TOP
|
特許
|
意匠
|
商標
特許ウォッチ
Twitter
他の特許を見る
公開番号
2025150513
公報種別
公開特許公報(A)
公開日
2025-10-09
出願番号
2024051421
出願日
2024-03-27
発明の名称
情報処理装置、及び情報処理方法
出願人
NTT株式会社
代理人
弁理士法人ITOH
,
個人
,
個人
,
個人
主分類
G09C
1/00 20060101AFI20251002BHJP(教育;暗号方法;表示;広告;シール)
要約
【課題】分割してできた複数の多項式に対する離散フーリエ変換を安全に行う。
【解決手段】n次の多項式を分割してできたk個の第1多項式を、k個の第2多項式に変換する情報処理装置において、前記k個の第1多項式におけるそれぞれの第1多項式について、所定値のn乗根を代入して得られた値にノイズを与えることにより、前記k個の第2多項式におけるそれぞれの第2多項式を算出する演算部を備える。
【選択図】図1
特許請求の範囲
【請求項1】
n次の多項式を分割してできたk個の第1多項式を、k個の第2多項式に変換する情報処理装置であって、
前記k個の第1多項式におけるそれぞれの第1多項式について、所定値のn乗根を代入して得られた値にノイズを与えることにより、前記k個の第2多項式におけるそれぞれの第2多項式を算出する演算部
を備える情報処理装置。
続きを表示(約 350 文字)
【請求項2】
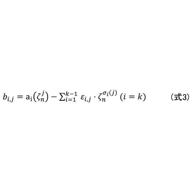
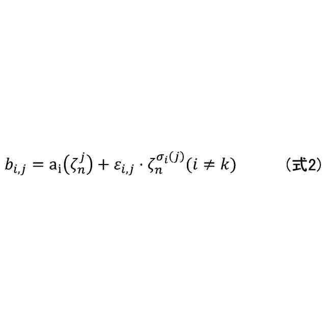
前記ノイズは、乱数と、前記所定値のn乗根の順番を入れ替えた値である置換n乗根とを掛けた値に基づくノイズである
請求項1に記載の情報処理装置。
【請求項3】
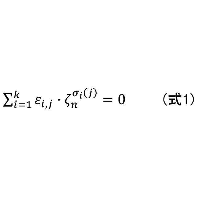
前記乱数と、前記置換n乗根とを掛けた値をk個分足し合わせた値は0である
請求項2に記載の情報処理装置。
【請求項4】
n次の多項式を分割してできたk個の第1多項式を、k個の第2多項式に変換する情報処理装置が実行する情報処理方法であって、
前記k個の第1多項式におけるそれぞれの第1多項式について、所定値のn乗根を代入して得られた値にノイズを与えることにより、前記k個の第2多項式におけるそれぞれの第2多項式を算出するステップ
を備える情報処理方法。
発明の詳細な説明
【技術分野】
【0001】
本発明は、多項式を別の多項式に変換する技術に関連するものである。
続きを表示(約 1,500 文字)
【背景技術】
【0002】
暗号の脅威の一つにサイドチャネル攻撃がある。サイドチャネル攻撃は、ハードウェアを物理的に観測することで、内部の秘匿された情報を得る実装上の攻撃である。ICカードやIoT機器の普及にともない、暗号装置を直接触れることができる場面も増えている。安全に暗号を利用するためには、サイドチャネル攻撃によって重要な情報が盗まれないようにする対策が必要となっている。
【0003】
サイドチャネル攻撃に対して、マスキング実装と呼ばれる対策手法が知られている。マスキング実装としては、非特許文献1に開示されている、SNI(Strong Non-Interference)安全で定義されるものが主流とされている。当該マスキング実装の方式は、秘密情報(多項式等)をk個に分割することで、k-1個の情報を取られても安全であることを保証する方式である。
【先行技術文献】
【非特許文献】
【0004】
Strong Non-Interference and Type-Directed Higher-Order Masking. In Proceedings of the 2016 ACM SIGSAC Conference on Computer and Communications Security (CCS '16). Association for Computing Machinery, New York, NY, USA, 116-129. https://doi.org/10.1145/2976749.2978427
【発明の概要】
【発明が解決しようとする課題】
【0005】
サイドチャネル攻撃に対する基本的な対策として、上述したマスキング実装があるが、実用性の観点からみると処理速度が遅くなるといった課題がある。マスキング実装における計算を高速に行うために、多項式の乗算を高速に行うことができる高速フーリエ変換(FFT)を用いる方式が存在する。なお、FFTは、離散フーリエ変換の一種である。
【0006】
しかし、従来技術では、分割してできた複数の多項式に対する離散フーリエ変換を安全に行う手法が存在しないという課題があった。
【0007】
本発明は上記の点に鑑みてなされたものであり、分割してできた複数の多項式に対する離散フーリエ変換を安全に行うための技術を提供することを目的とする。
【課題を解決するための手段】
【0008】
開示の技術によれば、n次の多項式を分割してできたk個の第1多項式を、k個の第2多項式に変換する情報処理装置であって、
前記k個の第1多項式におけるそれぞれの第1多項式について、所定値のn乗根を代入して得られた値にノイズを与えることにより、前記k個の第2多項式におけるそれぞれの第2多項式を算出する演算部を備える情報処理装置が提供される。
【発明の効果】
【0009】
開示の技術によれば、分割してできた複数の多項式に対する離散フーリエ変換を安全に行うことが可能となる。
【図面の簡単な説明】
【0010】
情報処理装置100の構成図である。
本実施の形態に係る処理の概要を示す図である。
情報処理装置100の処理手順を示す図である。
使用例を説明するための図である。
情報処理装置100のハードウェア構成例を示す図である。
【発明を実施するための形態】
(【0011】以降は省略されています)
この特許をJ-PlatPat(特許庁公式サイト)で参照する
関連特許
NTT株式会社
遠隔制御システム
1日前
NTT株式会社
遠隔制御システム
1日前
NTT株式会社
映像処理装置、方法及びプログラム
1日前
NTT株式会社
電荷分布推定装置、電荷分布推定方法、及びプログラム
1日前
個人
教育のAI化
22日前
個人
英語教材
1か月前
個人
回転式カード学習具
2か月前
日本精機株式会社
表示装置
25日前
日本精機株式会社
表示装置
3か月前
日本精機株式会社
表示装置
2か月前
個人
計算用教具
2か月前
中国電力株式会社
標示旗
2か月前
個人
インフィニティミラー
23日前
日本精機株式会社
車両用表示装置
1か月前
日本精機株式会社
車両用センサ装置
2か月前
個人
微細構造を模した理科学習教材
1か月前
個人
モデルで薔薇の花嫁様を描く為
2か月前
日榮新化株式会社
対象物質感知シート
22日前
株式会社一弘社
情報表示板
2か月前
ニチレイマグネット株式会社
サイン器具
1か月前
シャープ株式会社
表示装置
2か月前
株式会社ウメラボ
学習支援システム
1か月前
個人
音楽教材
3か月前
株式会社ウメラボ
学習支援システム
1か月前
朝日インテック株式会社
ラベルシート
1か月前
ニチレイマグネット株式会社
磁着式電飾装置
2か月前
日本精機株式会社
表示装置及びその製造方法
25日前
株式会社リコー
画像投射システム
2か月前
リンテック株式会社
表示体
1か月前
朝日インテック株式会社
生体モデル装置
25日前
シャープ株式会社
表示装置
1か月前
株式会社イリオスNOTO
シート保管具
1か月前
BEST株式会社
吊り下げ表示部材
3か月前
株式会社サンゲツ
見本帳
3か月前
学校法人関西医科大学
腹腔鏡手術訓練装置
2か月前
シチズンファインデバイス株式会社
液晶表示装置
2か月前
続きを見る
他の特許を見る