TOP
|
特許
|
意匠
|
商標
特許ウォッチ
Twitter
他の特許を見る
10個以上の画像は省略されています。
公開番号
2025146486
公報種別
公開特許公報(A)
公開日
2025-10-03
出願番号
2024047302
出願日
2024-03-22
発明の名称
伝搬グラフ復元装置、伝搬グラフ復元方法、及びプログラム
出願人
NTT株式会社
代理人
弁理士法人ITOH
,
個人
,
個人
,
個人
主分類
G06N
7/01 20230101AFI20250926BHJP(計算;計数)
要約
【課題】確定的な挙動を示す事象についての伝搬グラフを構築する。
【解決手段】伝搬グラフ復元装置において、複数のコンポーネントを有する対象システムにおいて、各コンポーネントに対する確定的な挙動を示す事象の介入を決定する介入実行部と、前記介入の結果により得られる観測データに基づき、事象の連鎖的発生を記述する伝搬グラフを推定するグラフ構築部とを備える。
【選択図】図1
特許請求の範囲
【請求項1】
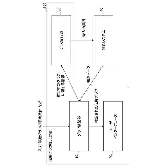
複数のコンポーネントを有する対象システムにおいて、各コンポーネントに対する確定的な挙動を示す事象の介入を決定する介入実行部と、
前記介入の結果により得られる観測データに基づき、事象の連鎖的発生を記述する伝搬グラフを推定するグラフ構築部と
を備える伝搬グラフ復元装置。
続きを表示(約 690 文字)
【請求項2】
前記介入実行部は、
前記グラフ構築部による推定の途中にある伝搬グラフの情報に基づいて、事象を発生させる介入と、事象の発生を防止し、かつ、事象の伝搬を遮断する介入とを組み合わせることにより、伝搬グラフを強連結成分に階層的に分解する介入実験を行う
請求項1に記載の伝搬グラフ復元装置。
【請求項3】
前記グラフ構築部は、
前記介入実行部により実行された介入により伝搬した事象の観測結果の包含関係に基づき、ハッセ図を構築することにより、伝搬グラフを推定する
請求項1に記載の伝搬グラフ復元装置。
【請求項4】
前記グラフ構築部は、
前記ハッセ図を構築することにより、強連結成分間の事象伝搬関係、強連結成分と頂点との間の事象伝搬関係、及び、頂点間の事象伝搬関係のうちの少なくともいずれか1つの事象伝搬関係を推定する
請求項3に記載の伝搬グラフ復元装置。
【請求項5】
コンピュータが実行する伝搬グラフ復元方法であって、
複数のコンポーネントを有する対象システムにおいて、各コンポーネントに対する確定的な挙動を示す事象の介入を決定する介入実行ステップと、
前記介入の結果により得られる観測データに基づき、事象の連鎖的発生を記述する伝搬グラフを推定するグラフ構築ステップと
を備える伝搬グラフ復元方法。
【請求項6】
コンピュータを、請求項1ないし4のうちいずれか1項に記載の伝搬グラフ復元装置における各部として機能させるためのプログラム。
発明の詳細な説明
【技術分野】
【0001】
本発明は、システムのコンポーネントの相互依存関係を把握するための技術に関連するものである。
続きを表示(約 1,900 文字)
【背景技術】
【0002】
ICTシステムの安定的運用において、システムのコンポーネントの相互依存関係を把握することは重要である。例えば、ネットワークシステムであれば、一つのネットワーク機器で発生したアラームに共起して他の機器にもアラームが上がるような現象が観測される場合、ネットワーク機器間の相互依存関係を把握した上で本質的なアラームを特定する必要がある。
【0003】
また、機器の異常状態がネットワーク上で伝搬するようなカスケード故障や連鎖的停止を未然に防ぐためにも、各種コンポーネントの相互依存関係の把握は欠かせない。近年、急速に普及が進むコンテナベースで構築されたマイクロサービスアーキテクチャにおいても、インフラの複雑さが増すにつれて、相互に通信するコンポーネントの数が増えており、同様の課題が生じている。
【0004】
システムのコンポーネント間の相互依存関係を把握する手段として、障害試験やカオスエンジニアリングの考え方がある。これは、検証システムや実運用システムにおいて、意図的に異常を挿入し、システムの挙動の観察、データ収集、対処の妥当性調査を行うアプローチである。
【0005】
コンポーネント間の相互依存関係の把握もここに含むことができる。具体的には、あるコンポーネントに異常を挿入した際に、他のコンポーネントにどのような影響が出ているかを分析し、異常を挿入するコンポーネントを変えながらこれを繰り返すことで、どのコンポーネント間にどのような依存関係が存在するかを把握することができる。
【0006】
このような問題は、変数間の因果グラフを構築する問題として定式化することができる。例えば従来技術(非特許文献1)では、各コンポーネントの状態を確率変数と考え、確率変数間が因果関係を持つとして、ある確率変数を任意の値に固定(これを「介入」と呼ぶ)した際の他の確率変数の実現値のデータや、何もしない場合の確率変数の実現値のデータを用いて、条件付き独立性判定などの分析を行う。これにより各確率変数間に存在する因果関係を抽出して因果グラフを構築する。他の技術も含め多くの場合、確率変数間の因果関係は有向非巡回グラフ(Directed Acyclic Graph: DAG)で表現できると仮定されている。
【0007】
一方で、現実的なシステムのコンポーネント間の依存関係を考えると、DAGの仮定が成立しないこともある。例えば、コンポーネントXがアラームを上げたとき、コンポーネントYでもアラームがあがり、同様にコンポーネントYがアラームを上げたとき、コンポーネントXでもアラームが上がるならば、XとYは相互に互いの「原因」と「結果」になりえるため、因果グラフは巡回を持ちDAGにはならない。このような巡回の存在を許容する有向巡回グラフ(Directed Cyclic Graph: DCG)を構築する既存技術としては非特許文献2に開示された技術がある。
【先行技術文献】
【非特許文献】
【0008】
Krishna, Rahul, et al. "CADET: A systematic method for debugging misconfigurations using counterfactual reasoning." arXiv preprint arXiv:2010.06061(2020).
Itani, Sleiman, et al. "Structure learning in causal cyclic networks."Causality: Objectives and assessment. PMLR, 2010.
【発明の概要】
【発明が解決しようとする課題】
【0009】
特定の条件下でのみ発生するアラームなどのように確定的な挙動を示す事象について、確率変数間にどのような伝搬ルールがあるのかを、事象の連鎖的発生を記述する伝搬グラフとして表現することで、現実的なシステムの各コンポーネント間の相互依存関係を容易に把握できる。しかし、従来技術では、確定的な挙動を示す事象についての伝搬グラフを構築できなかった。
【0010】
本発明は上記の点に鑑みてなされたものであり、確定的な挙動を示す事象についての伝搬グラフを構築するための技術を提供することを目的とする。
【課題を解決するための手段】
(【0011】以降は省略されています)
この特許をJ-PlatPat(特許庁公式サイト)で参照する
関連特許
NTT株式会社
光デバイス
23日前
NTT株式会社
圧力センサ
16日前
NTT株式会社
信号送信装置
24日前
NTT株式会社
光信号処理装置
25日前
NTT株式会社
推定装置及び推定方法
9日前
NTT株式会社
復号装置及び復号方法
1日前
NTT株式会社
解析装置および解析方法
15日前
NTT株式会社
量子計算装置、及び制御装置
1か月前
NTT株式会社
通信システム、及び通信方法
1か月前
NTT株式会社
光増幅器及び光増幅器監視方法
1か月前
NTT株式会社
音声抽出装置及び音声抽出方法
1か月前
NTT株式会社
秘匿計算システム及び秘匿計算方法
23日前
NTT株式会社
交通量推定装置及び交通量推定方法
9日前
NTT株式会社
無線通信方法及び無線通信システム
1か月前
NTT株式会社
通信システム、方法及びプログラム
1日前
NTT株式会社
検索装置、検索方法及びプログラム
23日前
NTT株式会社
通信システム、方法及びプログラム
1日前
NTT株式会社
秘匿計算システム及び秘匿計算方法
23日前
NTT株式会社
映像処理装置、方法及びプログラム
5日前
NTT株式会社
情報処理装置、方法およびプログラム
23日前
NTT株式会社
イオン伝送装置、及びイオン伝送方法
25日前
NTT株式会社
光ファイバの群遅延時間測定システム
15日前
NTT株式会社
推論装置、推論方法、及びプログラム
1か月前
NTT株式会社
データ解析装置、方法およびプログラム
23日前
NTT株式会社
座屈剥離構造の予測装置および予測方法
1日前
NTT株式会社
電子署名システム、方法及びプログラム
1日前
NTT株式会社
単一光子生成装置、及び単一光子生成方法
1か月前
NTT株式会社
生成システム、生成装置、および生成方法
1か月前
NTT株式会社
情報処理装置、情報処理方法及びプログラム
1か月前
NTT株式会社
周期検出装置、周期検出方法及びプログラム
1か月前
NTT株式会社
情報処理装置、情報処理方法及びプログラム
1か月前
NTT株式会社
通信制御システム、通信制御方法及びプログラム
1か月前
NTT株式会社
推論装置、学習装置、推論方法、及びプログラム
15日前
NTT株式会社
修辞構造解析装置、修辞構造解析方法及びプログラム
1か月前
NTT株式会社
情報処理システム、情報処理装置および情報処理方法
2日前
NTT株式会社
画像処理装置、画像処理方法及び画像処理プログラム
1か月前
続きを見る
他の特許を見る