TOP
|
特許
|
意匠
|
商標
特許ウォッチ
Twitter
他の特許を見る
10個以上の画像は省略されています。
公開番号
2025169680
公報種別
公開特許公報(A)
公開日
2025-11-14
出願番号
2024074631
出願日
2024-05-02
発明の名称
組成物、発光素子、高分子化合物及び低分子化合物
出願人
住友化学株式会社
,
国立大学法人京都大学
代理人
弁理士法人秀和特許事務所
主分類
H10K
50/11 20230101AFI20251107BHJP()
要約
【課題】外部量子効率が優れる発光素子の製造に有用な組成物を提供すること、及び、当該組成物を含有する発光素子、及び当該組成物に含まれ得る高分子化合物並びに低分子化合物を提供すること。
【解決手段】高分子化合物(B)、高分子化合物(H)、低分子化合物(h)、正孔輸送性の低分子化合物、正孔注入性の低分子化合物、電子輸送性の低分子化合物、電子注入性の低分子化合物及び発光性の低分子化合物からなる群より選ばれる少なくとも2種の化合物を含有する組成物であり、前記少なくとも2種の化合物のうち、少なくとも1種の化合物は、前記高分子化合物(B)であり、各化合物が特定の要件を満たす、組成物。
【選択図】なし
特許請求の範囲
【請求項1】
高分子化合物(B)、高分子化合物(H)、低分子化合物(h)、正孔輸送性の低分子化合物、正孔注入性の低分子化合物、電子輸送性の低分子化合物、電子注入性の低分子化合物及び発光性の低分子化合物からなる群より選ばれる少なくとも2種の化合物を含有する組成物であり、
前記少なくとも2種の化合物のうち、少なくとも1種の化合物は、前記高分子化合物(B)であり、
前記高分子化合物(B)は、ホウ素原子と、窒素原子、酸素原子、硫黄原子、セレン原子及びsp
3
炭素原子からなる群より選ばれる少なくとも1つとを縮合環内に含む、6つ以上の環が縮合した複素環骨格(b)を有する低分子化合物(b)から、水素原子1個以上を除いた基を有する構成単位(b)を含む高分子化合物であり、
前記高分子化合物(H)は、前記構成単位(b)を含まない高分子化合物であり、
前記低分子化合物(h)は、環内にsp
3
炭素原子を含む多環式の芳香族炭化水素環骨格を有する低分子化合物、又は、環内にsp
3
炭素原子を含む多環式の複素環骨格を有する低分子化合物であり、
前記正孔輸送性の低分子化合物、前記正孔注入性の低分子化合物、前記電子輸送性の低分子化合物、前記電子注入性の低分子化合物及び前記発光性の低分子化合物は、前記環内にsp
3
炭素原子を含む多環式の芳香族炭化水素環骨格及び前記環内にsp
3
炭素原子を含む多環式の複素環骨格を含まない低分子化合物であり、
前記組成物が、前記高分子化合物(H)及び前記低分子化合物(h)を含有しない組成物である場合、前記低分子化合物(b)は、要件(i)及び要件(ii)のうちの少なくとも1つの要件を満たす、組成物。
(i)前記複素環骨格(b)の縮合環内に含まれる、前記窒素原子、前記酸素原子、前記硫黄原子、前記セレン原子及び前記sp
3
炭素原子の合計の数が4以上である。
(ii)前記複素環骨格(b)の縮合環内に含まれる、前記窒素原子数が2以上である。
続きを表示(約 4,900 文字)
【請求項2】
前記高分子化合物(B)が、前記要件(i)を満たす複素環骨格(b)を有する低分子化合物(b)から、水素原子1個以上を除いた基を有する構成単位を含む高分子化合物である、請求項1に記載の組成物。
【請求項3】
前記複素環骨格(b)が、式(b1-1)で表される複素環骨格である、請求項1に記載の組成物。
TIFF
2025169680000088.tif
48
170
[式中、
環R
b1
、環R
b2
、環R
b3
、環R
b4
及び環R
b5
は、それぞれ独立に、芳香族炭化水素環又は複素環を表し、これらの環は置換基を有していてもよい。該置換基が複数存在する場合、それらは同一でも異なっていてもよく、互いに結合して、それぞれが結合する原子とともに環を形成していてもよい。
X
b1
、X
b2
、X
b3
及びX
b4
は、それぞれ独立に、酸素原子、硫黄原子、セレン原子、-N(R
xb
)-で表される基、アルキレン基又はシクロアルキレン基を表し、これらの基は置換基を有していてもよい。該置換基が複数存在する場合、それらは同一でも異なっていてもよく、互いに結合して、それぞれが結合する原子とともに環を形成していてもよい。
R
xb
は、水素原子、アルキル基、シクロアルキル基、アリール基又は1価の複素環基を表し、これらの基は置換基を有していてもよい。該置換基が複数存在する場合、それらは同一でも異なっていてもよく、互いに結合して、それぞれが結合する原子とともに環を形成していてもよい。
X
b1
及び環R
b1
、X
b1
及び環R
b2
、X
b2
及び環R
b1
、X
b2
及び環R
b3
、X
b3
及び環R
b2
、X
b3
及び環R
b4
、X
b4
及び環R
b4
、X
b4
及び環R
b5
、環R
b2
及び環R
b3
、環R
b2
及び環R
b5
、並びに、環R
b3
及び環R
b5
は、それぞれ独立に、直接結合して、又は、置換基を有していてもよい2価以上の基を介して結合して、環を形成してもよい。該置換基が複数存在する場合、それらは同一でも異なっていてもよく、互いに結合して、それぞれが結合する原子とともに環を形成していてもよい。]
【請求項4】
前記式(b1-1)で表される複素環骨格を有する低分子化合物が、前記要件(ii)を更に満たし、且つ、前記X
b1
、前記X
b2
、前記X
b3
及び前記X
b4
の少なくとも2つが、-N(R
xb
)-で表される基である、請求項3に記載の組成物。
【請求項5】
前記X
b1
、前記X
b2
、前記X
b3
及び前記X
b4
が、それぞれ独立に、酸素原子、硫黄原子又は-N(R
xb
)-で表される基である、請求項3に記載の組成物。
【請求項6】
前記式(b1-1)で表される複素環骨格を有する低分子化合物に含まれるsp
3
炭素原子数の合計が9以上である、請求項3に記載の組成物。
【請求項7】
前記式(b1-1)で表される複素環骨格を有する低分子化合物が、3つ以上の置換基を有するアリール基、及び、3つ以上の置換基を有する1価の複素環基からなる群より選ばれる少なくとも1つを有する、請求項3に記載の組成物。
【請求項8】
前記構成単位(b)が、式(BP―1)で表される構成単位、式(BP―2)で表される構成単位又は式(BP―3)で表される構成単位である、請求項1に記載の組成物。
TIFF
2025169680000089.tif
44
170
[式中、
M
BP1
は、低分子化合物(b)から水素原子1個を除いた基を表す。
M
BP2
は、低分子化合物(b)から水素原子2個を除いた基を表す。
M
BP3
は、低分子化合物(b)から水素原子3個を除いた基を表す。
L
BP1
は、アルキレン基、シクロアルキレン基、アリーレン基、2価の複素環基、-N(R
BP1
)-で表される基、酸素原子又は硫黄原子を表し、これらの基は置換基を有
していてもよい。該置換基が複数存在する場合、それらは同一でも異なっていてもよく、互いに結合して、それぞれが結合する原子とともに環を形成していてもよい。R
BP1
は、水素原子、アルキル基、シクロアルキル基、アリール基又は1価の複素環基を表し、これらの基は置換基を有していてもよい。該置換基が複数存在する場合、それらは同一でも異なっていてもよく、互いに結合して、それぞれが結合する原子とともに環を形成していてもよい。L
BP1
が複数存在する場合、それらはそれぞれ同一でも異なっていてもよい。
n
BP1
は、0以上10以下の整数を表す。
Ar
BP1
は、炭化水素基又は複素環基を表し、これらの基は置換基を有していてもよい。該置換基が複数存在する場合、それらは同一でも異なっていてもよく、互いに結合して、それぞれが結合する原子とともに環を形成していてもよい。]
【請求項9】
前記高分子化合物(B)が、式(X)で表される構成単位及び式(Y)で表される構成単位からなる群より選択される少なくとも1種の構成単位を更に含む、請求項1に記載の組成物。
TIFF
2025169680000090.tif
59
170
[式中、
a
X1
及びa
X2
は、それぞれ独立に、0以上の整数を表す。
Ar
X1
及びAr
X3
は、それぞれ独立に、アリーレン基又は2価の複素環基を表し、これらの基は置換基を有していてもよい。該置換基が複数存在する場合、それらは同一でも異なっていてもよく、互いに結合して、それぞれが結合する原子とともに環を形成していてもよい。
Ar
X2
及びAr
X4
は、それぞれ独立に、アリーレン基、2価の複素環基、又は、少なくとも1種のアリーレン基と少なくとも1種の2価の複素環基とが直接結合した2価の基を表し、これらの基は置換基を有していてもよい。該置換基が複数存在する場合、それらは同一でも異なっていてもよく、互いに結合して、それぞれが結合する原子とともに環を形成していてもよい。Ar
X2
が複数存在する場合、それらはそれぞれ同一でも異なっていてもよい。Ar
X4
が複数存在する場合、それらはそれぞれ同一でも異なっていてもよい。
R
X1
、R
X2
及びR
X3
は、それぞれ独立に、水素原子、アルキル基、シクロアルキル基、アリール基又は1価の複素環基を表し、これらの基は置換基を有していてもよい。該置換基が複数存在する場合、それらは同一でも異なっていてもよく、互いに結合して、それぞれが結合する原子とともに環を形成していてもよい。R
X2
が複数存在する場合、それらは同一でも異なっていてもよい。R
X3
が複数存在する場合、それらは同一でも異なっていてもよい。]
TIFF
2025169680000091.tif
14
170
[式中、Ar
Y1
は、アリーレン基、2価の複素環基、又は、少なくとも1種のアリーレン基と少なくとも1種の2価の複素環基とが直接結合した2価の基を表し、これらの基は置換基を有していてもよい。該置換基が複数存在する場合、それらは同一でも異なっていてもよく、互いに結合して、それぞれが結合する原子とともに環を形成していてもよい。]
【請求項10】
前記少なくとも2種の化合物のうち、少なくとも1種の化合物は、前記高分子化合物(H)であり、
前記高分子化合物(H)が、式(X)で表される構成単位及び式(Y)で表される構成単位からなる群より選択される少なくとも1種の構成単位を含む高分子化合物である、請求項1に記載の組成物。
TIFF
2025169680000092.tif
59
170
[式中、
a
X1
及びa
X2
は、それぞれ独立に、0以上の整数を表す。
Ar
X1
及びAr
X3
は、それぞれ独立に、アリーレン基又は2価の複素環基を表し、これらの基は置換基を有していてもよい。該置換基が複数存在する場合、それらは同一でも異なっていてもよく、互いに結合して、それぞれが結合する原子とともに環を形成していてもよい。
Ar
X2
及びAr
X4
は、それぞれ独立に、アリーレン基、2価の複素環基、又は、少なくとも1種のアリーレン基と少なくとも1種の2価の複素環基とが直接結合した2価の基を表し、これらの基は置換基を有していてもよい。該置換基が複数存在する場合、それらは同一でも異なっていてもよく、互いに結合して、それぞれが結合する原子とともに環を形成していてもよい。Ar
X2
が複数存在する場合、それらはそれぞれ同一でも異なっていてもよい。Ar
X4
が複数存在する場合、それらはそれぞれ同一でも異なっていてもよい。
R
X1
、R
X2
及びR
X3
は、それぞれ独立に、水素原子、アルキル基、シクロアルキル基、アリール基又は1価の複素環基を表し、これらの基は置換基を有していてもよい。該置換基が複数存在する場合、それらは同一でも異なっていてもよく、互いに結合して、それぞれが結合する原子とともに環を形成していてもよい。R
X2
が複数存在する場合、それらは同一でも異なっていてもよい。R
X3
が複数存在する場合、それらは同一でも異なっていてもよい。]
TIFF
2025169680000093.tif
15
170
[式中、Ar
Y1
は、アリーレン基、2価の複素環基、又は、少なくとも1種のアリーレン基と少なくとも1種の2価の複素環基とが直接結合した2価の基を表し、これらの基は置換基を有していてもよい。該置換基が複数存在する場合、それらは同一でも異なっていてもよく、互いに結合して、それぞれが結合する原子とともに環を形成していてもよい。]
(【請求項11】以降は省略されています)
発明の詳細な説明
【技術分野】
【0001】
本発明は、組成物、発光素子、高分子化合物及び低分子化合物に関する。
続きを表示(約 3,000 文字)
【背景技術】
【0002】
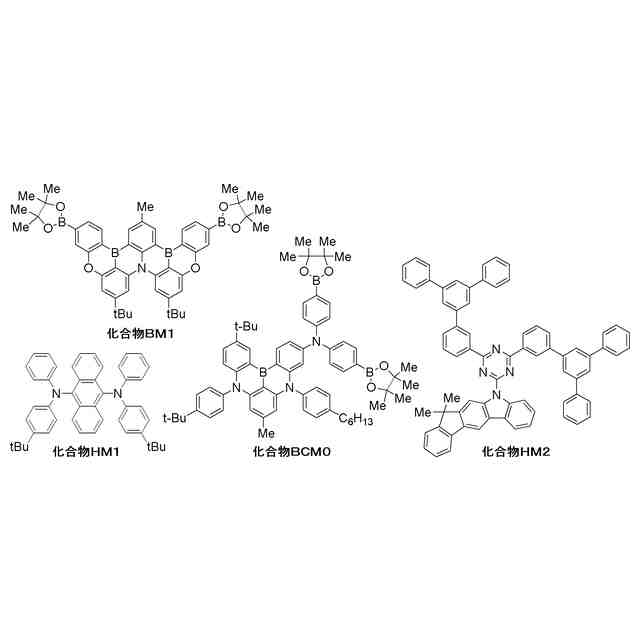
有機エレクトロルミネッセンス素子等の発光素子は、ディスプレイ及び照明の用途に好適に使用することが可能である。発光素子の発光層に用いられる発光材料として、例えば、特許文献1では、化合物BM1から誘導される構成単位を含む高分子化合物と、化合物HM1とを含有する組成物が記載されている。特許文献2では、化合物BCM0から誘導される構成単位を含む高分子化合物と、化合物HM2とを含有する組成物が記載されている。
【0003】
TIFF
2025169680000001.tif
73
170
【先行技術文献】
【特許文献】
【0004】
特開2022-13757号公報
特開2022-24744号公報
【発明の概要】
【発明が解決しようとする課題】
【0005】
しかし、上記の組成物を用いて作製される発光素子は、外部量子効率が必ずしも十分ではない。
そこで、本発明は、外部量子効率が優れる発光素子の製造に有用な組成物を提供すること、当該組成物を含有する発光素子、及び当該組成物に含まれ得る高分子化合物並びに低分子化合物を提供することを目的とする。
【課題を解決するための手段】
【0006】
本発明は、以下の[1]~[15]を提供する。
【0007】
[1]
高分子化合物(B)、高分子化合物(H)、低分子化合物(h)、正孔輸送性の低分子化合物、正孔注入性の低分子化合物、電子輸送性の低分子化合物、電子注入性の低分子化
合物及び発光性の低分子化合物からなる群より選ばれる少なくとも2種の化合物を含有する組成物であり、
前記少なくとも2種の化合物のうち、少なくとも1種の化合物は、前記高分子化合物(B)であり、
前記高分子化合物(B)は、ホウ素原子と、窒素原子、酸素原子、硫黄原子、セレン原子及びsp
3
炭素原子からなる群より選ばれる少なくとも1つとを縮合環内に含む、6つ以上の環が縮合した複素環骨格(b)を有する低分子化合物(b)から、水素原子1個以上を除いた基を有する構成単位(b)を含む高分子化合物であり、
前記高分子化合物(H)は、前記構成単位(b)を含まない高分子化合物であり、
前記低分子化合物(h)は、環内にsp
3
炭素原子を含む多環式の芳香族炭化水素環骨格を有する低分子化合物、又は、環内にsp
3
炭素原子を含む多環式の複素環骨格を有する低分子化合物であり、
前記正孔輸送性の低分子化合物、前記正孔注入性の低分子化合物、前記電子輸送性の低分子化合物、前記電子注入性の低分子化合物及び前記発光性の低分子化合物は、前記環内にsp
3
炭素原子を含む多環式の芳香族炭化水素環骨格及び前記環内にsp
3
炭素原子を含む多環式の複素環骨格を含まない低分子化合物であり、
前記組成物が、前記高分子化合物(H)及び前記低分子化合物(h)を含有しない組成物である場合、前記低分子化合物(b)は、要件(i)及び要件(ii)のうちの少なくとも1つの要件を満たす、組成物。
(i)前記複素環骨格(b)の縮合環内に含まれる、前記窒素原子、前記酸素原子、前記硫黄原子、前記セレン原子及び前記sp
3
炭素原子の合計の数が4以上である。
(ii)前記複素環骨格(b)の縮合環内に含まれる、前記窒素原子数が2以上である。
【0008】
[2]
前記高分子化合物(B)が、前記要件(i)を満たす複素環骨格(b)を有する低分子化合物(b)から、水素原子1個以上を除いた基を有する構成単位を含む高分子化合物である、[1]に記載の組成物。
【0009】
[3]
前記複素環骨格(b)が、式(b1-1)で表される複素環骨格である、[1]又は[2]に記載の組成物。
TIFF
2025169680000002.tif
49
170
[式中、
環R
b1
、環R
b2
、環R
b3
、環R
b4
及び環R
b5
は、それぞれ独立に、芳香族炭化水素環又は複素環を表し、これらの環は置換基を有していてもよい。該置換基が複数存在する場合、それらは同一でも異なっていてもよく、互いに結合して、それぞれが結合する原子とともに環を形成していてもよい。
X
b1
、X
b2
、X
b3
及びX
b4
は、それぞれ独立に、酸素原子、硫黄原子、セレン原子、-N(R
xb
)-で表される基、アルキレン基又はシクロアルキレン基を表し、こ
れらの基は置換基を有していてもよい。該置換基が複数存在する場合、それらは同一でも異なっていてもよく、互いに結合して、それぞれが結合する原子とともに環を形成していてもよい。
R
xb
は、水素原子、アルキル基、シクロアルキル基、アリール基又は1価の複素環基を表し、これらの基は置換基を有していてもよい。該置換基が複数存在する場合、それらは同一でも異なっていてもよく、互いに結合して、それぞれが結合する原子とともに環を形成していてもよい。
X
b1
及び環R
b1
、X
b1
及び環R
b2
、X
b2
及び環R
b1
、X
b2
及び環R
b3
、X
b3
及び環R
b2
、X
b3
及び環R
b4
、X
b4
及び環R
b4
、X
b4
及び環R
b5
、環R
b2
及び環R
b3
、環R
b2
及び環R
b5
、並びに、環R
b3
及び環R
b5
は、それぞれ独立に、直接結合して、又は、置換基を有していてもよい2価以上の基を介して結合して、環を形成してもよい。該置換基が複数存在する場合、それらは同一でも異なっていてもよく、互いに結合して、それぞれが結合する原子とともに環を形成していてもよい。]
【0010】
[4]
前記式(b1-1)で表される複素環骨格を有する低分子化合物が、前記要件(ii)を更に満たし、且つ、前記X
b1
、前記X
b2
、前記X
b3
及び前記X
b4
の少なくとも2つが、-N(R
xb
)-で表される基である、[3]に記載の組成物。
(【0011】以降は省略されています)
この特許をJ-PlatPat(特許庁公式サイト)で参照する
関連特許
住友化学株式会社
偏光板
1か月前
住友化学株式会社
偏光板
1か月前
住友化学株式会社
偏光板
1か月前
住友化学株式会社
積層体
1か月前
住友化学株式会社
発光素子
1か月前
住友化学株式会社
発光素子
1か月前
住友化学株式会社
発光素子
1か月前
住友化学株式会社
複合偏光板
2日前
住友化学株式会社
フィルター
1か月前
住友化学株式会社
偏光積層体
1か月前
住友化学株式会社
熱分解装置
25日前
住友化学株式会社
光学積層体
1か月前
住友化学株式会社
フィルター
1か月前
住友化学株式会社
フィルター
1か月前
住友化学株式会社
垂直偏光板
1か月前
住友化学株式会社
熱分解装置
11日前
住友化学株式会社
電気化学センサ
1か月前
住友化学株式会社
金属有機構造体
1か月前
住友化学株式会社
組成物及び発光素子
23日前
住友化学株式会社
プロピレンの製造方法
1か月前
住友化学株式会社
積層体および表示装置
1か月前
住友化学株式会社
膜エレメントの製造方法
1か月前
住友化学株式会社
ポリオレフィン樹脂組成物
25日前
住友化学株式会社
光学積層体及び偏光積層体
1か月前
住友化学株式会社
無機アルミニウム化合物粉末
1か月前
住友化学株式会社
組成物、硬化物および成形体
17日前
住友化学株式会社
重合性液晶混合物の製造方法
2日前
住友化学株式会社
粘着剤組成物および粘着剤層
1か月前
株式会社ユタックス
冷感生地
9日前
住友化学株式会社
複合成形体、及びその製造方法
1か月前
住友化学株式会社
位相差層積層体及び光学積層体
1か月前
住友化学株式会社
組成物、硬化物、および成形体
17日前
住友化学株式会社
液晶性高分子膜及びその製造方法
1か月前
住友化学株式会社
リサイクル正極活物質の製造方法
1か月前
住友化学株式会社
リサイクル正極活物質の製造方法
1か月前
住友化学株式会社
リサイクル正極活物質の製造方法
1か月前
続きを見る
他の特許を見る