TOP
|
特許
|
意匠
|
商標
特許ウォッチ
Twitter
他の特許を見る
10個以上の画像は省略されています。
公開番号
2025131483
公報種別
公開特許公報(A)
公開日
2025-09-09
出願番号
2024144072
出願日
2024-08-26
発明の名称
粘着剤付き偏光板及び表示装置
出願人
住友化学株式会社
代理人
個人
,
個人
,
個人
主分類
G02B
5/30 20060101AFI20250902BHJP(光学)
要約
【課題】高温環境下での透過率の低下、及び、高温環境下での偏光度の低下の両方を抑制できる粘着剤付き偏光板を提供すること。
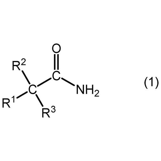
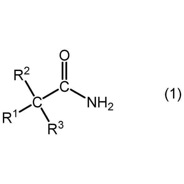
【解決手段】ヨウ素を吸着配向させてなるポリビニルアルコール系樹脂偏光フィルム、保護フィルム及び粘着剤層を備える粘着剤付き偏光板であって、下記式(1)で表されるアミド化合物を含む、粘着剤付き偏光板。
<com:Image com:imageContentCategory="Drawing"> <com:ImageFormatCategory>TIFF</com:ImageFormatCategory> <com:FileName>2025131483000009.tif</com:FileName> <com:HeightMeasure com:measureUnitCode="Mm">30</com:HeightMeasure> <com:WidthMeasure com:measureUnitCode="Mm">149</com:WidthMeasure> </com:Image>
[式(1)中、R
1
、R
2
及びR
3
は各々独立に、水素原子、ヒドロキシ基、炭素数1~5のアルキル基、又は、水素原子の1つ以上がヒドロキシ基に置換された炭素数1~5のアルキル基を示す。]
【選択図】図1
特許請求の範囲
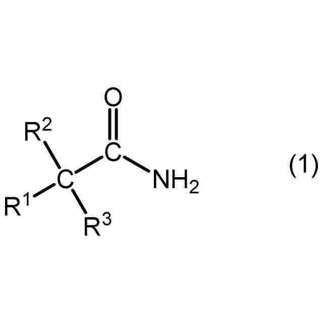
【請求項1】
ヨウ素を吸着配向させてなるポリビニルアルコール系樹脂偏光フィルム、保護フィルム及び粘着剤層を備える粘着剤付き偏光板であって、
下記式(1)で表されるアミド化合物を含む、粘着剤付き偏光板。
TIFF
2025131483000007.tif
30
149
[式(1)中、R
1
、R
2
及びR
3
は各々独立に、水素原子、ヒドロキシ基、炭素数1~5のアルキル基、又は、水素原子の1つ以上がヒドロキシ基に置換された炭素数1~5のアルキル基を示す。]
続きを表示(約 1,200 文字)
【請求項2】
第1保護フィルム、第1接着剤層、前記偏光フィルム、第2接着剤層、第2保護フィルム及び粘着剤層がこの順で積層された構造を有し、
前記第1接着剤層、前記偏光フィルム、前記第2接着剤層及び前記粘着剤層のうちの少なくとも一層が前記アミド化合物を含む、請求項1に記載の粘着剤付き偏光板。
【請求項3】
前記第1接着剤層及び前記第2接着剤層が、ポリビニルアルコール系樹脂及び架橋剤を含む水系接着剤からなる層である、請求項2に記載の粘着剤付き偏光板。
【請求項4】
前記第1接着剤層及び前記第2接着剤層の両方が、前記アミド化合物を含む、請求項2に記載の粘着剤付き偏光板。
【請求項5】
前記第1接着剤層における前記アミド化合物の含有量が、前記第1接着剤層を形成するための接着剤の固形分全量を基準として5~90質量%であり、
前記第2接着剤層における前記アミド化合物の含有量が、前記第2接着剤層を形成するための接着剤の固形分全量を基準として5~90質量%である、請求項4に記載の粘着剤付き偏光板。
【請求項6】
前記アミド化合物の含有量が、粘着剤付き偏光板の固形分全量を基準として0.001~0.2質量%である、請求項1に記載の粘着剤付き偏光板。
【請求項7】
前記式(1)中、R
3
が水素原子である、請求項1に記載の粘着剤付き偏光板。
【請求項8】
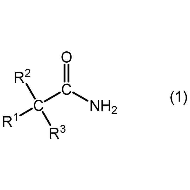
透明部材と、光学接着剤層と、ヨウ素を吸着配向させてなるポリビニルアルコール系樹脂偏光フィルムを含む偏光板と、粘着剤層と、画像表示セルと、がこの順で積層された構造を有する表示装置であって、
前記画像表示セルと前記透明部材との間に配置された層のうちの少なくとも一層が、下記式(1)で表されるアミド化合物を含む、表示装置。
TIFF
2025131483000008.tif
30
149
[式(1)中、R
1
、R
2
及びR
3
は各々独立に、水素原子、ヒドロキシ基、炭素数1~5のアルキル基、又は、水素原子の1つ以上がヒドロキシ基に置換された炭素数1~5のアルキル基を示す。]
【請求項9】
前記偏光板が、第1保護フィルム、第1接着剤層、前記偏光フィルム、第2接着剤層及び第2保護フィルムがこの順で積層された構造を有し、
前記偏光板の前記第1保護フィルム側に前記光学接着剤層が配置されており、
前記第1接着剤層、前記偏光フィルム、前記第2接着剤層、前記粘着剤層及び前記光学接着剤層のうちの少なくとも一層が前記アミド化合物を含む、請求項8に記載の表示装置。
【請求項10】
前記第1接着剤層及び前記第2接着剤層が、ポリビニルアルコール系樹脂及び架橋剤を含む水系接着剤からなる層である、請求項9に記載の表示装置。
(【請求項11】以降は省略されています)
発明の詳細な説明
【技術分野】
【0001】
本発明は、粘着剤付き偏光板及び表示装置に関する。
続きを表示(約 2,000 文字)
【背景技術】
【0002】
液晶表示装置(LCD)は、液晶テレビだけでなく、パソコン、携帯電話等のモバイル、カーナビ等の車載用途などで広く用いられている。通常、液晶表示装置は、液晶セルの両側に粘着剤で偏光板を貼合した液晶パネル部材を有し、バックライト部材からの光を液晶パネル部材で制御することにより表示が行われている。また、有機EL表示装置も近年、液晶表示装置と同様に、テレビ、携帯電話等のモバイル、カーナビ等の車載用途で広く用いられて来ている。有機EL表示装置では、外光が金属電極(陰極)で反射され鏡面のように視認されることを抑止するために、画像表示パネルの視認側表面に円偏光板(偏光素子とλ/4板を含む積層体)が配置される場合がある。
【0003】
偏光板は上記のように、液晶表示装置や有機EL表示装置の部材として、車に搭載される機会が増えて来ている。車載用の画像表示装置に用いられる偏光板は、それ以外のテレビや携帯電話等のモバイル用途に比較して、高温環境下に曝されることが多く、より高温での特性変化が小さいこと(高温耐久性)が求められる。
【0004】
一方、外表面からの衝撃による画像表示パネルの破損防止等を目的として、画像表示パネルの偏光板よりもさらに視認側に、透明樹脂板やガラス板等の前面板(「ウインドウ層」等とも称される。)を設ける構成が増えて来ている。また、タッチパネルを備える表示装置では、画像表示パネルの偏光板よりもさらに視認側にタッチパネルが設けられ、タッチパネルよりもさらに視認側に前面透明板を備える構成が広く採用されている。
【0005】
このような構成において、画像表示パネルと前面透明板やタッチパネル等の透明部材との間に空気層が存在すると、空気層界面での光の反射による外光の映り込みが生じ、画面の視認性が低下する傾向がある。そのため、画像表示パネルの視認側表面に配置される偏光板と前面透明部材との間の空間を、これらの材料と屈折率が近い材料で充填する構成(以下「層間充填構成」と称する場合がある)を採用する動きが広まっている。層間充填材としては、界面での反射による視認性の低下を抑止すると共に、各部材間を接着固定する目的で、粘着剤やUV硬化型接着剤が用いられる(例えば特許文献1参照)。
【0006】
上記の層間充填構成は、屋外で使用されることが多い携帯電話等のモバイル用途での採用が広がっている。また、近年の視認性に対する要求の高まりから、カーナビゲーション装置等の車載用途においても、画像表示パネル表面に前面透明板を配置し、パネルと前面透明板との間を粘着剤層等で層間充填された構成の採用が検討されている。しかし、このような構成を採用する場合、加熱耐久試験(95℃で200時間等)の結果、偏光板面内中央部に、透過率の著しい低下が見られること、その一方、偏光板単独では95℃で1000時間でも著しい透過率の低下は見られないことが報告されており、これらの結果から、高温環境における偏光板の透過率の著しい低下は、偏光板の一方の面が画像表示セルと貼り合わせられ、他方の面がタッチパネルや前面透明板等の透明部材と貼り合わせられている層間充填構成を採用する画像表示装置が高温環境に暴露された場合に特有の問題であることも報告されている(特許文献2)。
【0007】
そして、上記特許文献2では、層間充填構成で透過率が著しく低下した偏光板は、ラマン分光測定で1100cm
-1
付近(=C-C=結合に由来)及び1500cm
-1
付近(-C=C-結合に由来)にピークを有していることから、ポリエン構造(-C=C)
n
-を形成していると考え、偏光素子を構成するポリビニルアルコールが脱水によりポリエン化されて生じたものであると推定している(特許文献2、段落[0012])。
【0008】
特許文献2では、上記問題の解決策として、偏光板の単位面積当たりの水分量を規定量以下とし、なおかつ偏光素子に隣接する透明保護フィルムの飽和吸水量を規定量以下とすることにより透過率の低下を抑制する方法を提案している。
【0009】
また、特許文献3では、偏光フィルムに、尿素、尿素誘導体、チオ尿素及びチオ尿素誘導体から選ばれる少なくとも一種の尿素系化合物を含有させることで、偏光板の高温環境下での透過率の低下を抑止する方法を提案している。
【先行技術文献】
【特許文献】
【0010】
特開平11-174417号公報
特開2014-102353号公報
特開2020-204641号公報
【発明の概要】
【発明が解決しようとする課題】
(【0011】以降は省略されています)
この特許をJ-PlatPat(特許庁公式サイト)で参照する
関連特許
住友化学株式会社
偏光板
1か月前
住友化学株式会社
着色剤
12日前
住友化学株式会社
化合物
12日前
住友化学株式会社
偏光板
1か月前
住友化学株式会社
芳香族ポリスルホン
12日前
住友化学株式会社
体液に由来する試料
2日前
住友化学株式会社
成形原料及びフィルム
1か月前
住友化学株式会社
金属有機構造体の製造方法
1か月前
住友化学株式会社
光学積層体及びその製造方法
14日前
住友化学株式会社
複合偏光板及び画像表示装置
今日
住友化学株式会社
積層体の製造方法及び積層体
1か月前
住友化学株式会社
粘着剤付き偏光板及び表示装置
22日前
住友化学株式会社
プロピレン樹脂組成物及び成形体
1か月前
住友化学株式会社
プロピレン樹脂組成物及び成形体
1か月前
住友化学株式会社
プロピレン樹脂組成物及び成形体
1か月前
住友化学株式会社
プロピレン樹脂組成物及び成形体
1か月前
住友化学株式会社
接着剤組成物及び偏光板の製造方法
22日前
住友化学株式会社
非水電解液二次電池用積層セパレータ
2日前
住友化学株式会社
高分子化合物、組成物、及び発光素子
28日前
住友化学株式会社
芳香族ポリスルホン及び耐熱フィルム
12日前
住友化学株式会社
リチウム二次電池用正極活物質の製造方法
23日前
住友化学株式会社
膜、積層体、素子、デバイス、及び、構造体
26日前
住友化学株式会社
リチウム二次電池用負極及びリチウム二次電池
23日前
住友化学株式会社
ペレット、ペレットの製造方法、成形体及びギア
1か月前
住友化学株式会社
除草剤耐性作物の栽培地における雑草の防除方法
12日前
住友化学株式会社
カラーフィルタ及び該カラーフィルタを含む表示装置
23日前
住友化学株式会社
化合物、樹脂組成物、光学フィルタ及び固体撮像素子
26日前
住友化学株式会社
リチウム塩の製造方法、及びリチウム塩の製造システム
1か月前
住友化学株式会社
ジホスファイト系化合物、その製造方法およびその用途
12日前
住友化学株式会社
負極組成物、リチウム二次電池用負極及びリチウム二次電池
1か月前
住友化学株式会社
レジスト組成物及びレジストパターンの製造方法並びに化合物
29日前
住友化学株式会社
レジスト組成物及びレジストパターンの製造方法並びに化合物
29日前
住友化学株式会社
粘着剤組成物
1か月前
住友化学株式会社
着色樹脂組成物
1か月前
住友化学株式会社
塩、酸発生剤、レジスト組成物及びレジストパターンの製造方法
2日前
住友化学株式会社
化合物、組成物、カラーフィルタ、表示装置、及び固体撮像素子
今日
続きを見る
他の特許を見る