TOP
|
特許
|
意匠
|
商標
特許ウォッチ
Twitter
他の特許を見る
10個以上の画像は省略されています。
公開番号
2025176424
公報種別
公開特許公報(A)
公開日
2025-12-04
出願番号
2024082583
出願日
2024-05-21
発明の名称
オリゴマー、オリゴマーの製造方法、および、重合体の製造方法
出願人
三菱ケミカル株式会社
代理人
弁理士法人特許事務所サイクス
主分類
C08F
210/02 20060101AFI20251127BHJP(有機高分子化合物;その製造または化学的加工;それに基づく組成物)
要約
【課題】新規なオリゴマー、ならびに、オリゴマーの製造方法、および、重合体の方法を提供。
【解決手段】本開示に係るオリゴマーは、式(1)で表される。(式(1)中、R
1
、R
2
、R
11
、R
12
、R
13
、および、R
14
は、それぞれ独立に、水素原子、または、脂肪族炭化水素基を表し、これらの基のうち隣接する任意の2つは互いに結合して環状構造を形成していてもよい。nは0~3の整数を表す。XおよびYは、互いに異なり、かつ、酸素原子、硫黄原子、窒素原子、および、リン原子からなる群より選択される少なくとも1種を含む官能基である。Zは任意の繰り返し単位を表す。mは3~248を表す。)
<com:Image com:imageContentCategory="Drawing"> <com:ImageFormatCategory>TIFF</com:ImageFormatCategory> <com:FileName>2025176424000026.tif</com:FileName> <com:HeightMeasure com:measureUnitCode="Mm">39</com:HeightMeasure> <com:WidthMeasure com:measureUnitCode="Mm">170</com:WidthMeasure> </com:Image> 【選択図】 なし
特許請求の範囲
【請求項1】
式(1)で表される、オリゴマー。
TIFF
2025176424000019.tif
39
170
(式(1)中、R
1
、R
2
、R
11
、R
12
、R
13
、および、R
14
は、それぞれ独立に、水素原子、または、脂肪族炭化水素基を表し、これらの基のうち隣接する任意の2つは互いに結合して環状構造を形成していてもよい。nは0~3の整数を表す。XおよびYは、互いに異なり、かつ、酸素原子、硫黄原子、窒素原子、および、リン原子からなる群より選択される少なくとも1種を含む官能基である。Zは任意の繰り返し単位を表す。mは3~248を表す。)
続きを表示(約 2,200 文字)
【請求項2】
前記Zが式(2)で表される構造を含む、請求項1に記載のオリゴマー。
TIFF
2025176424000020.tif
27
170
(式(2)中、R
3
~R
6
は、それぞれ独立に、水素原子、または、置換基を有していてもよい炭素数1~20の炭化水素基を表す。m個のZに含まれる、R
3
~R
6
の少なくとも1つは、置換基を有していてもよい炭素数2~20の炭化水素基である。)
【請求項3】
前記XとYが、それぞれ独立に、-OHと-COORの組み合わせ、-COORと-NHRの組み合わせ、または、-SHと-COORの組み合わせであり、Rは、それぞれ独立に、水素原子または炭素数1~3のアルキル基である、請求項1に記載のオリゴマー。
【請求項4】
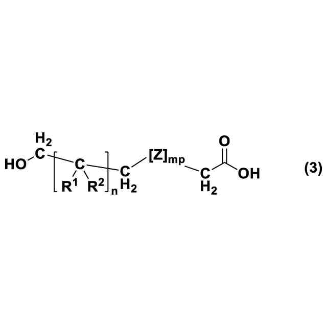
式(1)で表されるオリゴマーが式(3)で表されるオリゴマーを含む、請求項1に記載のオリゴマー。
TIFF
2025176424000021.tif
28
170
(式(3)中、nは1~3の整数を表す。mpは2~247の整数を表す。R
1
およびR
2
は、それぞれ独立に、水素原子、または、置換基を有していてもよい炭素数1~20の炭化水素基を表す。隣接するR
1
とR
2
は、互いに結合して、環状構造を形成していてもよい。Zは式(2)で表される構造を含む。)
TIFF
2025176424000022.tif
27
170
(式(2)中、R
3
~R
6
は、それぞれ独立に、水素原子、または、置換基を有していてもよい炭素数1~20の炭化水素基を表す。mp個のZに含まれる、R
3
~R
6
の少なくとも1つは、置換基を有していてもよい炭素数2~20の炭化水素基である。)
【請求項5】
前記Zがラジカル重合性単量体に由来する、請求項1に記載のオリゴマー。
【請求項6】
前記ラジカル重合性単量体が、エチレンおよび炭素数3~12のオレフィンからなる群より選択される少なくとも1種を含む、請求項5に記載のオリゴマー。
【請求項7】
式(1)で表されるオリゴマーが式(4)で表されるオリゴマーを含む、
請求項1に記載のオリゴマー。
TIFF
2025176424000023.tif
34
170
(式(4)中、R
3
~R
6
は、それぞれ独立に、水素原子、または、置換基を有していてもよい炭素数1~20の炭化水素基を表す。mp個のR
3
~R
6
の少なくとも1つは、置換基を有していてもよい炭素数2~20の炭化水素基である。mpは2~247の整数を表す。)
【請求項8】
式(1)で表されるオリゴマーの製造方法であって、
式(1-A)で表される構造単位および式(1-B)で表される構成単位を含む重合体(1-1)のxy部分を切断することにより分解することを含む、オリゴマーの製造方法。
TIFF
2025176424000024.tif
45
170
(式(1)中、R
1
、R
2
、R
11
、R
12
、R
13
、および、R
14
は、それぞれ独立に、水素原子、または、脂肪族炭化水素基を表し、これらの基のうち隣接する任意の2つは互いに結合して環状構造を形成していてもよい。nは0~3の整数を表す。XおよびYは、互いに異なり、かつ、酸素原子、硫黄原子、窒素原子、および、リン原子からなる群より選択される少なくとも1種を含む官能基である。Zは任意の繰り返し単位を表す。mは3~248を表す。)
TIFF
2025176424000025.tif
49
170
(式(1-A)および式(1-B)中、lおよびm0は、0.01≦l/(l+m0)≦0.20を満たす整数を表し、nは1~3の整数を表す。Zは任意の繰り返し単位を表す。R
1
およびR
2
は、それぞれ独立に、それぞれ独立に、水素原子、または、脂肪族炭化水素基を表す。隣接するR
1
およびR
2
は、互いに結合して、環状構造を形成していてもよい。xyは、式(1)におけるXとYが共有結合して形成される基である。)
【請求項9】
前記重合体(1-1)がリサイクル品を含む、請求項8に記載のオリゴマーの製造方法。
【請求項10】
前記重合体(1-1)の分解を加水分解により行う、請求項8に記載のオリゴマーの製造方法。
(【請求項11】以降は省略されています)
発明の詳細な説明
【技術分野】
【0001】
本発明は、オリゴマー、オリゴマーの製造方法、および、重合体の製造方法に関する。
続きを表示(約 3,600 文字)
【0002】
ポリエチレン等のポリオレフィン系重合体は耐候性、耐薬品性や力学物性に優れたポリマーであり、日常生活において多くのポリオレフィン系重合体を含む製品が使用されている。特に、ポリエチレン系重合体はその安定性と軽量性から、食品包材、電子部品包材や様々な日常生活品の包装材料などに使用され、我々の日常生活を豊かにしている。
【0003】
しかしながら、ポリエチレン系重合体はその安定性から物理的に可能な限り小さくしてもほとんど分解されることはない。このため、ポリエチレン系重合体を埋め立て処分した場合は、半永久的に地中に存在し続ける。また、ポリエチレン系重合体を投棄した場合、海洋ゴミとなり、海洋生物に悪影響を及ぼす可能性がある。
【0004】
そこで、廃棄物等に含まれるポリエチレン等のポリオレフィン系重合体を再利用するために、ポリオレフィン系重合体を分解して得た原料モノマーを再利用する、ケミカルリサイクル法が用いられている。
しかし、多くのポリオレフィン系重合体は、その分子量の大きさから、元の原料モノマーに分解するために膨大なエネルギーを必要とする。そこで、ケミカルリサイクル法の中でも、サーマルリサイクル法が用いられるが、この方法は、二酸化炭素の発生が不可避であり、環境負荷が大きいため、地球環境保全の観点において好ましい方法ではない。
【0005】
そこで、環境に負荷をかけることなくケミカルリサイクルすることが容易なポリオレフィン系重合体が提案されている。例えば、特許文献1~5および非特許文献1および2には、主鎖中にケテンアセタール由来の構造単位を含むポリオレフィン系重合体が開示されている。
【先行技術文献】
【特許文献】
【0006】
特開平04-081450号公報
特開昭58-015508号公報
特開平04-081450号公報
特表平06-504086号公報
米国特許第5281681号明細書
【非特許文献】
【0007】
iScience.,Volume23,Issue3,27/March/2020,100904
J.Environ.Polym.Degrad.,Volume6,p23-29(1998)
【発明の概要】
【発明が解決しようとする課題】
【0008】
ここで、各種工業材料として、上記特許文献1~5および非特許文献1および2に記載されているポリオレフィン系重合体よりも分子量の小さい、オリゴマーがあれば有益である。
本発明は、かかる課題を解決することを目的とするものであって、新規なオリゴマー、ならびに、オリゴマーの製造方法、および、重合体の方法を提供することを目的とする。
【課題を解決するための手段】
【0009】
上記課題のもと、本発明者が検討を行った結果、下記手段により、上記課題は解決された。
[1]式(1)で表される、オリゴマー。
TIFF
2025176424000001.tif
39
170
(式(1)中、R
1
、R
2
、R
11
、R
12
、R
13
、および、R
14
は、それぞれ独立に、水素原子、または、脂肪族炭化水素基を表し、これらの基のうち隣接する任意の2つは互いに結合して環状構造を形成していてもよい。nは0~3の整数を表す。XおよびYは、互いに異なり、かつ、酸素原子、硫黄原子、窒素原子、および、リン原子からなる群より選択される少なくとも1種を含む官能基である。Zは任意の繰り返し単位を表す。mは3~248を表す。)
[2]前記Zが式(2)で表される構造を含む、[1]に記載のオリゴマー。
TIFF
2025176424000002.tif
27
170
(式(2)中、R
3
~R
6
は、それぞれ独立に、水素原子、または、置換基を有していてもよい炭素数1~20の炭化水素基を表す。m個のZに含まれる、R
3
~R
6
の少なくとも1つは、置換基を有していてもよい炭素数2~20の炭化水素基である。)
[3]前記XとYが、それぞれ独立に、-OHと-COORの組み合わせ、-COORと-NHRの組み合わせ、または、-SHと-COORの組み合わせであり、Rは、それぞれ独立に、水素原子または炭素数1~3のアルキル基である、[1]または[2]に記載のオリゴマー。
[4]式(1)で表されるオリゴマーが式(3)で表されるオリゴマーを含む、[1]~[3]のいずれか1つに記載のオリゴマー。
TIFF
2025176424000003.tif
28
170
(式(3)中、nは1~3の整数を表す。mpは2~247の整数を表す。R
1
およびR
2
は、それぞれ独立に、水素原子、または、置換基を有していてもよい炭素数1~20の炭化水素基を表す。隣接するR
1
とR
2
は、互いに結合して、環状構造を形成していてもよい。Zは式(2)で表される構造を含む。)
TIFF
2025176424000004.tif
27
170
(式(2)中、R
3
~R
6
は、それぞれ独立に、水素原子、または、置換基を有していてもよい炭素数1~20の炭化水素基を表す。mp個のZに含まれる、R
3
~R
6
の少なくとも1つは、置換基を有していてもよい炭素数2~20の炭化水素基である。)
[5]前記Zがラジカル重合性単量体に由来する、[1]~[4]のいずれか1つに記載のオリゴマー。
[6]前記ラジカル重合性単量体が、エチレンおよび炭素数3~12のオレフィンからなる群より選択される少なくとも1種を含む、[5]に記載のオリゴマー。
[7]式(1)で表されるオリゴマーが式(4)で表されるオリゴマーを含む、
[1]~[6]のいずれか1つに記載のオリゴマー。
TIFF
2025176424000005.tif
34
170
(式(4)中、R
3
~R
6
は、それぞれ独立に、水素原子、または、置換基を有していてもよい炭素数1~20の炭化水素基を表す。mp個のR
3
~R
6
の少なくとも1つは、置換基を有していてもよい炭素数2~20の炭化水素基である。mpは2~247の整数を表す。)
[8]式(1)で表されるオリゴマーの製造方法であって、
式(1-A)で表される構造単位および式(1-B)で表される構成単位を含む重合体(1-1)のxy部分を切断することにより分解することを含む、オリゴマーの製造方法。
TIFF
2025176424000006.tif
45
170
(式(1)中、R
1
、R
2
、R
11
、R
12
、R
13
、および、R
14
は、それぞれ独立に、水素原子、または、脂肪族炭化水素基を表し、これらの基のうち隣接する任意の2つは互いに結合して環状構造を形成していてもよい。nは0~3の整数を表す。XおよびYは、互いに異なり、かつ、酸素原子、硫黄原子、窒素原子、および、リン原子からなる群より選択される少なくとも1種を含む官能基である。Zは任意の繰り返し単位を表す。mは3~248を表す。)
TIFF
2025176424000007.tif
49
170
(式(1-A)および式(1-B)中、lおよびm0は、0.01≦l/(l+m0)≦0.20を満たす整数を表し、nは1~3の整数を表す。Zは任意の繰り返し単位を表す。R
1
およびR
【発明の効果】
【0010】
本発明により、新規なオリゴマー、ならびに、オリゴマーの製造方法、および、重合体の方法を提供可能になった。
【発明を実施するための形態】
(【0011】以降は省略されています)
この特許をJ-PlatPat(特許庁公式サイト)で参照する
関連特許
三菱ケミカル株式会社
積層体
1日前
三菱ケミカル株式会社
包装体
3日前
三菱ケミカル株式会社
モーター用絶縁フィルム及びモーター
16日前
三菱ケミカル株式会社
樹脂組成物、ペレット、および、成形品
16日前
三菱ケミカル株式会社
樹脂組成物、ペレット、および、成形品
16日前
三菱ケミカル株式会社
吸放湿性を有する高分子組成物、及び、調湿材料
1日前
三菱ケミカル株式会社
オリゴマー、オリゴマーの製造方法、および、重合体の製造方法
2日前
三菱ケミカル株式会社
画像表示用導光板
8日前
三菱ケミカル株式会社
粘着剤用樹脂組成物
1日前
三菱ケミカル株式会社
包装材用フィルム、包装材、積層体及び包装材用フィルムの製造方法
8日前
三菱ケミカル株式会社
非水系電解液二次電池
1日前
公立大学法人北九州市立大学
有機化合物含有高分子粒子の製造方法及び希土類元素分離精製方法
3日前
三菱ケミカル株式会社
テレフタル酸と1,4-ブタンジオールの組成物とそれを用いたポリブチレンテレフタレートの製造方法
2日前
三菱ケミカル株式会社
金属積層用フィルム、フィルム箔、電池集電体用フィルム箔、及び電池集電体
8日前
株式会社カネカ
断熱材
29日前
東ソー株式会社
ペレット
1か月前
ユニチカ株式会社
透明シート
2か月前
ユニチカ株式会社
透明シート
3か月前
株式会社コバヤシ
成形体
2か月前
東ソー株式会社
エチレン系重合体
1日前
東レ株式会社
ポリエステルフィルム
2か月前
丸住製紙株式会社
変性パルプ
2か月前
住友精化株式会社
吸水剤の製造方法
2か月前
東レ株式会社
ポリエステルフィルム
1か月前
東レ株式会社
引抜成形品の製造方法
3か月前
東ソー株式会社
ゴム用接着性改質剤
1か月前
東ソー株式会社
プラスチゾル組成物
29日前
横浜ゴム株式会社
重荷重タイヤ
2か月前
東レ株式会社
ポリプロピレンフィルム
2か月前
東ソー株式会社
樹脂組成物および蓋材
2か月前
東ソー株式会社
エチレン系重合用触媒
1か月前
東ソー株式会社
樹脂組成物および蓋材
2か月前
株式会社信日康
香料を含有するポリマー
1日前
株式会社信日康
香料を含有するポリマー
1日前
株式会社スリーボンド
硬化性樹脂組成物
2か月前
アイカ工業株式会社
光硬化性樹脂組成物
2か月前
続きを見る
他の特許を見る