)又は下記式(241-1)で表される、請求項1に記載の組成物。
TIFF
2025154423000078.tif
65
166
(式(240-1)中、
Ar
611
、Ar
612
は、各々独立に、置換基を有していてもよい炭素数6~50の1価の芳香族炭化水素基を表す。
R
611
、R
612
は、各々独立に、水素原子、重水素原子、ハロゲン原子、又は置換基を有していてもよい炭素数6~50の1価の芳香族炭化水素基を表す。)
TIFF
2025154423000079.tif
88
166
(式(241-1)中、
Ar
613
~Ar
615
は、各々独立に、置換基を有していてもよい炭素数6~50の1価の芳香族炭化水素基を表す。
R
613
、R
614
は、各々独立に、水素原子、重水素原子、ハロゲン原子、又は置換基を有していてもよい炭素数6~50の1価の芳香族炭化水素基を表す。)
【請求項8】
前記式(240)及び式(241)におけるAr
611
~Ar
615
が、各々独立に、置換基を有してもよい複数のベンゼン環が鎖状又は分岐して結合した1価の基である、請求項6に記載の組成物。
【請求項9】
前記式(240)及び式(241)におけるR
611
~R
614
が、各々独立に、置換基を有していてもよい炭素数6~30の1価の芳香族炭化水素基である、請求項6に記載の組成物。
【請求項10】
さらに発光材料を含む、請求項1に記載の組成物。
(【請求項11】以降は省略されています)
発明の詳細な説明
【技術分野】
【0001】
本発明は、有機電界発光素子(以下、「OLED」又は「素子」と称す場合がある。)に用いることができる化合物に関する。本発明はまた、この化合物を有する有機電界発光素子、当該化合物及び有機溶媒を含有する組成物、当該組成物を用いる薄膜形成方法及び有機電界発光素子の製造方法に関する。
続きを表示(約 1,200 文字)
【背景技術】
【0002】
近年、薄膜型の電界発光素子としては、無機材料を使用したものに代わり、有機薄膜を用いた有機電界発光素子の開発が行われるようになっている。有機電界発光素子(OLED)は、通常、陽極と陰極の間に、正孔注入層、正孔輸送層、有機発光層、電子輸送層などを有する。この各層に適した材料が開発されつつあり、発光色も赤、緑、青と、それぞれ開発が進んでいる。また、従来の蒸着型と比較して材料利用効率が高く、製造コストを下げることができる塗布型OLEDの研究が進められている。
【0003】
塗布型OLEDにおいては、素子の長寿命化やより低い消費電力での駆動が求められている。素子の寿命や消費電力改善に影響を及ぼす原因は様々な因子が考えられる。例えば寿命に関しては、素子を構成する材料の耐熱耐久性や、結晶性が大きな影響を及ぼすものと考えられている。
【0004】
有機電界発光素子を湿式成膜法で製造するためには、使用される材料は全て有機溶媒に溶解してインクとして使用できるものである必要がある。使用材料が溶解性に劣ると、長時間加熱するなどの操作を要するため、使用前に材料が劣化してしまう可能性がある。溶液状態で長時間均一状態を保持することができないと、溶液から材料の析出が起こり、インクジェット装置などによる成膜が不可能となる。
湿式成膜法に使用される材料には、有機溶媒に速やかに溶解すること、溶解した後析出せず均一状態を保持すること、という2つの意味での溶解性が求められる。
【0005】
特許文献1には、以下のようなトリアジン骨格を含む化合物を含む発光層を湿式成膜法で形成した有機電界発光素子が開示され、保存安定性が高く、有機溶媒への溶解性に優れた有機電界発光素子用の発光層形成用組成物を提供する試みがなされている。
【0006】
TIFF
2025154423000002.tif
50
164
【0007】
特許文献2には、以下のようなビスカルバゾール骨格を含む化合物を含む発光層を真空蒸着法で形成した有機電界発光素子が開示され、駆動電圧及び効率を改善する試みがなされている。
【0008】
TIFF
2025154423000003.tif
56
166
【0009】
特許文献3には、以下のようなビスカルバゾール骨格を含む化合物を含む発光層を湿式成膜法で形成した有機電界発光素子が開示され、有機溶媒への溶解性に優れた有機電界発光素子用の発光層形成用組成物を提供する試みがなされている。
【0010】
TIFF
2025154423000004.tif
50
165
【先行技術文献】
【特許文献】
(【0011】以降は省略されています)
この特許をJ-PlatPat(特許庁公式サイト)で参照する
関連特許
三菱ケミカル株式会社
積層体
3日前
三菱ケミカル株式会社
包装体
5日前
三菱ケミカル株式会社
モーター用絶縁フィルム及びモーター
18日前
三菱ケミカル株式会社
樹脂組成物、ペレット、および、成形品
18日前
三菱ケミカル株式会社
樹脂組成物、ペレット、および、成形品
18日前
三菱ケミカル株式会社
吸放湿性を有する高分子組成物、及び、調湿材料
3日前
三菱ケミカル株式会社
オリゴマー、オリゴマーの製造方法、および、重合体の製造方法
4日前
三菱ケミカル株式会社
画像表示用導光板
10日前
三菱ケミカル株式会社
粘着剤用樹脂組成物
3日前
三菱ケミカル株式会社
包装材用フィルム、包装材、積層体及び包装材用フィルムの製造方法
10日前
三菱ケミカル株式会社
非水系電解液二次電池
3日前
公立大学法人北九州市立大学
有機化合物含有高分子粒子の製造方法及び希土類元素分離精製方法
5日前
三菱ケミカル株式会社
テレフタル酸と1,4-ブタンジオールの組成物とそれを用いたポリブチレンテレフタレートの製造方法
4日前
三菱ケミカル株式会社
金属積層用フィルム、フィルム箔、電池集電体用フィルム箔、及び電池集電体
10日前
個人
積和演算用集積回路
1か月前
サンケン電気株式会社
半導体装置
1か月前
日機装株式会社
半導体発光装置
26日前
旭化成株式会社
発光素子
1か月前
ローム株式会社
半導体装置
10日前
株式会社東芝
半導体装置
18日前
三菱電機株式会社
半導体装置
1か月前
三菱電機株式会社
半導体装置
18日前
株式会社半導体エネルギー研究所
表示装置
10日前
三菱電機株式会社
半導体装置
5日前
日亜化学工業株式会社
発光装置
1か月前
ローム株式会社
半導体集積回路
1か月前
ローム株式会社
半導体装置
1か月前
ローム株式会社
半導体装置
3日前
株式会社半導体エネルギー研究所
発光デバイス
1か月前
サンケン電気株式会社
半導体装置
18日前
ローム株式会社
半導体装置
1か月前
株式会社半導体エネルギー研究所
発光デバイス
26日前
日亜化学工業株式会社
発光素子
1か月前
新電元工業株式会社
半導体素子
3日前
新電元工業株式会社
半導体素子
3日前
新電元工業株式会社
半導体素子
3日前
続きを見る
他の特許を見る