TOP
|
特許
|
意匠
|
商標
特許ウォッチ
Twitter
他の特許を見る
10個以上の画像は省略されています。
公開番号
2025146109
公報種別
公開特許公報(A)
公開日
2025-10-03
出願番号
2024046715
出願日
2024-03-22
発明の名称
通信システム、方法及びプログラム
出願人
NTT株式会社
,
国立大学法人 東京大学
代理人
弁理士法人ITOH
,
個人
,
個人
,
個人
主分類
G09C
1/00 20060101AFI20250926BHJP(教育;暗号方法;表示;広告;シール)
要約
【課題】データサイズを抑制しつつ安全性の高い同種写像に基づく公開鍵暗号方式及びシステムを提供する。
【解決手段】通信システムは、整数a'及びb'と、d
A,1
=2
a'
-3
b'
、d
A,2
=3
b'
、d
1
=2
2a'
+2
a'
3
b'
+3
2b'
、d
2
=3
2b'
、a=3a'と、p=2
a
・3f-1と、E
0
[2
a
]の生成元P
0
、Q
0
とをシステムパラメータとする暗号化通信システムであって、Z/2aZ上の2×2の正則な対角行列Aを選択し、d
A,1
とP
0
、Q
0
からd
A,1
-同種写像φ
A,1
:E
0
→E
A
'とP
A
'=φ
A,1
(P
0
)とQ
A
'=φ
A,1
(Q
0
)を生成し、d
A,2
-同種写像φ
A,2
:E
A
'→E
A
を選択することにより、公開鍵pk=(E
A
,R
A
,S
A
)((R
A
,S
A
)
Τ
=A(P
A
=φ
A,2
(P
A
'),Q
A
=φ
A,2
(Q
A
'))
Τ
)と、秘密鍵sk=(A,E
A
',P
A
',Q
A
')とを生成する鍵生成部、を有する。
【選択図】図7
特許請求の範囲
【請求項1】
セキュリティパラメータλから決定される整数a'及びb'と、パラメータd
A,1
=2
a'
-3
b'
、d
A,2
=3
b'
、d
1
=2
2a'
+2
a'
3
b'
+3
2b'
、d
2
=3
2b'
、a=3a'と、素数p=2
a
・3f-1(ただし、fは自然数)と、有限体F
p^2
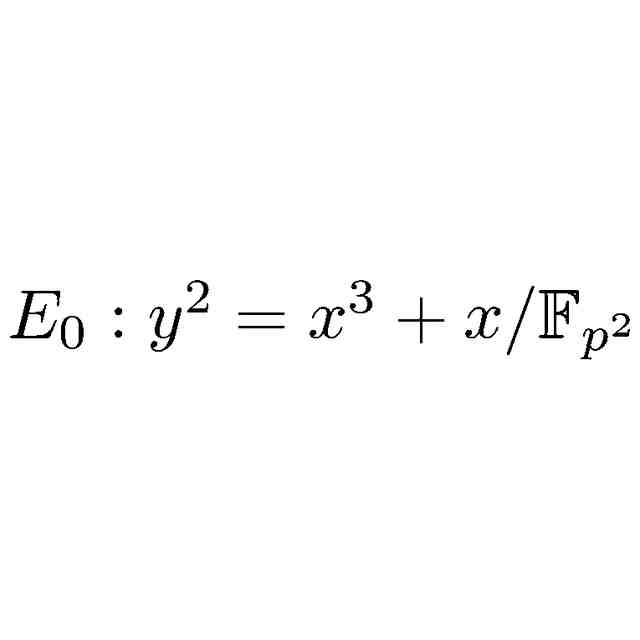
上の所定の楕円曲線E
0
のねじれ部分群E
0
[2
a
]の生成元P
0
、Q
0
とをシステムパラメータとする同種写像暗号を利用した暗号化通信を実現する通信システムであって、
Z/2aZ上のランダムな2×2の正則な対角行列Aを選択し、d
A,1
とP
0
、Q
0
からRandIsogImagesアルゴリズムによりランダムなd
A,1
-同種写像φ
A,1
:E
0
→E
A
'とP
A
'=φ
A,1
(P
0
)とQ
A
'=φ
A,1
(Q
0
)を生成し、ランダムなd
A,2
-同種写像φ
A,2
:E
A
'→E
A
を選択することにより、前記暗号化通信の暗号化に用いられる公開鍵pk=(E
A
,R
A
,S
A
)(ただし、R
A
及びS
A
は、(R
A
,S
A
)
Τ
=A(P
A
=φ
A,2
(P
A
'),Q
A
=φ
A,2
続きを表示(約 4,200 文字)
【請求項2】
平文mと、前記公開鍵pk=(E
A
,R
A
,S
A
)とに基づいて、s
B
=2m+1∈(Z/2
a
Z)
*
を選択し、d
1
とP
0
、Q
0
から前記RandIsogImagesアルゴリズムによりランダムなd
1
-同種写像φ
1
:E
0
→E
1
とP
1
=φ
1
(P
0
)とQ
1
=φ
1
(Q
0
)を生成し、ランダムなd
2
-同種写像φ
2
:E
A
→E
2
を選択することにより、暗号文ct=(E
1
,R
1
,S
1
,E
2
,R
2
,S
2
)(ただし、R
1
及びS
1
は(R
1
,S
1
)
Τ
=B(P
1
,Q
1
)
Τ
を満たす値、R
2
及びS
2
は(R
2
,S
2
)
Τ
=B(φ
2
(R
A
),φ
2
(S
A
))
Τ
を満たす値、Bは2×2の正則な対角行列B=diag(s
B
,s
B
-1
))を生成する暗号化部、
【請求項3】
前記秘密鍵sk=(A,E
A
',P
A
',Q
A
')と、前記暗号文ct=(E
1
,R
1
,S
1
,E
2
,R
2
,S
2
)とに基づいて、SIDH攻撃を実行するアルゴリズムであるAtk
N_1,N_2
(E
1
,E
2
,R
1
,S
1
,R
2
',S
2
')(ただし、R
2
'及びS
2
'は(R
2
',S
2
')
Τ
=d
1
A
-1
(R
2
,S
2
)
Τ
を満たす値、N
1
=d
A,1
d
1
、N
2
=d
A,2
d
2
)により(ψ
1
,ψ
2
,E
A
')を生成し、B=diag(s
B
,s
B
-1
)かつd
A,1
(R
1
,S
1
)
Τ
=B(ψ
1
(P
A
'),ψ
1
(Q
A
'))
Τ
となる2×2の正則な対角行列Bを求め、(R
2
,S
2
)
Τ
=B(ψ
【請求項4】
セキュリティパラメータλから決定される整数a'及びb'と、パラメータd
A,1
=2
a'
-3
b'
、d
A,2
=3
b'
、d
1
=2
2a'
+2
a'
3
b'
+3
2b'
、d
2
=3
2b'
、a=3a'と、素数p=2
a
・3f-1(ただし、fは自然数)と、有限体F
p^2
上の所定の楕円曲線E
0
のねじれ部分群E
0
[2
a
]の生成元P
0
、Q
0
とをシステムパラメータとする同種写像暗号を利用した暗号化通信を実現する通信システムに用いられる方法であって、
前記暗号化通信の受信者となる第1の装置が、
Z/2aZ上のランダムな2×2の正則な対角行列Aを選択し、d
A,1
とP
0
、Q
0
からRandIsogImagesアルゴリズムによりランダムなd
A,1
-同種写像φ
A,1
:E
0
→E
A
'とP
A
'=φ
A,1
(P
0
)とQ
A
'=φ
A,1
(Q
0
)を生成し、ランダムなd
A,2
-同種写像φ
A,2
:E
A
'→E
A
を選択することにより、前記暗号化通信の暗号化に用いられる公開鍵pk=(E
A
,R
A
,S
A
)(ただし、R
A
及びS
A
は、(R
A
,S
A
)
Τ
=A(P
A
=φ
A,2
(P
A
'),Q
A
【請求項5】
前記暗号化通信の送信者となる第2の装置が、
平文mと、前記公開鍵pk=(E
A
,R
A
,S
A
)とに基づいて、s
B
=2m+1∈(Z/2
a
Z)
*
を選択し、d
1
とP
0
、Q
0
から前記RandIsogImagesアルゴリズムによりランダムなd
1
-同種写像φ
1
:E
0
→E
1
とP
1
=φ
1
(P
0
)とQ
1
=φ
1
(Q
0
)を生成し、ランダムなd
2
-同種写像φ
2
:E
A
→E
2
を選択することにより、暗号文ct=(E
1
,R
1
,S
1
,E
2
,R
2
,S
2
)(ただし、R
1
及びS
1
はB(P
1
,Q
1
)
Τ
を満たす値、R
2
及びS
2
は(R
2
,S
2
)
Τ
=B(φ
2
(R
A
),φ
2
(S
A
))
Τ
を満たす値、Bは2×2の正則な対角行列B=diag(s
B
,s
B
-1
))を生成する暗号化手順、
を実行する請求項4に記載の方法。
【請求項6】
前記第1の装置が、
前記秘密鍵sk=(A,E
A
',P
A
',Q
A
')と、前記暗号文ct=(E
1
,R
1
,S
1
,E
2
,R
2
,S
2
)とに基づいて、SIDH攻撃を実行するアルゴリズムであるAtk
N_1,N_2
(E
1
,E
2
,R
1
,S
1
,R
2
',S
2
')(ただし、R
2
'及びS
2
'は(R
2
',S
2
')
Τ
=d
1
A
-1
(R
2
,S
2
)
Τ
を満たす値、N
1
=d
A,1
d
1
、N
2
=d
A,2
d
2
)により(ψ
1
,ψ
2
,E
A
')を生成し、B=diag(s
B
,s
B
-1
)かつd
A,1
(R
1
,S
1
)
Τ
=B(ψ
1
(P
A
'),ψ
1
(Q
A
'))
Τ
となる2×2の正則な対角行列Bを求め、(R
2
,S
2
)
【請求項7】
コンピュータに、請求項4乃至6の何れか一項に記載の方法を実行させるプログラム。
発明の詳細な説明
【技術分野】
【0001】
本開示は、通信システム、方法及びプログラムに関する。
続きを表示(約 2,200 文字)
【背景技術】
【0002】
耐量子性を持つと考えられる暗号方式は耐量子計算機暗号等と呼ばれる。耐量子計算機暗号の候補の一つとして、同種写像暗号が知られている。同種写像に基づく公開鍵暗号方式の中でも代表的なものとしては、SIDH、SIKE、CSIDH等がある。しかしながら、SIDHとSIKEの安全性を破る攻撃手法が発見されたことにより、これらの方式はもはや安全ではなくなった。
【0003】
SIDHとSIKEの安全性を破る攻撃手法(以下、SIDH攻撃と呼ぶ。)の発見後、SIDH攻撃に耐性を持つFESTAと呼ばれる新たな暗号方式が提案された。また、FESTAのパラメータを小さくするために、smoothでない次数を持つ同種写像の計算を行うRandIsogImagesと呼ばれるアルゴリズムが提案された(非特許文献1)。
【先行技術文献】
【非特許文献】
【0004】
Kohei Nakagawa and Hiroshi Onuki. "QFESTA: Efficient Algorithms and Parameters for FESTA using Quaternion Algebras." Cryptology ePrint Archive, 2023. https://eprint.iacr.org/2023/1468
【発明の概要】
【発明が解決しようとする課題】
【0005】
しかしながら、RandIsogImagesを用いたFESTAは、FESTAよりも暗号文のサイズや公開鍵のサイズを小さくできる一方で、安全性が脆弱であるという課題がある。
【0006】
本開示は、上記の点に鑑みてなされたもので、データサイズを抑制しつつ安全性の高い同種写像に基づく公開鍵暗号を実現することを目的とする。
【課題を解決するための手段】
【0007】
本開示の一態様による通信システムは、セキュリティパラメータλから決定される整数a'及びb'と、パラメータd
A,1
=2
a'
-3
b'
、d
A,2
=3
b'
、d
1
=2
2a'
+2
a'
3
b'
+3
2b'
、d
2
=3
2b'
、a=3a'と、素数p=2
a
・3f-1(ただし、fは自然数)と、有限体F
p^2
上の所定の楕円曲線E
0
のねじれ部分群E
0
[2
a
]の生成元P
0
、Q
0
とをシステムパラメータとする同種写像暗号を利用した暗号化通信を実現する通信システムであって、Z/2aZ上のランダムな2×2の正則な対角行列Aを選択し、d
A,1
とP
0
、Q
0
からRandIsogImagesアルゴリズムによりランダムなd
A,1
-同種写像φ
A,1
:E
0
→E
A
'とP
A
'=φ
A,1
(P
0
)とQ
A
'=φ
A,1
(Q
0
)を生成し、ランダムなd
A,2
-同種写像φ
A,2
:E
A
'→E
A
を選択することにより、前記暗号化通信の暗号化に用いられる公開鍵pk=(E
A
,R
A
,S
A
)(ただし、R
A
及びS
A
は、(R
A
,S
A
)
Τ
=A(P
A
=φ
A,2
(P
A
'),Q
A
=φ
A,2
(Q
A
【発明の効果】
【0008】
データサイズを抑制しつつ安全性の高い同種写像に基づく公開鍵暗号を実現することができる。
【図面の簡単な説明】
【0009】
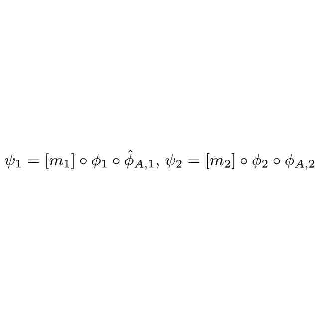
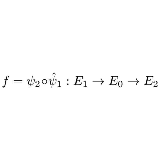
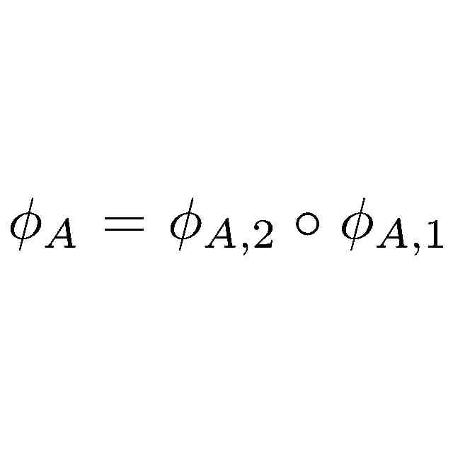
同種写像の可換図式の一例を示す図である。
FESTAにおける楕円曲線と同種写像との関係の一例を示す図である。
提案手法における楕円曲線と同種写像との関係の一例を示す図である。
本実施形態に係る暗号化通信システムの全体構成の一例を示す図である。
本実施形態に係る受信者装置の機能構成の一例を示す図である。
本実施形態に係る送信者装置の機能構成の一例を示す図である。
本実施形態に係る暗号化通信処理の一例を示すシーケンス図である。
コンピュータのハードウェア構成の一例を示す図である。
【発明を実施するための形態】
【0010】
以下、本発明の一実施形態について、図面を参照しながら詳細に説明する。
(【0011】以降は省略されています)
この特許をJ-PlatPat(特許庁公式サイト)で参照する
関連特許
NTT株式会社
光デバイス
27日前
NTT株式会社
圧力センサ
20日前
NTT株式会社
信号送信装置
28日前
NTT株式会社
光信号処理装置
29日前
NTT株式会社
推定装置及び推定方法
13日前
NTT株式会社
復号装置及び復号方法
5日前
NTT株式会社
解析装置および解析方法
19日前
NTT株式会社
通信システム、及び通信方法
1か月前
NTT株式会社
音声抽出装置及び音声抽出方法
1か月前
NTT株式会社
秘匿計算システム及び秘匿計算方法
27日前
NTT株式会社
秘匿計算システム及び秘匿計算方法
27日前
NTT株式会社
交通量推定装置及び交通量推定方法
13日前
NTT株式会社
無線通信方法及び無線通信システム
1か月前
NTT株式会社
通信システム、方法及びプログラム
5日前
NTT株式会社
通信システム、方法及びプログラム
5日前
NTT株式会社
検索装置、検索方法及びプログラム
27日前
NTT株式会社
映像処理装置、方法及びプログラム
9日前
NTT株式会社
光ファイバの群遅延時間測定システム
19日前
NTT株式会社
イオン伝送装置、及びイオン伝送方法
29日前
NTT株式会社
情報処理装置、方法およびプログラム
27日前
NTT株式会社
座屈剥離構造の予測装置および予測方法
5日前
NTT株式会社
データ解析装置、方法およびプログラム
27日前
NTT株式会社
電子署名システム、方法及びプログラム
5日前
NTT株式会社
単一光子生成装置、及び単一光子生成方法
1か月前
NTT株式会社
生成システム、生成装置、および生成方法
1か月前
NTT株式会社
周期検出装置、周期検出方法及びプログラム
1か月前
NTT株式会社
情報処理装置、情報処理方法及びプログラム
1か月前
NTT株式会社
情報処理装置、情報処理方法及びプログラム
1か月前
NTT株式会社
測定装置、測定方法、及び、測定プログラム
1日前
NTT株式会社
推論装置、学習装置、推論方法、及びプログラム
19日前
NTT株式会社
情報処理システム、情報処理装置および情報処理方法
6日前
NTT株式会社
修辞構造解析装置、修辞構造解析方法及びプログラム
1か月前
NTT株式会社
組合せ最適化方法、組合せ最適化装置、及びプログラム
9日前
NTT株式会社
情報処理装置、情報処理方法および情報処理プログラム
1か月前
NTT株式会社
通信品質予測装置、通信品質予測方法、及びプログラム
12日前
NTT株式会社
伝搬グラフ復元装置、伝搬グラフ復元方法、及びプログラム
5日前
続きを見る
他の特許を見る