TOP
|
特許
|
意匠
|
商標
特許ウォッチ
Twitter
他の特許を見る
10個以上の画像は省略されています。
公開番号
2025151968
公報種別
公開特許公報(A)
公開日
2025-10-09
出願番号
2024053625
出願日
2024-03-28
発明の名称
化合物、並びにその製造方法及びその使用
出願人
三菱ケミカル株式会社
,
国立大学法人 東京大学
代理人
弁理士法人 HARAKENZO WORLD PATENT & TRADEMARK
主分類
C07C
13/465 20060101AFI20251002BHJP(有機化学)
要約
【課題】有機溶媒に対して高い溶解性を有する新規芳香族縮合環化合物を提供する。
【解決手段】本発明の一態様に係る化合物は、下記式(I)又は下記式(II)で表される。
<com:Image com:imageContentCategory="Drawing"> <com:ImageFormatCategory>JPEG</com:ImageFormatCategory> <com:FileName>2025151968000066.jpg</com:FileName> <com:HeightMeasure com:measureUnitCode="Mm">72</com:HeightMeasure> <com:WidthMeasure com:measureUnitCode="Mm">140</com:WidthMeasure> </com:Image>
【選択図】なし
特許請求の範囲
【請求項1】
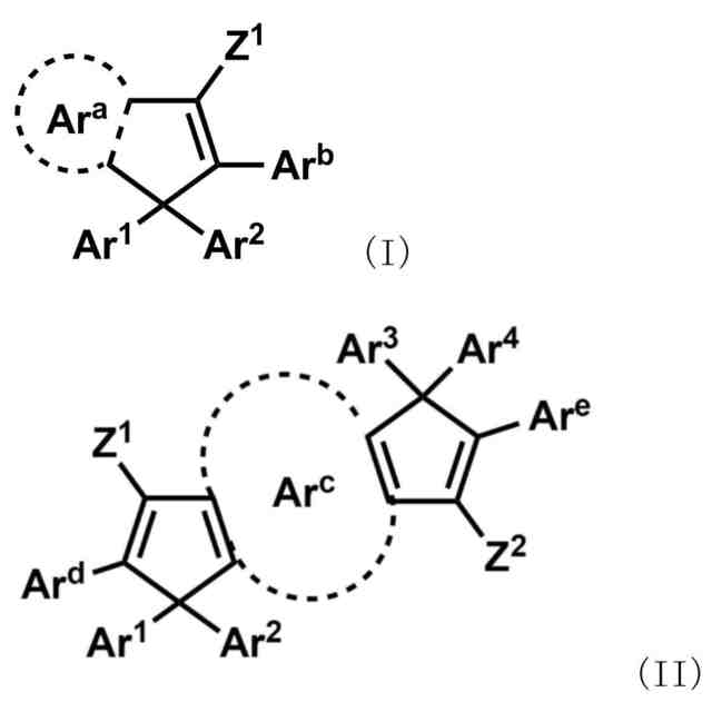
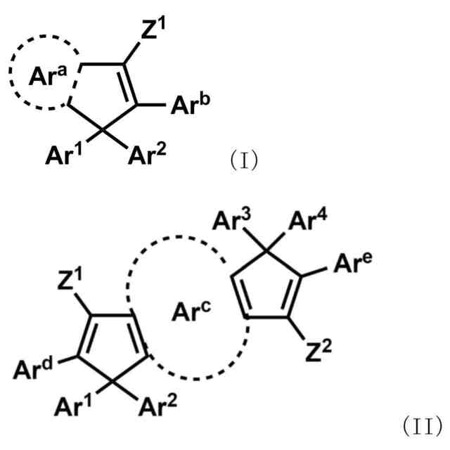
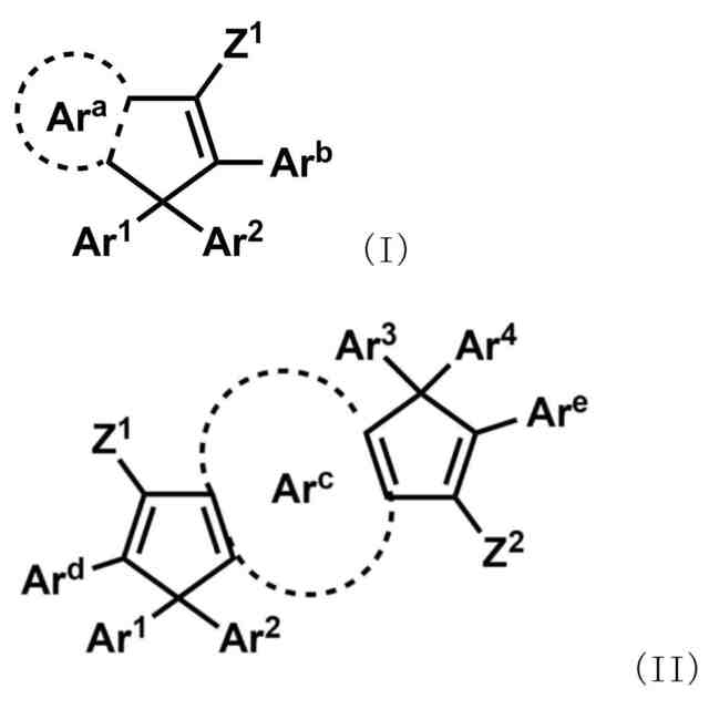
下記式(I)又は下記式(II)で表される化合物。
JPEG
2025151968000059.jpg
72
140
(前記式(I)中、Ar
a
及びAr
b
は、それぞれ独立に、置換基を有していてもよい芳香族炭化水素環又は置換基を有していてもよい芳香族複素環を表し、
Ar
1
及びAr
2
は、それぞれ独立に、置換基を有していてもよい芳香族炭化水素環基又は置換基を有していてもよい芳香族複素環基を表し、
Ar
1
とAr
2
とは、直接又はリンカーを介して互いに結合し、かつ、任意の置換基を有していてもよく、
Z
1
は、水素原子又は任意の置換基を表し;
前記式(II)中、Ar
c
、Ar
d
及びAr
e
は、それぞれ独立に、置換基を有していてもよい芳香族炭化水素環又は置換基を有していてもよい芳香族複素環を表し、
Ar
1
、Ar
2
、Ar
3
及びAr
4
は、それぞれ独立に、置換基を有していてもよい芳香族炭化水素環基又は置換基を有していてもよい芳香族複素環基を表し、
Ar
1
とAr
2
、及び、Ar
3
とAr
4
は、それぞれ、直接又はリンカーを介して互いに結合し、かつ、任意の置換基を有していてもよく、
Z
1
及びZ
2
は、それぞれ独立に、水素原子又は任意の置換基を表す。)
続きを表示(約 3,300 文字)
【請求項2】
前記式(I)で表される化合物が、該Ar
1
とAr
2
とが直接又はリンカーを介して互いに結合していない化合物に対して、クロロベンゼン溶媒への溶解度が2倍以上であり、
前記式(II)で表される化合物が、該Ar
1
とAr
2
、及び、Ar
3
とAr
4
が直接又はリンカーを介して互いに結合していない化合物に対して、クロロベンゼン溶媒への溶解度が2倍以上である、
請求項1に記載の化合物。
【請求項3】
下記式(IV)又は下記式(V)で表される化合物と求核試薬とから生成するアニオン中間体を、二価の亜鉛化合物と式(III)で表されるジアミン誘導体との共存下、環化させる製造工程を含む、請求項1又は2に記載の化合物の製造方法。
JPEG
2025151968000060.jpg
25
139
(前記式(III)中、R
1
、R
2
、R
3
、及びR
4
は、それぞれ独立に、置換基を有していてもよい脂肪族炭化水素基、置換基を有していてもよい芳香族炭化水素環又は置換基を有していてもよい芳香族複素環を表し、nは、1~4の整数を表す。)
JPEG
2025151968000061.jpg
70
141
(前記式(IV)及び前記式(V)におけるAr
a
、Ar
b
、Ar
c
、Ar
d
、Ar
e
、Ar
1
、Ar
2
、Ar
3
、及びAr
4
はそれぞれ、前記式(I)又は式(II)におけるAr
a
、Ar
b
、Ar
c
、Ar
d
、Ar
e
、Ar
1
、Ar
2
、Ar
3
、及びAr
4
と同義である。)
【請求項4】
下記式(VI)又は下記式(VII)で表される化合物のZn化された中間体に対し、遷移金属触媒を添加し、系中でタンデムカップリング反応を行う工程をさらに含む、
請求項3に記載の化合物の製造方法。
JPEG
2025151968000062.jpg
70
141
(前記式(VI)及び前記式(VII)におけるAr
a
、Ar
b
、Ar
c
、Ar
d
、Ar
e
、Ar
1
、Ar
2
、Ar
3
、及びAr
4
はそれぞれ、前記式(I)又は式(II)におけるAr
a
、Ar
b
、Ar
c
、Ar
d
、Ar
e
、Ar
1
、Ar
2
、Ar
3
、及びAr
4
と同義である。)
【請求項5】
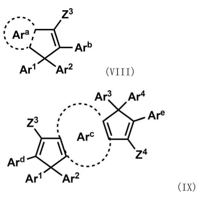
下記式(VI)又は下記式(VII)で表される化合物のZn化中間体に対し、ハロゲン化化合物、ホウ素化化合物又はトリアルキルスズ化化合物を添加し、下記式(VIII)又は下記式(IX)で表される化合物を製造する工程をさらに含む、
請求項3に記載の化合物の製造方法。
JPEG
2025151968000063.jpg
70
140
(前記式(VI)及び前記式(VII)におけるAr
a
、Ar
b
、Ar
c
、Ar
d
、Ar
e
、Ar
1
、Ar
2
、Ar
3
、及びAr
4
はそれぞれ、前記式(I)又は式(II)におけるAr
a
、Ar
b
、Ar
c
、Ar
d
、Ar
e
、Ar
1
、Ar
2
、Ar
3
、及びAr
4
と同義である。)
JPEG
2025151968000064.jpg
71
139
(前記式(VIII)及び前記式(IX)におけるAr
a
、Ar
b
、Ar
c
、Ar
d
、Ar
e
、Ar
1
、Ar
2
、Ar
3
、及びAr
4
はそれぞれ、前記式(I)又は式(II)におけるAr
a
、Ar
b
、Ar
c
、Ar
d
、Ar
e
、Ar
1
、Ar
2
、Ar
3
、及びAr
4
と同義であり、Z
3
及びZ
4
は、それぞれ独立に、ハロゲン原子、置換基を有するホウ素原子、又は置換基を有するスズ原子を表す。)
【請求項6】
請求項1に記載の化合物を含有する組成物。
【請求項7】
下記式(I)又は下記式(II)で表される骨格を有する有機半導体化合物。
JPEG
2025151968000065.jpg
72
140
(前記式(I)中、Ar
a
及びAr
b
は、それぞれ独立に、置換基を有していてもよい芳香族炭化水素環又は置換基を有していてもよい芳香族複素環を表し、
Ar
1
及びAr
2
は、それぞれ独立に、置換基を有していてもよい芳香族炭化水素環基又は置換基を有していてもよい芳香族複素環基を表し、
Ar
1
とAr
2
とは、直接又はリンカーを介して互いに結合し、かつ、任意の置換基を有していてもよく、
Z
1
は、水素原子又は任意の置換基を表し;
前記式(II)中、Ar
c
、Ar
d
及びAr
e
は、それぞれ独立に、置換基を有していてもよい芳香族炭化水素環又は置換基を有していてもよい芳香族複素環を表す。
Ar
1
、Ar
2
、Ar
3
及びAr
4
は、それぞれ独立に、置換基を有していてもよい芳香族炭化水素環基又は置換基を有していてもよい芳香族複素環基を表し、Ar
1
とAr
2
、及び、Ar
3
とAr
4
は、それぞれ、直接又はリンカーを介して互いに結合し、かつ、任意の置換基を有していてもよく、
Z
1
及びZ
2
は、それぞれ独立に、水素原子又は任意の置換基を表す。)
【請求項8】
請求項7に記載の有機半導体化合物を含む有機半導体デバイス膜を備える有機半導体デバイス。
【請求項9】
請求項7に記載の有機半導体化合物と、有機溶媒とを含有する、有機半導体デバイス用膜形成用インク。
発明の詳細な説明
【技術分野】
【0001】
本発明は、化合物、並びにその製造方法及びその使用に関する。
続きを表示(約 1,300 文字)
【背景技術】
【0002】
芳香族縮合環は、機能性分子の分子母骨格として広く応用されており、例えば、有機半導体材料や、有機-無機半導体である、有機エレクトロルミネッセンス(OLED)、有機薄膜太陽電池(OPV)、有機電界効果トランジスタ(OFET)、ペロブスカイト太陽電池、ペロブスカイト量子ドットなどの多層薄膜有機半導体に用いる、正孔輸送材料、正孔導入材料、正孔取り出し材料、電子輸送材料、電子導入材料、電子取り出し材料、ホスト材料などの母骨格として用いられている(例えば、非特許文献1)。芳香族縮合環を有する化合物は「芳香族縮合環化合物」と呼ばれる。
【0003】
正孔又は電子輸送性の芳香族縮合環化合物の有機半導体を用いて多層薄膜を製造するには、芳香族縮合環化合物の有機溶媒に対する溶解性の向上が不可欠であるが、一般的に、芳香族縮合環化合物の有機溶媒に対する溶解性は非常に悪い。
【0004】
これに対し、従来、芳香族縮合環化合物への長鎖アルキル基の導入、液晶型分子化、オリゴマー化などにより溶解性を確保する手法が採られている(非特許文献2)。
【0005】
また、芳香族縮合環化合物自体の溶解性を向上させることにより、塗布法に適用する検討もなされている(非特許文献3)。
【0006】
また、芳香族縮合環化合物、特に芳香族複素環化合物の製造方法は、限定的で、従来は貴金属触媒、特にパラジウム触媒を用いた環構築が行われてきた(非特許文献4)。
【先行技術文献】
【非特許文献】
【0007】
Journal of the American Chemical Society, 131, 13596-13597(2009).
Macromol. Rapid Commun., 30, 1179-1202 (2009)
Solution-Processed Organic Light-emitting Devices, 2024年 Elsevier刊
Science, 359, 435-439 (2018)
【発明の概要】
【発明が解決しようとする課題】
【0008】
しかし、芳香族縮合環化合物への溶解性向上部位導入によって溶解性を確保する従来技術では、これらの溶解性向上部位導入による溶解性向上効果が限定的な上に、正孔や電子移動に必要な一分子中の芳香族縮合環の割合を相対的に減じるという大きな欠点がある。加えて、分子内振動が大きくなり、半導体としての機能が低下する問題もある。
【0009】
このため、従来の芳香族縮合環化合物を、有機溶媒に溶解させる塗布法に適用するには限界があり、このことが実用化の妨げとなっている。
【0010】
よって、OLEDスマートフォンやOLEDテレビには、蒸着法が適用されているのが現状である。
(【0011】以降は省略されています)
この特許をJ-PlatPat(特許庁公式サイト)で参照する
関連特許
三菱ケミカル株式会社
樹脂ペレット群
20日前
三菱ケミカル株式会社
成形品の製造方法
24日前
三菱ケミカル株式会社
精製ガスの製造方法
24日前
三菱ケミカル株式会社
加工食品用粉体静菌剤
20日前
三菱ケミカル株式会社
コロイド結晶層を含む積層体
20日前
三菱ケミカル株式会社
構造発色用水系分散液組成物
20日前
三菱ケミカル株式会社
熱可塑性樹脂組成物及び成形品
20日前
三菱ケミカル株式会社
重合体および重合体の製造方法
10日前
三菱ケミカル株式会社
ポリアミド系樹脂フィルム、包装体
20日前
三菱ケミカル株式会社
有機電界発光素子、表示装置、照明装置
24日前
三菱ケミカル株式会社
樹脂組成物、ペレット、および、成形品
24日前
三菱ケミカル株式会社
共振シート部材、およびこれを備えた構造体
20日前
三菱ケミカル株式会社
建材用金属酸化物層被覆体、及びその製造方法
24日前
三菱ケミカル株式会社
重合体、樹脂用添加剤、樹脂組成物およびその成形体
20日前
三菱ケミカル株式会社
熱電変換材料、熱電変換モジュール、および熱流センサ
4日前
三菱ケミカル株式会社
フィルム、深絞り包装用フィルム、及びリサイクルフィルム
24日前
三菱ケミカル株式会社
活性エネルギー線硬化性剥離型粘着剤組成物および粘着シート
6日前
三菱ケミカル株式会社
共重合体、共重合体の製造方法、及び低分子量化合物含浸粒子
17日前
三菱ケミカル株式会社
ポリエチレンナフタレート樹脂組成物及びポリエステルフィルム
20日前
三菱ケミカル株式会社
有機電界発光素子、並びに、これを備える表示装置及び照明装置
24日前
三菱ケミカル株式会社
熱可塑性樹脂成形体の製造方法、および、熱可塑性樹脂フィルム
24日前
三菱ケミカル株式会社
プレススルーパッケージ蓋材フィルム及びプレススルーパッケージ
20日前
三菱ケミカル株式会社
コーティング組成物、コーティング層を有する構造体、及びその製造方法
7日前
三菱ケミカル株式会社
不飽和カルボン酸合成用触媒の製造方法、および、不飽和カルボン酸合成用触媒
24日前
三菱ケミカル株式会社
不飽和カルボン酸合成用触媒の製造方法、および、不飽和カルボン酸合成用触媒
24日前
三菱ケミカル株式会社
不飽和カルボン酸合成用触媒の製造方法、および、不飽和カルボン酸合成用触媒
24日前
三菱ケミカル株式会社
有機電界発光素子用の組成物、有機電界発光素子とその製造方法、及び表示装置
24日前
国立大学法人 東京大学
熱電変換材料、熱電変換モジュール、および熱流センサ
4日前
三菱ケミカル株式会社
軽質炭化水素の部分酸化触媒、合成ガスの製造方法、及び部分酸化触媒の製造方法
18日前
三菱ケミカル株式会社
樹脂組成物(W)の製造方法、成形品の製造方法、樹脂組成物(W)、および、成形品
24日前
三菱ケミカル株式会社
ポリカーボネート樹脂の解重合方法、反応槽処理方法、反応槽後処理方法、および、ポリカーボネート樹脂の製造方法
24日前
三菱ケミカル株式会社
粘着シート、離型フィルム付き粘着シート、画像表示装置用積層体、画像表示装置、及び画像表示装置構成部材用粘着シート
24日前
三菱ケミカル株式会社
オルガノポリシロキサン、オルガノポリシロキサン含有硬化性樹脂組成物及びその硬化物、近赤外光導波路及び近赤外光伝送部材
20日前
三菱ケミカル株式会社
レゾール型フェノール樹脂、接着剤、及びレゾール型フェノール樹脂の製造方法
20日前
三菱ケミカル株式会社
ポリエステル系粘着剤組成物、粘着剤、粘着シート、および粘着剤層付き光学部材
17日前
クミアイ化学工業株式会社
多形
4日前
続きを見る
他の特許を見る