TOP
|
特許
|
意匠
|
商標
特許ウォッチ
Twitter
他の特許を見る
10個以上の画像は省略されています。
公開番号
2025158685
公報種別
公開特許公報(A)
公開日
2025-10-17
出願番号
2024061474
出願日
2024-04-05
発明の名称
計算装置
出願人
NTT株式会社
,
学校法人 東洋大学
代理人
弁理士法人ITOH
,
個人
,
個人
,
個人
主分類
G06N
3/098 20230101AFI20251009BHJP(計算;計数)
要約
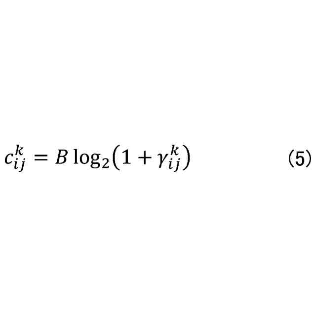
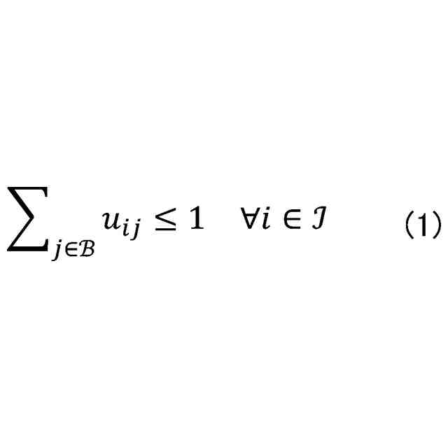
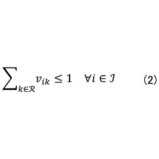
【課題】複数のIoT機器から生成されるデータを用いて複数のサーバで機械学習モデルを協調的に学習する際に、各IoT機器がどのサーバにデータを転送すべきかを、機械学習モデルの精度を向上させるように決定する。
【解決手段】複数の装置において生成されるデータを用いて複数のサーバで協調的学習を行うことによりモデルを学習するシステムにおいて、各装置がどのサーバにデータを転送すべきかを示すパラメータを決定する計算装置が、前記協調的学習で得られるモデルによる汎化誤差が最小になるように前記パラメータを決定する制御部を備える。
【選択図】図1
特許請求の範囲
【請求項1】
複数の装置において生成されるデータを用いて複数のサーバで協調的学習を行うことによりモデルを学習するシステムにおいて、各装置がどのサーバにデータを転送すべきかを示すパラメータを決定する計算装置であって、
前記協調的学習で得られるモデルによる汎化誤差が最小になるように前記パラメータを決定する制御部
を備える計算装置。
続きを表示(約 390 文字)
【請求項2】
前記制御部は、複数の装置において生成されるデータを仮想的に一か所に集めて学習を行った際に得られるモデルと前記協調的学習で得られるモデルとの間の経験損失の差に基づく第1の値と、前記協調的学習で得られるモデルにおける汎化誤差と経験損失との差に基づく第2の値との和を最小にするように前記パラメータを決定する
請求項1に記載の計算装置。
【請求項3】
前記制御部は、前記第2の値を、全てのサーバに集められるデータの総量を用いて算出する
請求項2に記載の計算装置。
【請求項4】
前記制御部は、前記第1の値と前記第2の値との和に対応する関数に、各装置と各サーバとの間の通信及びリソースブロックの使用に関しての制約をペナルティとして加えた関数を最小にするように前記パラメータを決定する
請求項2に記載の計算装置。
発明の詳細な説明
【技術分野】
【0001】
本発明は、IoT(Internet of Things)機器から生成されるデータを複数のサーバで分散的に収集してそれらのサーバで機械学習モデルを協調的に学習する技術に関連するものである。
続きを表示(約 1,600 文字)
【背景技術】
【0002】
近年、分散的に機械学習モデルを学習する手法として、モデルパラメータを各サーバで個別に学習して定期的にモデルパラメータの同期を行うことで学習を進めるfederated learningが提案されている(非特許文献1参照)。federated learningによる学習では各サーバで収集されたデータの量やその分布が最終的に得られる学習済みモデルに影響を与える。一方で、各IoT機器が生成するデータを定常的にサーバに送ろうとする際には無線帯域を考慮する必要がある。
【先行技術文献】
【非特許文献】
【0003】
Y. Zhao, M. Li, L. Lai, N. Suda, D. Civin, and V. Chandra, "Federated learning with non-iid data," arXiv preprint arXiv:1806.00582, 2018.
【発明の概要】
【発明が解決しようとする課題】
【0004】
帯域制約をみたしつつfederated learningによって学習される機械学習モデルの精度を向上させるために、IoT機器から生成されたデータをどのサーバに転送すべきかの転送方針を決める必要がある。しかし、適切な転送方針を決定する従来技術は存在しない。
【0005】
本発明は上記の点に鑑みてなされたものであり、複数のIoT機器から生成されるデータを用いて複数のサーバで機械学習モデルを協調的に学習する際に、各IoT機器がどのサーバにデータを転送すべきかを、機械学習モデルの精度を向上させるように決定するための技術を提供することを目的とする。
【課題を解決するための手段】
【0006】
開示の技術によれば、複数の装置において生成されるデータを用いて複数のサーバで協調的学習を行うことによりモデルを学習するシステムにおいて、各装置がどのサーバにデータを転送すべきかを示すパラメータを決定する計算装置であって、
前記協調的学習で得られるモデルによる汎化誤差が最小になるように前記パラメータを決定する制御部
を備える計算装置が提供される。
【発明の効果】
【0007】
開示の技術によれば、複数のIoT機器から生成されるデータを用いて複数のサーバで機械学習モデルを協調的に学習する際に、各IoT機器がどのサーバにデータを転送すべきかを、機械学習モデルの精度を向上させるように決定することが可能となる。
【図面の簡単な説明】
【0008】
本発明の実施の形態に係る学習システムの全体構成を示す図である。
IoT機器10の構成を示す図である。
サーバ20の構成を示す図である。
サーバ20の構成を示す図である。
計算装置30の構成を示す図である。
学習システムの動作を説明するためのフローチャートである。
装置のハードウェア構成例を示す図である。
【発明を実施するための形態】
【0009】
以下、図面を参照して本発明の実施の形態(本実施の形態)を説明する。以下で説明する実施の形態は一例に過ぎず、本発明が適用される実施の形態は、以下の実施の形態に限られるわけではない。
【0010】
なお、本明細書のテキスト(画像で挿入する数式以外の部分)において、集合、ベクトル、行列等を表す文字の字体として通常の字体を使用する。文脈からそれが集合、ベクトル、行列等を表すことは明らかである。また、本明細書のテキストにおいて、文字の頭上に置くことを意図したハット(^)は文字の前に記載している。
(【0011】以降は省略されています)
この特許をJ-PlatPat(特許庁公式サイト)で参照する
関連特許
NTT株式会社
検知装置
9日前
NTT株式会社
計算装置
24日前
NTT株式会社
計算装置
1か月前
NTT株式会社
通信システム
15日前
NTT株式会社
遠隔制御システム
1日前
NTT株式会社
遠隔制御システム
1日前
NTT株式会社
情報処理装置、及び情報処理方法
1か月前
NTT株式会社
情報処理装置、及び情報処理方法
1か月前
NTT株式会社
映像処理装置、方法及びプログラム
1日前
NTT株式会社
無線通信システム及び無線通信方法
23日前
NTT株式会社
刺激制御装置、および刺激制御方法
23日前
NTT株式会社
窒素固定能を有する藻類の選抜方法
25日前
NTT株式会社
評価装置、評価方法およびプログラム
1か月前
NTT株式会社
量子鍵配送システム及び量子鍵配送方法
1か月前
NTT株式会社
微生物の土壌中での生存性を調節する方法
1か月前
NTT株式会社
情報処理装置およびボットネット分析方法
1か月前
NTT株式会社
測定装置、測定方法、及び、測定プログラム
1か月前
NTT株式会社
数モードマルチコア光ファイバ及び光伝送システム
1か月前
NTT株式会社
推定装置、復元装置、推定方法、およびプログラム
1か月前
NTT株式会社
データ処理装置、データ処理方法、およびプログラム
3日前
NTT株式会社
電荷分布推定装置、電荷分布推定方法、及びプログラム
1日前
NTT株式会社
学習装置、分類装置、学習方法、分類方法及びプログラム
1か月前
NTT株式会社
植物の開花時期制御方法および開花時期が制御された植物の作出方法
15日前
NTT株式会社
連続発話推定方法、連続発話推定装置、およびプログラム
1か月前
NTT株式会社
文生成装置、文生成学習装置、文生成方法、文生成学習方法及びプログラム
1か月前
NTT株式会社
植物の光合成応答を調節する方法、光合成応答が迅速化した植物の作出方法、および光合成応答が迅速化した植物の栽培のためのシステム
15日前
個人
詐欺保険
1か月前
個人
縁伊達ポイン
1か月前
個人
5掛けポイント
22日前
個人
RFタグシート
1か月前
個人
職業自動販売機
15日前
個人
ペルソナ認証方式
1か月前
個人
QRコードの彩色
1か月前
個人
情報処理装置
25日前
個人
自動調理装置
1か月前
個人
残土処理システム
1か月前
続きを見る
他の特許を見る