TOP
|
特許
|
意匠
|
商標
特許ウォッチ
Twitter
他の特許を見る
10個以上の画像は省略されています。
公開番号
2025133130
公報種別
公開特許公報(A)
公開日
2025-09-11
出願番号
2024030876
出願日
2024-03-01
発明の名称
半導体素子
出願人
豊田合成株式会社
代理人
弁理士法人あいち国際特許事務所
主分類
H10D
30/83 20250101AFI20250904BHJP()
要約
【課題】リーク電流およびターンオン時間が低減された半導体素子を提供する。
【解決手段】III族窒化物半導体を用いた半導体素子は、第3半導体層13上のうちゲート電極20とドレイン電極22の間の領域に、第4半導体層14が存在しない分極超接合領域PSJが設けられ、分極超接合領域PSJにおける第3半導体層13の厚さD2は、30nm以上であり、第4半導体層14下の第3半導体層13の厚さD1と、分極超接合領域PSJにおける第3半導体層13の厚さD2の差D3は、15nm以上であり、リーク電流が1μA以下、ターンオン時間が20ns以下である。
【選択図】図1
特許請求の範囲
【請求項1】
III族窒化物半導体を用いた半導体素子において、
アンドープの第1半導体層と、
前記第1半導体層上に設けられ、前記第1半導体層よりもバンドギャップエネルギーが大きいアンドープの第2半導体層と、
前記第2半導体層上に設けられ、前記第2半導体層よりもバンドギャップエネルギーが小さいアンドープの第3半導体層と、
前記第3半導体層上に設けられたp型の第4半導体層と、
前記第4半導体層上に設けられたゲート電極と、
前記第2半導体層上に設けられたソース電極と、
前記第2半導体層上であって前記ゲート電極を挟んで前記ソース電極と対向する位置に設けられたドレイン電極と、を有し、
前記第3半導体層上のうち前記ゲート電極と前記ドレイン電極の間の領域に、前記第4半導体層が存在しない分極超接合領域が設けられ、
前記分極超接合領域における前記第3半導体層の厚さは、30nm以上であり、
前記第4半導体層下の前記第3半導体層の厚さと、前記分極超接合領域における前記第3半導体層の厚さの差は、15nm以上であり、
リーク電流が1μA以下、ターンオン時間が20ns以下である、半導体素子。
続きを表示(約 710 文字)
【請求項2】
前記第4半導体層下の前記第3半導体層の厚さと、前記分極超接合領域における前記第3半導体層の厚さの差は、20nm以上である、請求項1に記載の半導体素子。
【請求項3】
前記第4半導体層下の前記第3半導体層の厚さは、90nm以上である、請求項1に記載の半導体素子。
【請求項4】
前記分極超接合領域における前記第3半導体層のp型不純物濃度は、5×10
18
/cm
3
以下である、請求項1に記載の半導体素子。
【請求項5】
前記分極超接合領域における前記第3半導体層のp型不純物濃度は、1×10
18
/cm
3
以下である、請求項1に記載の半導体素子。
【請求項6】
前記第1半導体層中であって前記第1半導体層と前記第2半導体層の界面近傍に形成される二次元電子ガスの濃度は、1.2×10
13
/cm
2
以上であり、
前記第3半導体層中であって前記第2半導体層と前記第3半導体層の界面近傍に形成される二次元ホールガスの濃度は、0.8×10
13
/cm
2
以上であり、
前記二次元電子ガスの濃度と前記二次元ホールガスの濃度との差は、0.8×10
13
/cm
2
以下である、請求項1に記載の半導体素子。
【請求項7】
前記分極超接合領域における前記第3半導体層の厚さの面内ばらつきが10~30nmである、請求項1に記載の半導体素子。
発明の詳細な説明
【技術分野】
【0001】
本発明は、半導体素子に関する。
続きを表示(約 1,700 文字)
【背景技術】
【0002】
III族窒化物半導体を用いた半導体素子として、分極超接合領域を有した電界効果トランジスタ(FET)が知られている(たとえば特許文献1)。
【0003】
特許文献1には、アンドープGaNからなる第1半導体層、アンドープAlGaNからなる第2半導体層、アンドープGaNからなる第3半導体層、p-GaNからなる第4半導体層を順に積層した構造と、第4半導体層上に設けられたゲート電極と、第2半導体層上にゲート電極を挟むようにして設けられたソース電極およびドレイン電極と、を有し、第3半導体層上のうちゲート電極とドレイン電極の間の領域は第4半導体層が存在しない構造が示されている。この第4半導体層が存在しない領域を分極超接合領域と呼んでいる。
【先行技術文献】
【特許文献】
【0004】
特開2016-146369号公報
【発明の概要】
【発明が解決しようとする課題】
【0005】
しかし、発明者らの検討により、第4半導体層下の第3半導体層の厚さと分極超接合領域における第3半導体層の厚さによってはリーク電流が増加したり、ターンオン時間が増加してしまうことが分かった。
【0006】
本発明は、かかる背景に鑑みてなされたものであり、リーク電流およびターンオン時間が低減された半導体素子を提供しようとするものである。
【課題を解決するための手段】
【0007】
本発明の一態様は、
III族窒化物半導体を用いた半導体素子において、
アンドープの第1半導体層と、
前記第1半導体層上に設けられ、前記第1半導体層よりもバンドギャップエネルギーが大きいアンドープの第2半導体層と、
前記第2半導体層上に設けられ、前記第2半導体層よりもバンドギャップエネルギーが小さいアンドープの第3半導体層と、
前記第3半導体層上に設けられたp型の第4半導体層と、
前記第4半導体層上に設けられたゲート電極と、
前記第2半導体層上に設けられたソース電極と、
前記第2半導体層上であって前記ゲート電極を挟んで前記ソース電極と対向する位置に設けられたドレイン電極と、を有し、
前記第3半導体層上のうち前記ゲート電極と前記ドレイン電極の間の領域に、前記第4半導体層が存在しない分極超接合領域が設けられ、
前記分極超接合領域における前記第3半導体層の厚さは、30nm以上であり、
前記第4半導体層下の前記第3半導体層の厚さと、前記分極超接合領域における前記第3半導体層の厚さの差は、15nm以上であり、
リーク電流が1μA以下、ターンオン時間が20ns以下である、半導体素子にある。
【発明の効果】
【0008】
上記態様では、分極超接合領域における第3半導体層の厚さは、30nm以上であり、第4半導体層下の第3半導体層の厚さと、分極超接合領域における第3半導体層の厚さの差は、15nm以上であり、リーク電流を1μA以下、ターンオン時間を20ns以下に設定することができる。
【0009】
以上、上記態様によれば、リーク電流およびターンオン時間が低減された半導体素子を提供することができる。
【図面の簡単な説明】
【0010】
実施形態1における半導体素子の構成を示した断面図であって、基板主面に垂直な断面図。
厚さD2とターンオン時間の関係を示したグラフ。
深さ方向のMg濃度分布を示したグラフ。
Mg濃度とターンオン時間の関係を示したグラフ。
第3半導体層と第4半導体層の総膜厚の面内ばらつきについて示したグラフ。
厚さD2の面内ばらつきについて示したグラフ。
電流電圧特性について示したグラフ。
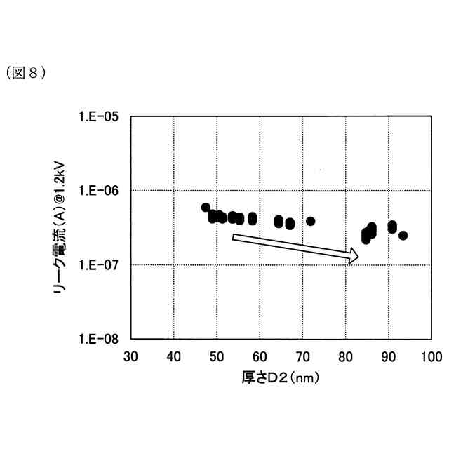
厚さD2とリーク電流の関係を示したグラフ。
厚さD2と2DEGおよび2DHGのキャリア濃度の関係を示したグラフ。
【発明を実施するための形態】
(【0011】以降は省略されています)
この特許をJ-PlatPat(特許庁公式サイト)で参照する
関連特許
豊田合成株式会社
積層体
12日前
豊田合成株式会社
調光装置
21日前
豊田合成株式会社
車両用ビーム
7日前
豊田合成株式会社
乗員保護装置
27日前
豊田合成株式会社
車両用外装品
6日前
豊田合成株式会社
車両用外装品
8日前
豊田合成株式会社
乗員保護装置
8日前
豊田合成株式会社
検知システム
7日前
豊田合成株式会社
車両用ビーム
7日前
豊田合成株式会社
車両用投影装置
8日前
豊田合成株式会社
車両用投影装置
14日前
豊田合成株式会社
車両用照明装置
14日前
豊田合成株式会社
エアバッグ装置
27日前
豊田合成株式会社
車両画像投影装置
12日前
豊田合成株式会社
車両用空調ダクト
7日前
豊田合成株式会社
車両の音出力装置
14日前
豊田合成株式会社
車両の前部構造体
21日前
豊田合成株式会社
空調用レジスター
8日前
豊田合成株式会社
ステアリング装置
27日前
豊田合成株式会社
モーションレジスタ
8日前
豊田合成株式会社
車両用カップホルダ
13日前
豊田合成株式会社
車内用発光表示装置
12日前
豊田合成株式会社
車両用リッド開閉装置
27日前
豊田合成株式会社
車両用シャッタ式物入れ
19日前
豊田合成株式会社
車両用見切りシール部材
12日前
豊田合成株式会社
歩行者保護用エアバッグ
今日
豊田合成株式会社
車両乗員用衝撃吸収装置
8日前
豊田合成株式会社
ステアリング装置用パッド
27日前
豊田合成株式会社
ステアリング装置用パッド
27日前
豊田合成株式会社
インストルメントパネル構造
7日前
豊田合成株式会社
光源装置及び発光エンブレム
14日前
豊田合成株式会社
車両用ビーム及び車両の前部構造
7日前
豊田合成株式会社
波付筒状部材およびその製造方法
6日前
豊田合成株式会社
車両用空調ダクト及び車両用ビーム
7日前
豊田合成株式会社
センサマット構造、把持検知システム
今日
豊田合成株式会社
オープニングトリムウェザストリップ
12日前
続きを見る
他の特許を見る