TOP
|
特許
|
意匠
|
商標
特許ウォッチ
Twitter
他の特許を見る
10個以上の画像は省略されています。
公開番号
2025140504
公報種別
公開特許公報(A)
公開日
2025-09-29
出願番号
2024039942
出願日
2024-03-14
発明の名称
組合せ最適化方法、組合せ最適化装置、及びプログラム
出願人
NTT株式会社
,
学校法人早稲田大学
代理人
個人
,
個人
,
個人
主分類
G06N
99/00 20190101AFI20250919BHJP(計算;計数)
要約
【課題】従来の組合せ最適化装置では、質の高い実行可能解が得られなかった。
【解決手段】上記課題を解決する組合せ最適化装置は、変換部と、イジングマシンと、修復処理部と、改善処理部とを備える。変換部は、制約付き組合せ問題を、目的関数とペナルティ関数とペナルティ係数とからなるイジングモデルに変換する。イジングマシンは、イジングモデルを解いて暫定解を生成する。暫定解が制約を満たさない場合、修復処理部は、制約が満たされるように暫定解を補正して実行可能解を生成する。改善処理部は、制約が満たされるように、または制約を満たしかつ目的関数の値が改善されるように、実行可能解を補正して改善解を生成する。
【選択図】図3
特許請求の範囲
【請求項1】
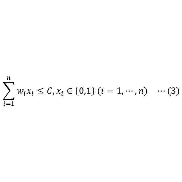
制約付き組合せ問題の最適解を求める方法であって、
変換部が前記制約付き組合せ問題を目的関数とペナルティ関数とペナルティ係数とからなるイジングモデルに変換し、
イジングマシンが、前記イジングモデルを解いて暫定解を生成し、
前記暫定解が前記制約を満たさない場合、修復処理部が、前記制約が満たされるように前記暫定解を補正して実行可能解を生成し、
改善処理部が、前記制約が満たされるように、または前記制約を満たしかつ目的関数の値が改善されるように、前記実行可能解を補正して改善解を生成する
組合せ最適化方法。
続きを表示(約 1,600 文字)
【請求項2】
請求項1に記載の組合せ最適化方法であって、
前記目的関数の変数を、前記目的関数への寄与が小さく前記制約への負荷が大きい順に並べた順番を昇順として、
前記修復処理部は、前記暫定解において値が1の変数の中から前記昇順に基づいて選択した変数の値を0に補正して前記実行可能解を求める
ことを特徴とする組合せ最適化方法。
【請求項3】
請求項1に記載の組合せ最適化方法であって、
前記目的関数の変数を、前記目的関数への寄与が大きく前記制約への負荷が小さい順に並べた順番を降順として、
前記改善処理部は、前記実行可能解において値が0の変数の中から前記降順に基づいて選択した変数の値を1に補正して前記改善解を求める
ことを特徴とする組合せ最適化方法。
【請求項4】
請求項1に記載の組合せ最適化方法であって、
前記目的関数の変数を、前記目的関数への寄与が小さく前記制約への負荷が大きい順に並べた順番を昇順、前記目的関数への寄与が大きく前記制約への負荷が小さい順に並べた順番を降順として、
前記改善処理部は、前記実行可能解において値が1の変数の中から前記昇順に基づいて選択した変数の値を0に補正すると共に、前記実行可能解において値が0の変数の中から前記降順に基づいて選択した変数の値を1に補正して前記実行可能解を求める
ことを特徴とする組合せ最適化方法。
【請求項5】
制約付き組合せ問題の最適解を求める装置であって、
前記制約付き組合せ問題を目的関数とペナルティ関数とペナルティ係数とからなるイジングモデルに変換する変換部と、
前記イジングモデルを解いて暫定解を生成するイジングマシンと、
前記暫定解が前記制約を満たさない場合、前記制約が満たされるように前記暫定解を補正して実行可能解を生成する修復処理部と、
改善処理部が、前記制約が満たされるように、または前記制約を満たしかつ目的関数の値が改善されるように、前記実行可能解を補正して改善解を生成する改善処理部と、
を備えた組合せ最適化装置。
【請求項6】
請求項5に記載の組合せ最適化装置であって、
前記目的関数の変数を、前記目的関数への寄与が小さく前記制約への負荷が大きい順に並べた順番を昇順として、
前記修復処理部は、前記暫定解において値が1の変数の中から前記昇順に基づいて選択した変数の値を0に補正して前記実行可能解を求める
ことを特徴とする組合せ最適化装置。
【請求項7】
請求項5に記載の組合せ最適化方法であって、
前記目的関数の変数を、前記目的関数への寄与が大きく前記制約への負荷が小さい順に並べた順番を降順として、
前記改善処理部は、前記実行可能解において値が0の変数の中から前記降順に基づいて選択した変数の値を1に補正して前記改善解を求める
ことを特徴とする組合せ最適化装置。
【請求項8】
請求項5に記載の組合せ最適化方法であって、
前記目的関数の変数を、前記目的関数への寄与が小さく前記制約への負荷が大きい順に並べた順番を昇順、前記目的関数への寄与が大きく前記制約への負荷が小さい順に並べた順番を降順として、
前記改善処理部は、前記実行可能解において値が1の変数の中から前記昇順に基づいて選択した変数の値を0に補正すると共に、前記実行可能解において値が0の変数の中から前記降順に基づいて選択した変数の値を1に補正して前記実行可能解を求める
ことを特徴とする組合せ最適化装置。
【請求項9】
請求項5から8のいずれかに記載の組合せ最適化装置としてコンピュータを機能させるためのプログラム。
発明の詳細な説明
【技術分野】
【0001】
開示技術は、イジングマシンと呼ばれる計算機を用いて組合せ最適化問題を解く技術に関する。特に、制約付き最適化問題において、質の高い実行可能解を得るための技術に関する。
続きを表示(約 2,300 文字)
【背景技術】
【0002】
組合せ最適化は、特定の条件を満たす多数の組合せの中から特定の評価指標(目的関数)についてできるだけ良いもの、すなわち質の高い解を選択する技術である。組合せ最適化は、人員計画、経路探索、創薬といったビジネスでの意思決定から学術的な研究まで広い分野で現れる。
一方、組合せ最適化問題を効率的に(問題サイズに対して多項式時間で)解くことは従来の汎用計算機では難しい。そのため、物理現象などを利用し、最適解の探索を行う計算機ハードウェアを用いて高速に組合せ最適化を実行する技術が重要となっている。
【0003】
組合せ最適化における発見的解法を実装した(従来の汎用計算機とは異なる種類の)計算機としてイジングマシンがある。イジングマシンは、イジングモデルの基底状態探索を効率的に実行するハードウェアである。イジングモデルとは、+1または-1の二値をとる複数の変数(スピン)に関する2次多項式(ハミルトニアン)により定義される物理モデルである。スピンの値の組み合わせを状態と呼び、状態に対して各スピンの値をハミルトニアンに代入した値をエネルギーと呼ぶ。エネルギーを最小化するような状態を基底状態と呼ぶ。イジングマシンは、入力されたハミルトニアンに対してエネルギーが低い解を出力するアルゴリズムが実装された計算機の総称である。
【0004】
イジングマシンはその定義から、組合せ最適化に応用される。イジングマシンの実現方法には、量子プロセッサ(量子力学の原理を用いた計算プロセッサ)や縮退光パラメトリック発振器を用いたもの、従来の半導体技術を用いた専用集積回路を用いたものなどがある。
【0005】
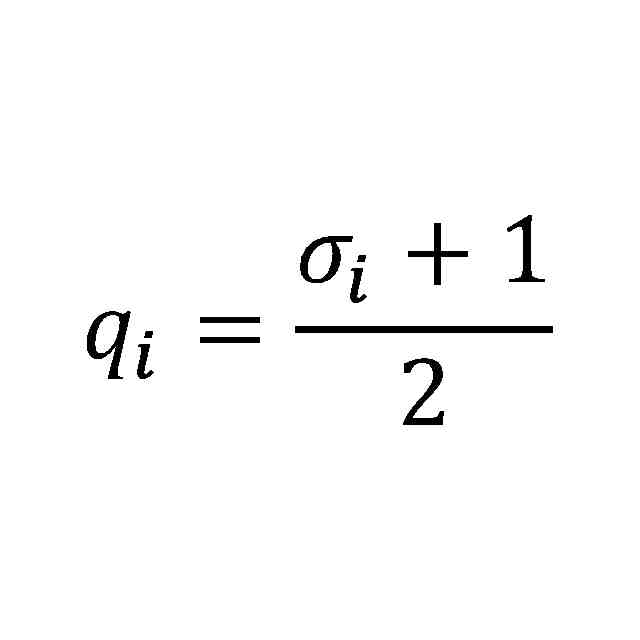
なお、イジングモデルにおけるスピンを、0あるいは1のいずれかの値をとるバイナリ変数で置き換えたモデルをQUBOモデルと呼ぶ。スピン変数をσ
i
∈{+1, -1}、バイナリ変数をq
i
∈{0, 1}として、イジングモデルとQUBOモデルは次の式で相互に変換可能であり、等価である。
TIFF
2025140504000002.tif
20
169
組合せ最適化問題の定式化に、イジングモデルを用いるかQUBOモデルを用いるかは、組合せ問題の性質に応じて、使い分ければよい。
【0006】
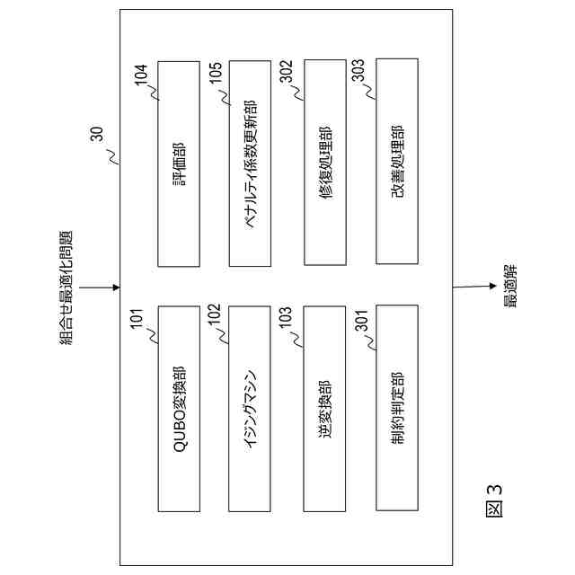
イジングマシンを用いた一般的な組合せ最適化装置を図1に示す。
組合せ最適化装置10は、QUBO変換部101、イジングマシン102、逆変換部103、評価部104、ペナルティ係数更新部105を備え、組合せ最適化問題を入力とし、最適解を出力とする。
【0007】
図2は、組合せ最適化装置10の作用を説明するフローチャートである。
以下、図1と図2を用いて従来技術を説明する。ここでは、「制約付き組合せ最適化問題」を解く場合について説明する。
ユーザが組合せ最適化問題を入力すると(ステップS201)、QUBO変換部101がQUBOモデルに変換する(ステップS202)。このとき、元の問題の変数は(場合によっては複数の)バイナリ変数に変換される。
問題が「制約付き組合せ最適化問題」だった場合、QUBOモデルは、目的関数と、ペナルティ関数とペナルティ係数とからなる(詳しくは後述)。
ペナルティ係数更新部106は、ペナルティ係数を初期化する(ステップS203)。
【0008】
イジングマシン102は、QUBOモデルを解いて、暫定解を出力する(ステップS204)。
逆変換部103は、暫定解の変数(QUBOモデルの変数)の値を、元の組合せ最適化問題の変数の値(原始解)に変換する(ステップS205)。
評価部104は、原始解が終了条件を満足するか否か判定する(ステップS206)。具体的には、原始解が制約を満たすか否か(原始解は実行可能解であるか否か)、実行可能解の出力確率が一定以上を達成したか、イジングマシンの実行回数が一定回数に到達したか、などを判定する。
【0009】
終了条件を満足していない場合(ステップS206でNo)、ペナルティ係数更新部105は、制約が満たされるように、あるいは実行可能解の出力確率がより高くなるようにペナルティ係数を更新する(ステップS207)。
イジングマシン102は、ペナルティ係数が更新されたQUBOモデルを解く(ステップS204)。
終了条件を満足していれば(ステップS206でYes)、原始解を、最適化問題の解として出力する。
【0010】
組合せ最適化問題の入力時におけるイジングモデルへの変換とペナルティ係数について補足する。
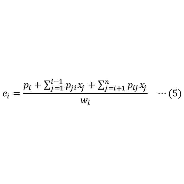
イジングモデルの基底状態探索は、二値に値をとる変数上の制約なし最小化問題とみなせる。したがって、組合せ最適化問題を二値変数で表現した際に生じる制約は、実行不能解に対しては正の値を返し、実行可能解に対してはゼロを返す関数(ペナルティ関数と呼ぶ)に変換する。目的関数にペナルティ関数の正の定数(ペナルティ係数と呼ぶ)倍を足したものを新たな目的関数とすることで、制約を除去した問題に変換し、イジングモデル/QUBOモデルに変換する。本明細書の段落[0041]に具体例を示した。
(【0011】以降は省略されています)
この特許をJ-PlatPat(特許庁公式サイト)で参照する
関連特許
NTT株式会社
圧力センサ
13日前
NTT株式会社
光デバイス
20日前
NTT株式会社
信号送信装置
21日前
NTT株式会社
光信号処理装置
22日前
NTT株式会社
推定装置及び推定方法
6日前
NTT株式会社
解析装置および解析方法
12日前
NTT株式会社
量子計算装置、及び制御装置
1か月前
NTT株式会社
通信システム、及び通信方法
29日前
NTT株式会社
音声抽出装置及び音声抽出方法
1か月前
NTT株式会社
映像処理装置、方法及びプログラム
2日前
NTT株式会社
秘匿計算システム及び秘匿計算方法
20日前
NTT株式会社
交通量推定装置及び交通量推定方法
6日前
NTT株式会社
無線通信方法及び無線通信システム
1か月前
NTT株式会社
秘匿計算システム及び秘匿計算方法
20日前
NTT株式会社
検索装置、検索方法及びプログラム
20日前
NTT株式会社
イオン伝送装置、及びイオン伝送方法
22日前
NTT株式会社
情報処理装置、方法およびプログラム
20日前
NTT株式会社
推論装置、推論方法、及びプログラム
1か月前
NTT株式会社
光ファイバの群遅延時間測定システム
12日前
NTT株式会社
データ解析装置、方法およびプログラム
20日前
NTT株式会社
生成システム、生成装置、および生成方法
1か月前
NTT株式会社
単一光子生成装置、及び単一光子生成方法
1か月前
NTT株式会社
情報処理装置、情報処理方法及びプログラム
1か月前
NTT株式会社
情報処理装置、情報処理方法及びプログラム
1か月前
NTT株式会社
周期検出装置、周期検出方法及びプログラム
1か月前
NTT株式会社
推論装置、学習装置、推論方法、及びプログラム
12日前
NTT株式会社
画像処理装置、画像処理方法及び画像処理プログラム
1か月前
NTT株式会社
修辞構造解析装置、修辞構造解析方法及びプログラム
1か月前
NTT株式会社
組合せ最適化方法、組合せ最適化装置、及びプログラム
2日前
NTT株式会社
情報処理装置、情報処理方法および情報処理プログラム
1か月前
NTT株式会社
通信品質予測装置、通信品質予測方法、及びプログラム
5日前
富士通株式会社
データ転送制御装置および情報処理装置
1か月前
富士通株式会社
データ転送制御装置および情報処理装置
1か月前
NTT株式会社
基地局及び端末
1か月前
NTT株式会社
電気刺激装置、電気刺激システム、電気刺激方法及びプログラム
1か月前
NTT株式会社
音響信号出力装置
1か月前
続きを見る
他の特許を見る