TOP
|
特許
|
意匠
|
商標
特許ウォッチ
Twitter
他の特許を見る
公開番号
2025137989
公報種別
公開特許公報(A)
公開日
2025-09-25
出願番号
2024036553
出願日
2024-03-11
発明の名称
印刷装置
出願人
理想科学工業株式会社
代理人
個人
主分類
B41L
13/04 20060101AFI20250917BHJP(印刷;線画機;タイプライター;スタンプ)
要約
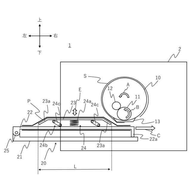
【課題】簡易な構成によって印刷ドラムの印刷可能範囲の長さよりも長い印刷媒体に対して適切な印刷を施すことができる印刷装置を提供することを目的とするものである。
【解決手段】孔版原紙Sの一端部が取り付けられる取付部13を有し、取付部13に取り付けられた孔版原紙Sが巻き付けられる印刷ドラム10と、印刷媒体Pが設置され、印刷ドラム10に巻き付けられた孔版原紙Sに対して印刷媒体Pを押圧しながら移動する設置部20とを備え、設置部20が、印刷ドラム10に向かう方向とその方向とは逆方向に移動可能な印刷受け部材23を有する。
【選択図】図1
特許請求の範囲
【請求項1】
印刷画像が形成され、外方に突出する取付部を有する印刷部と、
印刷媒体が設置され、前記印刷部に対して前記印刷媒体を押圧しながら移動する設置部とを備え、
前記設置部が、前記印刷部に向かう方向と該方向とは逆方向に移動可能な印刷受け部材を有する印刷装置。
続きを表示(約 300 文字)
【請求項2】
前記印刷部は略円柱状の外周面を有し、前記取付部に印刷版の一端部が取り付けられる請求項1記載の印刷装置。
【請求項3】
前記印刷受け部材の移動距離が、前記取付部の印刷部外表面からの最大高さ以上である請求項1記載の印刷装置。
【請求項4】
前記設置部の移動方向の長さが、前記印刷部の印刷可能範囲よりも長い請求項1記載の印刷装置。
【請求項5】
前記印刷受け部材を移動可能に支持する弾性部材と、前記印刷受け部材上の前記印刷媒体が前記印刷部に対して均一に押圧されるよう前記印刷受け部材を支持するリンク機構とを有する請求項1記載の印刷装置。
発明の詳細な説明
【技術分野】
【0001】
本発明は、印刷媒体に対して印刷を行う印刷装置に関するものである。
続きを表示(約 1,000 文字)
【背景技術】
【0002】
従来、感熱穿孔が施された孔版原紙を巻き付けた印刷ドラムを用いて、孔版印刷を行う孔版印刷装置が提案されている(たとえば特許文献1参照)。
【0003】
孔版印刷装置においては、印刷ドラムが回転するとともに、印刷媒体が印刷ドラムに向けて搬送され、プレスローラによって孔版原紙に対して印刷媒体を圧接させることで、印刷ドラムの内部から染み出されたインクが孔版原紙を通って印刷媒体に転写される。
【0004】
孔版印刷装置における印刷ドラムは、孔版原紙の一端部が取り付けられて、これを保持する取付部を有する(たとえば特許文献1参照)。そして、孔版原紙が巻き付けられた印刷ドラムが回転する際、プレスローラは、取付部への衝突を回避するように上下動する。
【先行技術文献】
【特許文献】
【0005】
特開2014-213520号公報
【発明の概要】
【発明が解決しようとする課題】
【0006】
ここで、たとえば印刷媒体が、紙のような平滑で均一形状ではない衣類などである場合、衣類を平面の印刷台に装着して印刷することが必要となる。
【0007】
しかしながら、衣類が装着される印刷台が、印刷可能範囲(印刷ドラムの周囲長さ-取付部の長さ)より大きい場合、従来のようにプレスローラ上下動で取付部の衝突を回避することができない。また、印刷台全体を上下動させるには、大がかりな移動機構が必要となる。すなわち、印刷ドラムの印刷可能範囲の長さよりも長い印刷媒体に対して印刷することができない。
【0008】
また、印刷台が重い場合、印刷ドラムへの押圧力をその分大きくする必要があり、押圧が均一にかかり難くなってしまう問題がある。
【0009】
本発明は、上記事情に鑑み、簡易な構成によって印刷部の印刷可能範囲の長さよりも長い印刷媒体に対して適切な印刷を施すことができる印刷装置を提供することを目的とするものである。
【課題を解決するための手段】
【0010】
本発明の印刷装置は、印刷画像が形成され、外方に突出する取付部を有する印刷部と、印刷媒体が設置され、印刷部に対して印刷媒体を押圧しながら移動する設置部とを備え、設置部が、印刷部に向かう方向とその方向とは逆方向に移動可能な印刷受け部材を有する。
【発明の効果】
(【0011】以降は省略されています)
この特許をJ-PlatPat(特許庁公式サイト)で参照する
関連特許
理想科学工業株式会社
印刷装置
5日前
理想科学工業株式会社
画像形成装置
4日前
理想科学工業株式会社
画像形成装置
4日前
理想科学工業株式会社
油性インクジェットインク
10日前
理想科学工業株式会社
画像処理装置、画像処理方法、及び、プログラム
12日前
個人
箔熱転写装置
1か月前
シヤチハタ株式会社
印判
4か月前
東レ株式会社
凸版印刷版原版
10か月前
三菱製紙株式会社
感熱記録材料
11か月前
シヤチハタ株式会社
反転式印判
9か月前
キヤノン株式会社
記録装置
1か月前
三光株式会社
感熱記録材料
6か月前
独立行政法人 国立印刷局
印刷物
7か月前
株式会社リコー
液体吐出装置
8か月前
株式会社リコー
液体吐出装置
4か月前
株式会社リコー
液体吐出装置
7か月前
株式会社リコー
液体吐出装置
5か月前
独立行政法人 国立印刷局
貼付装置
1か月前
株式会社リコー
液体吐出装置
8か月前
株式会社リコー
印刷システム
20日前
株式会社リコー
液体吐出装置
2か月前
株式会社リコー
画像形成装置
1か月前
株式会社リコー
液体吐出装置
4か月前
株式会社リコー
画像形成装置
20日前
株式会社リコー
液体吐出装置
6か月前
株式会社リコー
画像形成装置
16日前
独立行政法人 国立印刷局
貼付機構
2か月前
独立行政法人 国立印刷局
記録媒体
8か月前
日本製紙株式会社
感熱記録体
7か月前
ブラザー工業株式会社
プリンタ
8か月前
キヤノン株式会社
画像形成装置
6か月前
キヤノン株式会社
画像形成装置
1か月前
理想科学工業株式会社
印刷装置
24日前
キヤノン株式会社
画像処理装置
4か月前
理想科学工業株式会社
印刷装置
6か月前
ブラザー工業株式会社
液体吐出ヘッド
1か月前
続きを見る
他の特許を見る