TOP
|
特許
|
意匠
|
商標
特許ウォッチ
Twitter
他の特許を見る
10個以上の画像は省略されています。
公開番号
2025158841
公報種別
公開特許公報(A)
公開日
2025-10-17
出願番号
2024061750
出願日
2024-04-05
発明の名称
共重合体、共重合体の製造方法、及び低分子量化合物含浸粒子
出願人
三菱ケミカル株式会社
,
ナンヤン テクノロジカル ユニヴァーシティー
代理人
個人
,
個人
,
個人
主分類
C08F
293/00 20060101AFI20251009BHJP(有機高分子化合物;その製造または化学的加工;それに基づく組成物)
要約
【課題】スターポリマーとしての共重合体及びその製造方法に関する有益な改良を提供することを課題とする。
【解決手段】マクロモノマー(A)に由来する複数のブロックセグメントAと、分子内にビニル基を1個有するビニル単量体(B)に由来する構成単位(b)のみからなる複数のブロックセグメントBと、分子内に2個以上のビニル基を有するビニル単量体(C1)に由来する構成単位の割合が10モル%以上である複数のブロックセグメントCと、を有し、前記複数のブロックセグメントCは互いに架橋された架橋構造を有し、前記架橋構造がヨウ素末端を有する、共重合体。
【選択図】図1
特許請求の範囲
【請求項1】
マクロモノマー(A)に由来する複数のブロックセグメントAと、分子内にビニル基を1個有するビニル単量体(B)に由来する構成単位(b)のみからなる複数のブロックセグメントBと、分子内に2個以上のビニル基を有するビニル単量体(C1)に由来する構成単位(c1)の割合が10モル%以上である複数のブロックセグメントCと、を有し、
前記複数のブロックセグメントCは互いに架橋された架橋構造を有し、前記架橋構造がヨウ素末端を有する、共重合体。
続きを表示(約 1,300 文字)
【請求項2】
前記ブロックセグメントBが分岐構造を有し、主鎖と分岐鎖が同じ構成単位である、請求項1に記載の共重合体。
【請求項3】
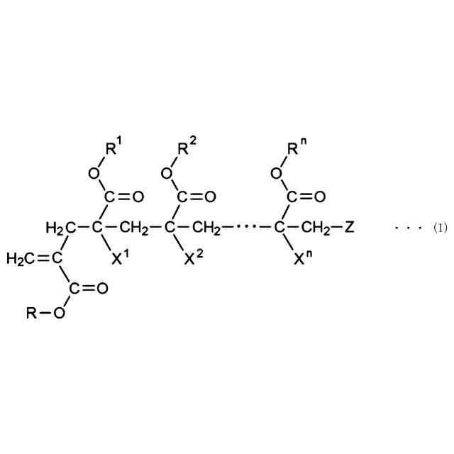
前記マクロモノマー(A)が、下記式(I)で表されるマクロモノマーである、請求項1に記載の共重合体。
TIFF
2025158841000012.tif
69
170
(式(I)中、R及びR
1
~R
n
は、それぞれ独立に、水素原子、アルキル基、シクロアルキル基、アリール基又は複素環基である。Zは、水素原子又はラジカル重合開始剤由来の基である。X
1
~X
n
は、それぞれ独立に水素原子又はメチル基である。nは2~10,000の整数である。)
【請求項4】
前記ビニル単量体(B)が、スチレン系単量体、メタクリレート系単量体及びアクリレート系単量体からなる群から選ばれる少なくとも1種である、請求項1に記載の共重合体。
【請求項5】
マクロモノマー(A)、分子内にビニル基を1個有するビニル単量体(B)、及び有機ヨウ素化合物(D)を含む重合性組成物(M11)を重合してブロック共重合体からなるマクロ開始剤を得ることと、
前記マクロ開始剤及びビニル単量体(C)を含む重合性組成物(M21)を重合することと、を含み、
前記ビニル単量体(C)は、分子内に2個以上のビニル基を有するビニル単量体(C1)を10モル%以上含む、共重合体の製造方法。
【請求項6】
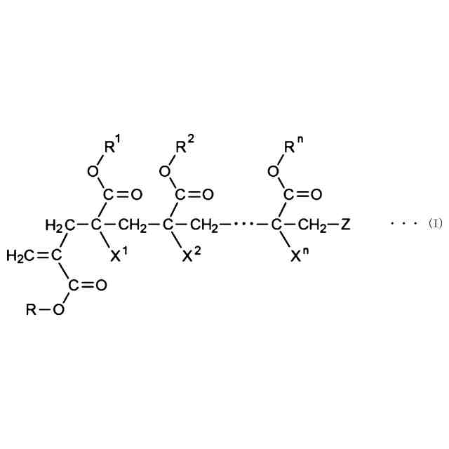
前記マクロモノマー(A)が、下記式(I)で表されるマクロモノマーである、請求項5に記載の共重合体の製造方法。
TIFF
2025158841000013.tif
69
170
(式(I)中、R及びR
1
~R
n
は、それぞれ独立に、水素原子、アルキル基、シクロアルキル基、アリール基又は複素環基である。Zは、水素原子又はラジカル重合開始剤由来の基である。X
1
~X
n
は、それぞれ独立に水素原子又はメチル基である。nは2~10,000の整数である。)
【請求項7】
前記重合性組成物(M11)が触媒(E)及びアゾ系ラジカル重合開始剤(F)のいずれか一方又は両方をさらに含む、請求項5に記載の共重合体の製造方法。
【請求項8】
前記重合性組成物(M21)が触媒(G)をさらに含む、請求項5に記載の共重合体の製造方法。
【請求項9】
前記重合性組成物(M11)を重合して得た組成物を精製して前記マクロ開始剤を回収することをさらに含む、請求項5に記載の共重合体の製造方法。
【請求項10】
前記重合性組成物(M11)を重合して得た組成物を精製せず、前記ビニル単量体(C1)を加えて前記重合性組成物(M21)として重合を行う、請求項5に記載の共重合体の製造方法。
(【請求項11】以降は省略されています)
発明の詳細な説明
【技術分野】
【0001】
本発明は、共重合体、共重合体の製造方法、及び低分子量化合物含浸粒子に関する。
続きを表示(約 4,300 文字)
【背景技術】
【0002】
スターポリマーは、中心部のコアから放射状に伸びる複数のアーム構造を有し、バイオイメージング、バイオセンシング、触媒、エネルギー貯蔵、農業用途等の様々な分野で大きな関心を集めている。スターポリマーの製造方法としては、リビングラジカル重合が広く用いられている。
【0003】
リビングラジカル重合法として、特許文献1には可逆的移動触媒重合法(RTCP法)、特許文献2及び3には可逆的錯体形成媒介重合法(RCMP法)が開示されている。しかし、これらの方法は数平均分子量が10万以上の高分子量を有する重合体の合成は困難である。
特許文献4には、3本以上のアーム構造を有する共重合体として、分子内に2個以上のビニル基を有する単量体に由来する構成単位からなるブロックセグメントを含むブロックポリマー鎖を有し、前記ブロックセグメントが共重合体の中心部で架橋構造を形成し、該架橋構造にヨウ素末端を有する共重合体が開示されている。
【先行技術文献】
【特許文献】
【0004】
国際公開第2008/139980号
国際公開第2011/016166号
国際公開第2013/027419号
特開2022-153259号公報
【発明の概要】
【発明が解決しようとする課題】
【0005】
本発明の主たる目的は、スターポリマーとしての共重合体及びその製造方法に関する有益な改良を提供することにある。
【課題を解決するための手段】
【0006】
本発明は、以下の構成を含む。
[1]マクロモノマー(A)に由来する複数のブロックセグメントAと、分子内にビニル基を1個有するビニル単量体(B)に由来する構成単位(b)のみからなる複数のブロックセグメントBと、分子内に2個以上のビニル基を有するビニル単量体(C1)に由来する構成単位(c1)の割合が10モル%以上である複数のブロックセグメントCと、を有し、
前記複数のブロックセグメントCは互いに架橋された架橋構造を有し、前記架橋構造がヨウ素末端を有する、共重合体。
[2]前記ブロックセグメントBが分岐構造を有し、主鎖と分岐鎖が同じ構成単位である、[1]に記載の共重合体。
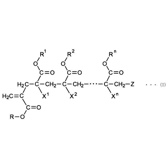
[3]前記マクロモノマー(A)が、下記式(I)で表されるマクロモノマーである、[1]又は[2]に記載の共重合体。
TIFF
2025158841000002.tif
71
170
(式(I)中、R及びR
1
~R
n
は、それぞれ独立に、水素原子、アルキル基、シクロアルキル基、アリール基又は複素環基である。Zは、水素原子又はラジカル重合開始剤由来の基である。X
1
~X
n
は、それぞれ独立に水素原子又はメチル基である。nは2~10,000の整数である。)
[4]前記ビニル単量体(B)が、スチレン系単量体、メタクリレート系単量体及びアクリレート系単量体からなる群から選ばれる少なくとも1種である、[1]~[3]のいずれかに記載の共重合体。
[5]マクロモノマー(A)、分子内にビニル基を1個有するビニル単量体(B)、及び有機ヨウ素化合物(D)を含む重合性組成物(M11)を重合してブロック共重合体からなるマクロ開始剤を得ることと、
前記マクロ開始剤及びビニル単量体(C)を含む重合性組成物(M21)を重合することと、を含み、
前記ビニル単量体(C)は、分子内に2個以上のビニル基を有するビニル単量体(C1)を10モル%以上含む、共重合体の製造方法。
[6]前記マクロモノマー(A)が、下記式(I)で表されるマクロモノマーである、[5]に記載の共重合体の製造方法。
TIFF
2025158841000003.tif
71
170
(式(I)中、R及びR
1
~R
n
は、それぞれ独立に、水素原子、アルキル基、シクロアルキル基、アリール基又は複素環基である。Zは、水素原子又はラジカル重合開始剤由来の基である。X
1
~X
n
は、それぞれ独立に水素原子又はメチル基である。nは2~10,000の整数である。)
[7]前記重合性組成物(M11)が触媒(E)及びアゾ系ラジカル重合開始剤(F)のいずれか一方又は両方をさらに含む、[5]又は[6]に記載の共重合体の製造方法。
[8]前記重合性組成物(M21)が触媒(G)をさらに含む、[5]~[7]のいずれかに記載の共重合体の製造方法。
[9]前記重合性組成物(M11)を重合して得た組成物を精製して前記マクロ開始剤を回収することをさらに含む、[5]~[8]のいずれかに記載の共重合体の製造方法。
[10]前記重合性組成物(M11)を重合して得た組成物を精製せず、前記ビニル単量体(C1)を加えて前記重合性組成物(M21)として重合を行う、[5]~[8]のいずれかに記載の共重合体の製造方法。
[11]マクロモノマー(A)、分子内にビニル基を1個有するビニル単量体(B)、アゾ系ラジカル重合開始剤(F)及びヨウ素を含む重合性組成物(M12)を重合してブロック共重合体からなるマクロ開始剤を得ることと、
前記マクロ開始剤及びビニル単量体(C)を含む重合性組成物(M22)を重合することと、を含み、
前記ビニル単量体(C)は、分子内に2個以上のビニル基を有するビニル単量体(C1)を10モル%以上含む、共重合体の製造方法。
[12]前記マクロモノマー(A)が、下記式(I)で表されるマクロモノマーである、[11]に記載の共重合体の製造方法。
TIFF
2025158841000004.tif
70
170
(式(I)中、R及びR
1
~R
n
は、それぞれ独立に、水素原子、アルキル基、シクロアルキル基、アリール基又は複素環基である。Zは、水素原子又はラジカル重合開始剤由来の基である。X
1
~X
n
は、それぞれ独立に水素原子又はメチル基である。nは2~10,000の整数である。)
[13]前記重合性組成物(M12)が触媒(E)をさらに含む、[11]又は[12]に記載の共重合体の製造方法。
[14]前記重合性組成物(M22)が触媒(G)をさらに含む、[11]~[13]のいずれかに記載の共重合体の製造方法。
[15]前記重合性組成物(M12)を重合して得た組成物を精製して前記マクロ開始剤を回収することをさらに含む、[11]~[14]のいずれかに記載の共重合体の製造方法。
[16]前記重合性組成物(M12)を重合して得た組成物を精製せず、前記ビニル単量体(C1)を加えて前記重合性組成物(M22)として重合を行う、[11]~[14]のいずれかに記載の共重合体の製造方法。
[17]前記ビニル単量体(B)が、スチレン系単量体、メタクリレート系単量体及びアクリレート系単量体からなる群から選ばれる少なくとも1種である、[5]~[16]のいずれかに記載の共重合体の製造方法。
[18][1]~[4]のいずれかに記載された共重合体に分子量1000以下の低分子量化合物が含浸された低分子量化合物含浸粒子。
【発明の効果】
【0007】
本発明によれば、スターポリマーとしての共重合体及びその製造方法に関する有益な改良が提供される。
【図面の簡単な説明】
【0008】
実施形態に係る共重合体の製造方法における1-ポット合成と2-ポット合成について模式的に示した説明図である。
図2(a)は、実験例1の工程(I-2)の重合をGPCピーク分離法で測定して得たGPCクロマトグラム、図2(b)は、実験例2の工程(I-2)の重合をGPCピーク分離法で測定して得たGPCクロマトグラム、図2(c)は、実験例1及び2の共重合体の粒径測定結果を示す図である。
図3(a)~(d)は、実験例3~6の工程(I-2)の重合をGPCピーク分離法で測定して得たGPCクロマトグラムを示す図である。
図4(a)は、実験例7の工程(I-2)の重合をGPCピーク分離法で測定して得たGPCクロマトグラム、図4(b)は、実験例8の工程(I-2)の重合をGPCピーク分離法で測定して得たGPCクロマトグラム、図4(c)は、実験例7及び8の共重合体の粒径測定結果を示す図である。
図5(a)は、実験例9の工程(I-2)の重合をGPCピーク分離法で測定して得たGPCクロマトグラム、図5(b)は、実験例9の共重合体の粒径測定結果を示す図である。
実験例12~15のPMMAフィルムの紫外可視透過スペクトル(200~800nm)を測定結果である。
【発明を実施するための形態】
【0009】
以下、本発明を実施するための形態について、詳細に説明するが、本発明は以下の記載に限定されるものではなく、その要旨の範囲内で種々に変形して実施できる。
【0010】
[用語の説明]
以下の用語の定義は、本明細書および特許請求の範囲にわたって適用される。
「構成単位」とは、単量体に由来する構成単位、すなわち単量体が重合することによって形成された構成単位、または重合体を処理することによって構成単位の一部が別の構造に変換された構成単位を意味する。
「ビニル単量体」とは、少なくとも1つのビニル基(炭素-炭素不飽和二重結合)を含む化合物を意味する。
「(メタ)アクリレート」とは、「アクリレート」又は「メタクリレート」を示す。
また、特に断らない限り、本明細書において「~」を用いて表される数値範囲は、「~」の前後に記載された数値を下限値及び上限値として含む範囲を意味する。
(【0011】以降は省略されています)
この特許をJ-PlatPat(特許庁公式サイト)で参照する
関連特許
株式会社カネカ
断熱材
1か月前
東ソー株式会社
ペレット
1か月前
ユニチカ株式会社
透明シート
2か月前
株式会社コバヤシ
成形体
2か月前
東ソー株式会社
エチレン系重合体
3日前
住友精化株式会社
吸水剤の製造方法
2か月前
東レ株式会社
ポリエステルフィルム
2か月前
東ソー株式会社
プラスチゾル組成物
1か月前
東レ株式会社
ポリエステルフィルム
1か月前
丸住製紙株式会社
変性パルプ
2か月前
東ソー株式会社
ゴム用接着性改質剤
1か月前
東レ株式会社
引抜成形品の製造方法
3か月前
東ソー株式会社
樹脂組成物および蓋材
2か月前
東ソー株式会社
樹脂組成物および蓋材
2か月前
横浜ゴム株式会社
重荷重タイヤ
2か月前
東ソー株式会社
エチレン系重合用触媒
1か月前
東レ株式会社
ポリプロピレンフィルム
2か月前
アイカ工業株式会社
光硬化性樹脂組成物
2か月前
日本特殊陶業株式会社
樹脂成形体
2か月前
UBE株式会社
衝撃吸収材
2か月前
株式会社信日康
香料を含有するポリマー
3日前
株式会社信日康
香料を含有するポリマー
3日前
株式会社スリーボンド
硬化性樹脂組成物
2か月前
住友ベークライト株式会社
ポリマー
1か月前
住友ベークライト株式会社
ポリマー
1か月前
東レ株式会社
シート、硬化物、硬化接着物
3日前
株式会社カネカ
硬化性組成物
2か月前
株式会社カネカ
シーリング材
1か月前
ノリタケ株式会社
担体構造体
2か月前
日本特殊陶業株式会社
賦形体
19日前
株式会社カネカ
硬化性組成物
3か月前
三洋化成工業株式会社
熱成形用樹脂組成物
2か月前
住友化学株式会社
樹脂組成物
2か月前
東レ株式会社
ポリエステル組成物の製造方法
2か月前
株式会社スリーボンド
湿気硬化型樹脂組成物
1か月前
ユニチカ株式会社
ポリアミド系樹脂フィルム
2か月前
続きを見る
他の特許を見る