TOP
|
特許
|
意匠
|
商標
特許ウォッチ
Twitter
他の特許を見る
公開番号
2025175874
公報種別
公開特許公報(A)
公開日
2025-12-03
出願番号
2024082187
出願日
2024-05-20
発明の名称
包装体
出願人
三菱ケミカル株式会社
代理人
個人
,
個人
,
個人
主分類
A61F
9/007 20060101AFI20251126BHJP(医学または獣医学;衛生学)
要約
【課題】保管時に眼科用医療器具に薬剤を担持させることができ、使用時に眼科用医療器具から薬剤が放出される包装体を提供する。
【解決手段】眼科用医療器具、薬剤及び保存液を含む包装体であって、前記眼科用医療器具が、アミン構造を含むモノマーに由来する構成単位を含む樹脂を含むハイドロゲルを含み、前記保存液のpHが6.5以下であることを特徴とする、包装体。
【選択図】なし
特許請求の範囲
【請求項1】
眼科用医療器具、薬剤及び保存液を含む包装体であって、
前記眼科用医療器具が、アミン構造を含むモノマーに由来する構成単位を含む樹脂を含むハイドロゲルを含み、
前記保存液のpHが6.5以下であることを特徴とする、包装体。
続きを表示(約 570 文字)
【請求項2】
前記保存液が、リン酸緩衝生理食塩水を含む、請求項1に記載の包装体。
【請求項3】
前記アミン構造が、3級アミン構造である、請求項1又は2に記載の包装体。
【請求項4】
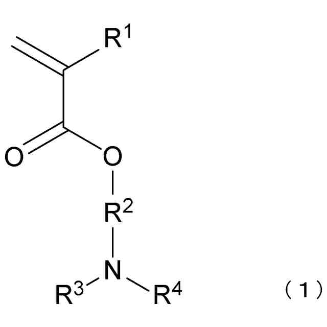
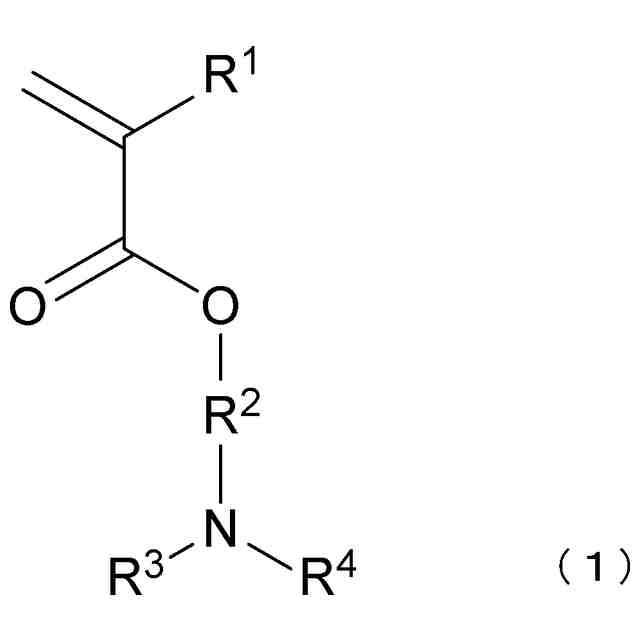
前記アミン構造を含むモノマーが、下記式(1)で表される、請求項1又は2に記載の包装体。
TIFF
2025175874000005.tif
58
170
ただし、R
1
は水素原子又はアルキル基であり、R
2
はアルキレン基であり、R
3
及びR
4
はそれぞれ独立にアルキル基である。
【請求項5】
前記樹脂が、前記アミン構造を含むモノマー以外の他のモノマーに由来する構成単位を含み、
前記アミン構造を含むモノマーに由来する構成単位の含有量が、前記アミン構造を含むモノマーと前記他のモノマーに由来する構成単位との合計に対し、10~90モル%である、請求項1又は2に記載の包装体。
【請求項6】
前記薬剤が、アニオン性薬剤を含む、請求項1又は2に記載の包装体。
【請求項7】
前記保存液が、二酸化炭素が供給されたものである、請求項1又は2に記載の包装体。
発明の詳細な説明
【技術分野】
【0001】
本発明は、眼科用医療器具、薬剤及び保存液を含む包装体に関する。
続きを表示(約 2,000 文字)
【背景技術】
【0002】
治療のための薬剤を含む眼科用医療器具を装着することで、眼中の患部に薬剤を長期間に渡って送出できる様、薬剤の徐放性を有する眼科用医療器具が検討されている。かかる眼科用医療器具として、薬剤を担持したハイドロゲルコンタクトレンズが知られている(特許文献1)。
【0003】
ハイドロゲルコンタクトレンズは一般に、保存液とともに密閉包装されて保管される。
保存液に特定の重合体を含有させることで、ハイドロゲルコンタクトレンズ表面へ親水性及び潤滑性を付与することが提案されている(特許文献2)。
【先行技術文献】
【特許文献】
【0004】
特表2008-539837号公報
特開2022-151117号公報
【発明の概要】
【発明が解決しようとする課題】
【0005】
本発明者は、ハイドロゲルを含む眼科用医療器具及び保存液とともに薬剤を包装することで、保管中に薬剤をハイドロゲルに担持させることを検討した。しかし、徐放性を有するようなハイドロゲルは、薬剤が含浸しにくいという問題があった。また、薬剤が含浸しても、ハイドロゲル中に担持されず、保存液中に溶出するという問題もあった。
【0006】
本発明は、保管中に眼科用医療器具に薬剤を担持させることができ、使用時に眼科用医療器具から薬剤が放出される包装体を提供することを目的とする。
【課題を解決するための手段】
【0007】
本発明は、以下の態様を有する。
[1]眼科用医療器具、薬剤及び保存液を含む包装体であって、
前記眼科用医療器具が、アミン構造を含むモノマーに由来する構成単位を含む樹脂を含むハイドロゲルを含み、
前記保存液のpHが6.5以下であることを特徴とする、包装体。
[2]前記保存液が、リン酸緩衝生理食塩水を含む、前記[1]に記載の包装体。
[3]前記アミン構造が、3級アミン構造である、前記[1]又は[2]に記載の包装体。
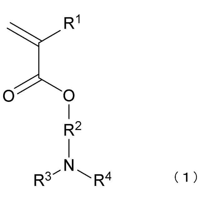
[4]前記アミン構造を含むモノマーが、下記式(1)で表される、前記[1]~[3]のいずれかに記載の包装体。
TIFF
2025175874000001.tif
58
170
ただし、R
1
は水素原子又はアルキル基であり、R
2
はアルキレン基であり、R
3
及びR
4
はそれぞれ独立にアルキル基である。
[5]前記樹脂が、前記アミン構造を含むモノマー以外の他のモノマーに由来する構成単位を含み、
前記アミン構造を含むモノマーに由来する構成単位の含有量が、前記アミン構造を含むモノマーと前記他のモノマーに由来する構成単位との合計に対し、10~90モル%である、前記[1]~[4]のいずれかに記載の包装体。
[6]前記薬剤が、アニオン性薬剤を含む、前記[1]~[5]のいずれかに記載の包装体。
[7]前記保存液が、二酸化炭素が供給されたものである、前記[1]~[6]のいずれかに記載の包装体。
【発明の効果】
【0008】
本発明によれば、保管中に眼科用医療器具に薬剤を担持させることができ、使用時に眼科用医療器具から薬剤が放出される包装体を提供できる。
【発明を実施するための形態】
【0009】
本明細書において、「ハイドロゲル」とは、重合体の分子鎖同士が物理的又は化学的に架橋されて形成された網目構造を有し、この網目構造に水を取り込んで膨潤する構造体である。
「モノマー」は重合性不飽和基を1つ有する化合物である。重合性不飽和基としては、例えば、α位の炭素原子に結合する水素原子が置換基(例えばアルキル基)で置換されていてもよいアクリロイル基(以下、(α置換)アクリロイル基ともいう。)、ビニル基、アリル基が挙げられる。
「アクリル系モノマー」は、重合性不飽和基として(α置換)アクリロイル基を有するモノマーである。
「(メタ)アクリレート」はアクリレート及びメタクリレートの総称である。「(メタ)アクリル酸」、「(メタ)アクリロニトリル」、「(メタ)アクリルアミド」、「(メタ)アクリロイル基」も同様である。
数値範囲を示す「~」は、その前後に記載された数値を下限値及び上限値として含むことを意味する。
【0010】
〔包装体〕
本発明の一実施形態に係る包装体は、眼科用医療器具、薬剤及び保存液を含む。
(【0011】以降は省略されています)
この特許をJ-PlatPat(特許庁公式サイト)で参照する
関連特許
三菱ケミカル株式会社
積層体
1日前
三菱ケミカル株式会社
包装体
3日前
三菱ケミカル株式会社
モーター用絶縁フィルム及びモーター
16日前
三菱ケミカル株式会社
樹脂組成物、ペレット、および、成形品
16日前
三菱ケミカル株式会社
樹脂組成物、ペレット、および、成形品
16日前
三菱ケミカル株式会社
触媒およびそれを用いるメタノールの製造方法
16日前
三菱ケミカル株式会社
吸放湿性を有する高分子組成物、及び、調湿材料
1日前
三菱ケミカル株式会社
オリゴマー、オリゴマーの製造方法、および、重合体の製造方法
2日前
三菱ケミカル株式会社
画像表示用導光板
8日前
三菱ケミカル株式会社
粘着剤用樹脂組成物
1日前
三菱ケミカル株式会社
包装材用フィルム、包装材、積層体及び包装材用フィルムの製造方法
8日前
三菱ケミカル株式会社
非水系電解液二次電池
1日前
三菱ケミカル株式会社
シリカゾルの製造方法及び研磨方法
22日前
三菱ケミカル株式会社
ポリエステルフィルム、及びその製造方法
22日前
三菱ケミカル株式会社
ポリエステルフィルム、及びその製造方法
22日前
三菱ケミカル株式会社
ポリエステルフィルム、及びその製造方法
22日前
公立大学法人北九州市立大学
有機化合物含有高分子粒子の製造方法及び希土類元素分離精製方法
3日前
三菱ケミカル株式会社
シートモールディングコンパウンドの製造方法およびシートモールディングコンパウンド製造装置
16日前
三菱ケミカル株式会社
テレフタル酸と1,4-ブタンジオールの組成物とそれを用いたポリブチレンテレフタレートの製造方法
2日前
三菱ケミカル株式会社
自己組織化炭素繊維束及びその製造方法と、プリプレグ及びその製造方法
24日前
三菱ケミカル株式会社
金属積層用フィルム、フィルム箔、電池集電体用フィルム箔、及び電池集電体
8日前
三菱ケミカル株式会社
テレフタル酸と1,4-ブタンジオールのスラリー組成物及びその製造方法とそれを用いたポリブチレンテレフタレートの製造方法
29日前
三菱ケミカル株式会社
触媒、触媒の製造方法、並びにα,β-不飽和アルデヒド、α,β-不飽和カルボン酸、及びα,β-不飽和カルボン酸エステルの製造方法
18日前
個人
貼付剤
1か月前
個人
簡易担架
22日前
個人
足踏み器具
29日前
個人
短下肢装具
4か月前
個人
腋臭防止剤
22日前
個人
嚥下鍛錬装置
5か月前
個人
前腕誘導装置
4か月前
個人
排尿補助器具
1か月前
個人
腰ベルト
1か月前
個人
バッグ式オムツ
5か月前
個人
アイマスク装置
3か月前
個人
テスト肺
3日前
個人
歯の修復用材料
5か月前
続きを見る
他の特許を見る